

<!DOCTYPE html>
<html lang="uz-Cyrl-UZ">
<head>
    
   <!-- Global site tag (gtag.js) - Google Analytics -->
   <script async src="https://www.googletagmanager.com/gtag/js?id=UA-2682682-1"></script>
   <script>
      window.dataLayer = window.dataLayer || [];
      function gtag() { dataLayer.push(arguments); }
      gtag('js', new Date());
      gtag('config', 'UA-2682682-1');
   </script>

    <title>&nbsp;353-сон 20.10.2016.&nbsp;Об утверждении Методики оценки качества оказания электронных государственных услуг</title>
    
<meta charset="utf-8" />
<meta name="viewport" content="width=device-width, initial-scale=1">
<meta name="google" content="notranslate">
<meta http-equiv="x-ua-compatible" content="ie=edge">
    <link href="/bundle/css2?v=NDIKJDoPuwZPy1MfOJpzXNiwBDUzdtQHywcNyEx0mjI1" rel="stylesheet"/>

    <script src="/bundle/js2?v=TYDc0n5cWRYNF8rf6nCuzSQBVlRXZ0BA8QWlo5AxYqQ1"></script>

    <link href="/bundle/css_actform?v=E2H5feooh50MK4BN8LKb-BQOM3rTyLoFxEQduTgJFcU1" rel="stylesheet"/>

    
    <script type="text/javascript" src="https://www.google.com/recaptcha/api.js?onload=onloadCallback&render=explicit" async defer></script>
    
    <style>
        .lx_revive_adserver.lx_adv_doc {
            margin-left: auto;
            margin-right: auto;
            z-index: 998;
        }

        #lx_gte {
            line-height: 1;
            background-color: #0064A9;
            border: solid 4px #0064A9;
            border-radius: 4px;
            padding: 2px 4px 0;
            margin: 0 0 0 4px;
        }

            #lx_gte img {
                max-width: 19px;
            }

            #lx_gte #google_translate_element {
                margin-bottom: 4px;
            }

            #lx_gte .lx_ot {
                font-size: 12px;
                color: #fff;
                text-align: center;
            }

            #lx_gte .goog-te-gadget-simple {
                width: 100%;
                padding: 2px 1px 2.5px 1px !important;
            }

                #lx_gte .goog-te-gadget-simple > span {
                    display: inline-block;
                }

                    #lx_gte .goog-te-gadget-simple > span > a {
                        display: inline-block;
                        margin: 0;
                    }

                        #lx_gte .goog-te-gadget-simple > span > a > span {
                            display: none;
                        }

                            #lx_gte .goog-te-gadget-simple > span > a > span:first-of-type {
                                display: inline;
                            }

                #lx_gte .goog-te-gadget-simple:hover {
                    color: #fff;
                    background-color: #0064A9;
                }

                    #lx_gte .goog-te-gadget-simple:hover a {
                        color: #fff;
                        background-color: #0064A9;
                        text-decoration: none;
                    }

        .toc_show {
            display: block !important;
        }

            .toc_show .fas {
                display: none !important;
            }

        .toc_hide {
            display: none !important;
        }

        .show_context {
            background-color: #FFFF00;
            color: inherit;
        }

        .act_warning {
            color: red;
        }

        .lx_date_ddm {
            padding: 0 !important;
            width: 170px !important;
            max-height: 70vh !important;
            overflow-y: auto !important;
        }

            .lx_date_ddm > div {
                padding: 5px 20px !important;
                margin-bottom: 0 !important;
            }

        .lx_date_selected {
            cursor: default;
            color: gray;
        }

        .lx_date_link:hover {
            cursor: pointer;
            background: #0064a9;
            color: #fff;
        }

        .docContentHeader__item-link .icon {
            height: 25px;
            fill: #0064a9;
        }

            .docContentHeader__item-link .icon.sm {
                height: 17px;
            }

        .docContentHeader__item-link:hover .icon {
            fill: #fff;
        }

        .lx_text_on_other_lang {
            margin: 12px 0 8px 0;
            padding: 8px 16px;
            color: black;
            background-color: #fef1e1;
            font-style: italic;
        }

        #lxPlayButton {
            display: none;
            position: absolute;
            background-color: #007bff;
            color: white;
            border: none;
            border-radius: 5px;
            cursor: pointer;
            font-size: 18px;
            width: 32px;
            height: 32px;
            margin: 0;
            padding: 0;
            z-index: 1000;
        }

            #lxPlayButton:focus {
                outline: none;
            }

        #divCont a.lx_next_ver {
            margin: 4px 0px;
            padding: 4px 16px;
            color: #ffffff;
            background-color: #0064a9;
            border-radius: 16px;
            display: inline-block;
            text-align: center;
            text-indent: initial;
        }

            #divCont a.lx_next_ver:hover {
                color: #ffffff;
            }

        @media (max-width:720px) {
            #divCont a.lx_next_ver {
                display: block;
            }
        }
    </style>

    
    <style>
        /*#divCont > div {
            overflow-x: auto;
            max-width: calc(100vw - 42px);
            padding-right: 30px;
        }*/

        /* .TABLE_STD, .BY_DEFAULT {
            overflow-y: auto;
            max-height: 80vh;
        }*/
    </style>
    
</head>
<body class="sidebar-show">
    
    <div class="wrapper">
        
        <div id="lx_adv_doc" class="lx_revive_adserver lx_adv_doc">
            

<script type='text/javascript'><!--//<![CDATA[
    var m3_u = (location.protocol == 'https:' ? 'https://rk.adolatmarkazi.uz/www/delivery/ajs.php' : 'http://rk.adolatmarkazi.uz/www/delivery/ajs.php');
    var m3_r = Math.floor(Math.random() * 99999999999);
    if (!document.MAX_used) document.MAX_used = ',';
    document.write("<scr" + "ipt type='text/javascript' src='" + m3_u);
    document.write("?zoneid=6");
    document.write('&amp;cb=' + m3_r);
    if (document.MAX_used != ',') document.write("&amp;exclude=" + document.MAX_used);
    document.write(document.charset ? '&amp;charset=' + document.charset : (document.characterSet ? '&amp;charset=' + document.characterSet : ''));
    document.write("&amp;loc=" + escape(window.location));
    if (document.referrer) document.write("&amp;referer=" + escape(document.referrer));
    if (document.context) document.write("&context=" + escape(document.context));
    document.write("'><\/scr" + "ipt>");
    //]]>--></script>

        </div>
        
        <header id="doc_header" class="header">
            <div class="header__top">
                <div class="container">
                    <div id="lx_lact_num_top">
                        
                        от 20.10.2016 г. № 353
                    </div>
                    <div class="header__top-right">
                        <div class="header__icons">
                            
                            <div class="header__icon">
                                <a target="_blank" href="https://t.me/lexuzofficial"><i class="fab fa-telegram-plane"></i></a>
                            </div>
                            <div class="header__icon">
                                <a target="_blank" href="https://www.facebook.com/minjustuz"><i class="fab fa-facebook-f"></i></a>
                            </div>
                            <div class="header__icon">
                                <a target="_blank" href="https://www.instagram.com/adliyanews/"><i class="fab fa-instagram-square"></i></a>
                            </div>
                            <div class="header__icon">
                                <a target="_blank" href="https://www.youtube.com/c/adliya"><i class="fab fa-youtube"></i></a>
                            </div>
                            
                        </div>
                    </div>
                </div>
            </div>
            <div class="header__bottom">
                <div class="container">
                    <div class="header__bottom-left w-100 skiptranslate">
                        <a class="header__logo" href="/">
                            <img src="/assets/img/lex_uz.svg">
                        </a>
                        <div class="docBody__content ml-4 docBody_top-nav">
                            <div class="docContentHeader">
                                <div class="docContentHeader__item docContentHeader__item-mobile-left docContentHeader__item--action">
                                    
                                    <div class="docContentHeader__item-link lx_border_left" id="docContent__sideBar-show" title="Мундарижани кўрсатиш">
                                        <i class="fas fa-bars"></i>
                                    </div>
                                    <div class="docContentHeader__item-link" onclick="addToFavorite()" title="Танланганларга қўшиш">
                                        <i class="far fa-star"></i>
                                    </div>
                                    
                                    <div class="dropdown docContentHeader__item-link-dropdown">
                                        <div class="docContentHeader__item-link" id="dropdownMenuButton_t" title="Қўшимча модуллар" data-toggle="dropdown" aria-haspopup="true" aria-expanded="false">
                                            <i class="fas fa-tags"></i>
                                        </div>
                                        <div class="dropdown-menu" aria-labelledby="dropdownMenuButton_t" id="t_dropdown_check">
                                            <div class="dropdown-menu__item">
                                                <div class="custom-control custom-checkbox stopProp">
                                                    <input class="custom-control-input" id="t_checkAll" type="checkbox" onclick="clickAllChk('t_checkAll', this,'t','b')">
                                                    <label class="custom-control-label" for="t_checkAll"></label>
                                                </div>
                                                Ҳаммаси
                                            </div>
                                            <div class="dropdown-menu__item">
                                                <div class="custom-control custom-checkbox stopProp">
                                                    <input class="custom-control-input" id="t_3935" type="checkbox" onclick="hideItem(this)" checked="checked">
                                                    <label class="custom-control-label" for="t_3935"></label>
                                                </div>
                                                Кейинги таҳрирга ҳавола
                                            </div>
                                            <div class="dropdown-menu__item">
                                                <div class="custom-control custom-checkbox stopProp">
                                                    <input class="custom-control-input" id="t_3934" type="checkbox" onclick="hideItem(this)" checked="checked">
                                                    <label class="custom-control-label" for="t_3934"></label>
                                                </div>
                                                Олдинги таҳрирга ҳавола
                                            </div>
                                            <div class="dropdown-menu__item">
                                                <div class="custom-control custom-checkbox stopProp">
                                                    <input class="custom-control-input" id="t_5987" type="checkbox" onclick="hideItem(this)">
                                                    <label class="custom-control-label" for="t_5987"></label>
                                                </div>
                                                ҚТУК бўйича индекслаш
                                            </div>
                                            <div class="dropdown-menu__item">
                                                <div class="custom-control custom-checkbox stopProp">
                                                    <input class="custom-control-input" id="t_5988" type="checkbox" onclick="hideItem(this)">
                                                    <label class="custom-control-label" for="t_5988"></label>
                                                </div>
                                                ҚМҚ бўйича индекслаш
                                            </div>
                                            <div class="dropdown-menu__item">
                                                <div class="custom-control custom-checkbox stopProp">
                                                    <input class="custom-control-input" id="t_1104" type="checkbox" onclick="hideItem(this)" checked="checked">
                                                    <label class="custom-control-label" for="t_1104"></label>
                                                </div>
                                                Ўзгартиришлар манбаси
                                            </div>
                                            <div class="dropdown-menu__item">
                                                <div class="custom-control custom-checkbox stopProp">
                                                    <input class="custom-control-input" id="t_1089" type="checkbox" onclick="hideItem(this)" checked="checked">
                                                    <label class="custom-control-label" for="t_1089"></label>
                                                </div>
                                                Расмий нашр манбаси
                                            </div>
                                        </div>
                                    </div>
                                    <div class="docContentHeader__item-link" id="t_btn_lex_comment" onclick="toggleLexComments()" title="Комментарий LexUz">
                                        <i class="fas fa-file-signature"></i>
                                    </div>
                                    
                                    <div class="dropdown docContentHeader__item-link-dropdown" title="Вариантлар">
                                        <div class="docContentHeader__item-link" id="dd3" data-toggle="dropdown" aria-haspopup="true" aria-expanded="false">
                                            <i class="fas fa-calendar" style="font-weight: 400;"></i>
                                        </div>
                                        <div class="dropdown-menu lx_date_ddm" aria-labelledby="dd3" id="lx_var_t" title="">
                                            
                                                    <div class="dropdown-menu__item lx_date_selected stopProp">16.12.2025</div>
                                                
                                                    <div class="dropdown-menu__item lx_date_link" onclick="lxOpenUrl('/docs/3049875?ONDATE=23.01.2018 01')">23.01.2018 01</div>
                                                
                                                    <div class="dropdown-menu__item lx_date_link" onclick="lxOpenUrl('/docs/3049875?ONDATE=24.10.2016')">24.10.2016</div>
                                                
                                        </div>
                                    </div>
                                    
                                    <div class="dropdown docContentHeader__item-link-dropdown" title="Вариантларни солиштириш">
                                        <div class="docContentHeader__item-link" id="dd4" data-toggle="dropdown" aria-haspopup="true" aria-expanded="false">
                                            <svg class="icon">
                                                <use xlink:href="/assets/img/sprite2.svg#compare"></use></svg>
                                        </div>
                                        <div class="dropdown-menu lx_date_ddm" aria-labelledby="dd4" title="">
                                            <div class="dropdown-menu__item lx_date_link" onclick="lxOpenUrl('/docs/3049875?ONDATE2=16.12.2025&action=compare')">16.12.2025</div>
<div class="dropdown-menu__item lx_date_link" onclick="lxOpenUrl('/docs/3049875?ONDATE2=23.01.2018 01&action=compare')">23.01.2018 01</div>
<div class="dropdown-menu__item lx_date_link" onclick="lxOpenUrl('/docs/3049875?ONDATE2=24.10.2016&action=compare')">24.10.2016</div>
                                        </div>
                                    </div>
                                    
                                    <div class="docContentHeader__item-link" onclick="downloadDoc()" title="MS Word га сақлаш">
                                        <svg class="icon">
                                            <use xlink:href="/assets/img/sprite2.svg#word"></use></svg>
                                    </div>
                                    
                                    <div class="docContentHeader__item-link" onclick="openUrl('/pdfs/3049875')" title="PDF форматида юклаб олиш">
                                        <svg class="icon">
                                            <use xlink:href="/assets/img/sprite2.svg#pdf3S"></use></svg>
                                    </div>
                                    
                                    <div class="docContentHeader__item-link lx_border_right" onclick="window.print()" title="Чоп этиш">
                                        <i class="fas fa-print"></i>
                                    </div>
                                    
                                </div>
                                <div class="docContentHeader__item docContentHeader__item-mobile-right skiptranslate">
                                    <div class="dropdown">
                                        <div class="docContentHeader__item-link lx_border_both mr-1" data-toggle="dropdown">
                                            <i class="fas fa-eye"></i>
                                        </div>
                                        <div class="dropdown-menu drop_menu">
                                            <h6 class="show_size">Кўриниш</h6>
                                            <div class="row" style="margin-right: 1.3rem; margin-left: 0rem;">
                                                <div class="col-4">
                                                    <button class="btnA btn__left" onclick="toggleTheme('light');">A</button>
                                                </div>
                                                <div class="col-4">
                                                    <button class="btnA btn__cebter" onclick="toggleTheme('grey');">A</button>
                                                </div>
                                                <div class="col-4">
                                                    <button class="btnA btn__reght" onclick="toggleTheme('dark');">A</button>
                                                </div>
                                            </div>
                                        </div>
                                    </div>
                                    <div class="docContentHeader__item-link lx_border_left active" title="На русском">Рус</div><div class="docContentHeader__item-link" onclick="openUrl('/docs/7183536')" title="In english">Eng</div><div class="docContentHeader__item-link" onclick="openUrl('/docs/3049873')" title="Ўзбекча">Ўзб</div><div class="docContentHeader__item-link" onclick="openUrl('/docs/-3049873')" title="O'zbekcha">O’zb</div><div class="docContentHeader__item-link-language" onclick="openTwoLang(3)" title="Иккита тилда">Рус|Ўзб</div><div class="docContentHeader__item-link-language lx_border_right" onclick="openTwoLang(4)" title="Иккита тилда">Рус|O‘zb</div>
                                    
                                    <div id="lx_gte">
                                        <div id="google_translate_element"></div>
                                        <div class="lx_ot skiptranslate">ONLINE TRANSLATE</div>
                                    </div>
                                    
                                </div>
                            </div>
                        </div>
                    </div>
                </div>
            </div>
        </header>
        
        <div id="docBody__sidebar" class="docBody__sidebar">
            <div class="docBody__sidebar-em">
                <div class="docNavbar">
                    <div class="docBody__search input-group">
                        <input id="search-criteria" class="form-control" type="text" placeholder="Излаш">
                        <div class="input-group-append">
                            <button class="btn" type="button" onclick="clearSearch();" title="Излашни тозалаш"><i class="fas fa-times"></i></button>
                        </div>
                    </div>
                    
                    <div class="lx_revive_adserver">
                        

<script type='text/javascript'><!--//<![CDATA[
    var m3_u = (location.protocol == 'https:' ? 'https://rk.adolatmarkazi.uz/www/delivery/ajs.php' : 'http://rk.adolatmarkazi.uz/www/delivery/ajs.php');
    var m3_r = Math.floor(Math.random() * 99999999999);
    if (!document.MAX_used) document.MAX_used = ',';
    document.write("<scr" + "ipt type='text/javascript' src='" + m3_u);
    document.write("?zoneid=7");
    document.write('&amp;cb=' + m3_r);
    if (document.MAX_used != ',') document.write("&amp;exclude=" + document.MAX_used);
    document.write(document.charset ? '&amp;charset=' + document.charset : (document.characterSet ? '&amp;charset=' + document.characterSet : ''));
    document.write("&amp;loc=" + escape(window.location));
    if (document.referrer) document.write("&amp;referer=" + escape(document.referrer));
    if (document.context) document.write("&context=" + escape(document.context));
    document.write("'><\/scr" + "ipt>");
    //]]>--></script>

                    </div>
                    <div id="dvToc" style="margin: 5px;"><div class="docNavbar__item"><div class="docNavbar__item-link search-toggle" data-toggle="collapse" href="#collapse3049879" role="button" aria-expanded="false" aria-controls="collapse3049879"><div class="docNavbar__item-link-title"><a class="stopProp search-text" href="javascript:scrollText('3049879');">Об утверждении Методики оценки качества оказания электронных государственных услуг</a></div></div></div><div class="docNavbar__item"><div class="docNavbar__item-link search-toggle" data-toggle="collapse" href="#collapse7950974" role="button" aria-expanded="false" aria-controls="collapse7950974"><div class="docNavbar__item-link-title"><a class="stopProp search-text" href="javascript:scrollText('7950974');">МЕТОДИКА оценки качества оказания электронных государственных услуг органов государственного и хозяйственного управления, органов исполнительной власти на местах и иных организаций</a></div></div></div><div class="docNavbar__item"><div class="docNavbar__item-link search-toggle" data-toggle="collapse" href="#collapse3049900" role="button" aria-expanded="false" aria-controls="collapse3049900"><div class="docNavbar__item-link-title"><a class="stopProp search-text" href="javascript:scrollText('3049900');">Глава 1. Общие положения</a></div></div></div><div class="docNavbar__item"><div class="docNavbar__item-link search-toggle" data-toggle="collapse" href="#collapse3049909" role="button" aria-expanded="false" aria-controls="collapse3049909"><div class="docNavbar__item-link-title"><a class="stopProp search-text" href="javascript:scrollText('3049909');">Глава 2. Основные понятия</a></div></div></div><div class="docNavbar__item"><div class="docNavbar__item-link search-toggle" data-toggle="collapse" href="#collapse3049917" role="button" aria-expanded="false" aria-controls="collapse3049917"><div class="docNavbar__item-link-title"><a class="stopProp search-text" href="javascript:scrollText('3049917');">Глава 3. Проведение оценки качества оказания электронных государственных услуг</a></div></div></div><div class="docNavbar__item"><div class="docNavbar__item-link search-toggle" data-toggle="collapse" href="#collapse3049996" role="button" aria-expanded="false" aria-controls="collapse3049996"><div class="docNavbar__item-link-title"><a class="stopProp search-text" href="javascript:scrollText('3049996');">Глава 4. Заключительные положения</a></div></div></div><div class="docNavbar__item"><div class="docNavbar__item-link search-toggle" data-toggle="collapse" href="#collapse3050002" role="button" aria-expanded="false" aria-controls="collapse3050002"><div class="docNavbar__item-link-title"><a class="stopProp search-text" href="javascript:scrollText('3050002');">ПРИЛОЖЕНИЕ<br />СХЕМА проведения оценки качества оказания электронных государственных услуг</a></div></div></div></div>
                </div>
            </div>
        </div>
        
        <main class="main" id="doc_main">
            <div class="container">
                <div class="docHeader skiptranslate">
                    <div class="docHeader__col docHeader__col__1">
                        <div class="docHeader__item d-flex">
                            <div class="docHeader__item-label">Постановление Кабинета Министров Республики Узбекистан, от 20.10.2016 г. № 353</div>
                        </div>
                    </div>
                    <div class="docHeader__col docHeader__col__2">
                        <div class="docHeader__item d-flex">
                            <div class="docHeader__item-label" style="width: 60%">Кучга кириш санаси</div>
                            <div class="docHeader__item-value d-flex" style="width: 40%;">24.10.2016</div>
                        </div>
                    </div>
                    <div class="docHeader__col docHeader__col__3">
                        <div class="docHeader__item d-flex">
                            <div style="width: 60%">
                                <div class="dropdown mr-3">
                                    <a role="button" data-toggle="dropdown" aria-expanded="false">Қўшимча ахборот</a>
                                    <div class="dropdown-menu" style="margin-top: -2px;">
                                        <a class="dropdown-item" onclick="showAddCard(1)">Асосий реквизитлар</a>
                                        <a class="dropdown-item" onclick="showAddCard(2)">Кодификация</a>
                                        <a class="dropdown-item" onclick="showAddCard(3)">Қайта кўриб чиқилган ҳужжатлар</a>
                                        <a class="dropdown-item" onclick="showAddCard(4)">Ҳужжатни қайта кўриб чиқишга асос бўлган ҳужжатлар</a>
                                        <a class="dropdown-item" onclick="showAddCard(5)">Корреспондентлар</a>
                                        <a class="dropdown-item" onclick="showAddCard(6)">Респондентлар</a>
                                    </div>
                                </div>
                            </div>
                            <div style="width: 40%">
                                <div class="dropdown">
                                    <a role="button" data-toggle="dropdown" aria-expanded="false"><i class="fa fa-share-alt mr-2"></i>Улашиш</a>
                                    <div class="dropdown-menu" style="margin-top: -2px;">
                                        <a class="dropdown-item" target="_blank" href="https://telegram.me/share/url?url=http://lex.uz//docs/3049875 Об утверждении Методики оценки качества оказания электронных государственных услуг">Telegram</a>
                                        <a class="dropdown-item" target="_blank" href="https://www.facebook.com/sharer/sharer.php?u=http://lex.uz//docs/3049875">Facebook</a>
                                        <a class="dropdown-item" target="_blank" href="">Twitter</a>
                                        <a class="dropdown-item" target="_blank" href="">Instagram</a>
                                    </div>
                                </div>
                            </div>
                        </div>
                    </div>
                </div>
            </div>
            <div class="container docBody-container">
                <div class="docBody d-flex">
                    <div class="docBody__content">
                        <div class="docContentHeader docBody_bottom-nav">
                            <div class="docContentHeader__item docContentHeader__item-mobile-left docContentHeader__item--action">
                                <div class="docContentHeader__item-link lx_border_left" onclick="addToFavorite()" title="Танланганларга қўшиш">
                                    <i class="far fa-star"></i>
                                </div>
                                
                                <div class="dropdown docContentHeader__item-link-dropdown">
                                    <div class="docContentHeader__item-link" id="dropdownMenuButton_b" title="Қўшимча модуллар" data-toggle="dropdown" aria-haspopup="true" aria-expanded="false">
                                        <i class="fas fa-tags"></i>
                                    </div>
                                    <div class="dropdown-menu" aria-labelledby="dropdownMenuButton_b" id="b_dropdown_check">
                                        <div class="dropdown-menu__item">
                                            <div class="custom-control custom-checkbox">
                                                <input class="custom-control-input" id="b_checkAll" type="checkbox" onclick="clickAllChk('b_checkAll', this,'b','t')">
                                                <label class="custom-control-label" for="b_checkAll"></label>
                                            </div>
                                            Ҳаммаси
                                        </div>
                                        <div class="dropdown-menu__item">
                                            <div class="custom-control custom-checkbox">
                                                <input class="custom-control-input" id="b_3935" type="checkbox" onclick="hideItem(this)" checked="checked">
                                                <label class="custom-control-label" for="b_3935"></label>
                                            </div>
                                            Кейинги таҳрирга ҳавола
                                        </div>
                                        <div class="dropdown-menu__item">
                                            <div class="custom-control custom-checkbox">
                                                <input class="custom-control-input" id="b_3934" type="checkbox" onclick="hideItem(this)" checked="checked">
                                                <label class="custom-control-label" for="b_3934"></label>
                                            </div>
                                            Олдинги таҳрирга ҳавола
                                        </div>
                                        <div class="dropdown-menu__item">
                                            <div class="custom-control custom-checkbox">
                                                <input class="custom-control-input" id="b_5987" type="checkbox" onclick="hideItem(this)">
                                                <label class="custom-control-label" for="b_5987"></label>
                                            </div>
                                            ҚТУК бўйича индекслаш
                                        </div>
                                        <div class="dropdown-menu__item">
                                            <div class="custom-control custom-checkbox">
                                                <input class="custom-control-input" id="b_5988" type="checkbox" onclick="hideItem(this)">
                                                <label class="custom-control-label" for="b_5988"></label>
                                            </div>
                                            ҚМҚ бўйича индекслаш
                                        </div>
                                        <div class="dropdown-menu__item">
                                            <div class="custom-control custom-checkbox">
                                                <input class="custom-control-input" id="b_1104" type="checkbox" onclick="hideItem(this)" checked="checked">
                                                <label class="custom-control-label" for="b_1104"></label>
                                            </div>
                                            Ўзгартиришлар манбаси
                                        </div>
                                        <div class="dropdown-menu__item">
                                            <div class="custom-control custom-checkbox">
                                                <input class="custom-control-input" id="b_1089" type="checkbox" onclick="hideItem(this)" checked="checked">
                                                <label class="custom-control-label" for="b_1089"></label>
                                            </div>
                                            Расмий нашр манбаси
                                        </div>
                                    </div>
                                </div>
                                <div class="docContentHeader__item-link" id="b_btn_lex_comment" onclick="toggleLexComments()">
                                    <i class="fas fa-file-signature"></i>
                                </div>
                                
                                <div class="dropdown docContentHeader__item-link-dropdown" title="Вариантлар">
                                    <div class="docContentHeader__item-link" id="dd3_" data-toggle="dropdown" aria-haspopup="true" aria-expanded="false">
                                        <i class="fas fa-calendar" style="font-weight: 400;"></i>
                                    </div>
                                    <div class="dropdown-menu lx_date_ddm" aria-labelledby="dd3_" id="lx_var_b" title=""></div>
                                </div>
                                
                                <div class="dropdown docContentHeader__item-link-dropdown" title="Вариантларни солиштириш">
                                    <div class="docContentHeader__item-link" id="dd4_" data-toggle="dropdown" aria-haspopup="true" aria-expanded="false">
                                        <svg class="icon sm">
                                            <use xlink:href="/assets/img/sprite2.svg#compare"></use></svg>
                                    </div>
                                    <div class="dropdown-menu lx_date_ddm" aria-labelledby="dd4_" title="">
                                        <div class="dropdown-menu__item lx_date_link" onclick="lxOpenUrl('/docs/3049875?ONDATE2=16.12.2025&action=compare')">16.12.2025</div>
<div class="dropdown-menu__item lx_date_link" onclick="lxOpenUrl('/docs/3049875?ONDATE2=23.01.2018 01&action=compare')">23.01.2018 01</div>
<div class="dropdown-menu__item lx_date_link" onclick="lxOpenUrl('/docs/3049875?ONDATE2=24.10.2016&action=compare')">24.10.2016</div>
                                    </div>
                                </div>
                                
                                <div class="docContentHeader__item-link" onclick="downloadDoc()" title="MS Word га сақлаш">
                                    <svg class="icon sm">
                                        <use xlink:href="/assets/img/sprite2.svg#word"></use></svg>
                                </div>
                                
                                <div class="docContentHeader__item-link" onclick="openUrl('/pdfs/3049875')" title="PDF форматида юклаб олиш">
                                    <svg class="icon sm">
                                        <use xlink:href="/assets/img/sprite2.svg#pdf3S"></use></svg>
                                </div>
                                
                                <div class="docContentHeader__item-link lx_border_right" onclick="window.print()" title="Чоп этиш">
                                    <i class="fas fa-print"></i>
                                </div>
                            </div>
                            <div class="docContentHeader__item docContentHeader__item-mobile-right skiptranslate">
                                <div class="dropdown eye_btn">
                                    <div class="docContentHeader__item-link lx_border_both mr-1" data-toggle="dropdown">
                                        <i class="fas fa-eye"></i>
                                    </div>
                                    <div class="dropdown-menu drop_menu">
                                        <h6 class="show_size">Кўриниш</h6>
                                        <div class="row" style="margin-right: 1.3rem; margin-left: 0rem;">
                                            <div class="col-4">
                                                <button class="btnA btn__left" onclick="toggleTheme('light');">A</button>
                                            </div>
                                            <div class="col-4">
                                                <button class="btnA btn__cebter" onclick="toggleTheme('grey');">A</button>
                                            </div>
                                            <div class="col-4">
                                                <button class="btnA btn__reght" onclick="toggleTheme('dark');">A</button>
                                            </div>
                                        </div>
                                    </div>
                                </div>
                                <div class="docContentHeader__item-link lx_border_left active" title="На русском">Рус</div><div class="docContentHeader__item-link" onclick="openUrl('/docs/7183536')" title="In english">Eng</div><div class="docContentHeader__item-link" onclick="openUrl('/docs/3049873')" title="Ўзбекча">Ўзб</div><div class="docContentHeader__item-link" onclick="openUrl('/docs/-3049873')" title="O'zbekcha">O’zb</div><div class="docContentHeader__item-link-language" onclick="openTwoLang(3)" title="Иккита тилда">Рус|Ўзб</div><div class="docContentHeader__item-link-language lx_border_right" onclick="openTwoLang(4)" title="Иккита тилда">Рус|O‘zb</div>
                            </div>
                        </div>
                        <div class="docBody__container">
                            <div class="docBody__content-em" id='main_container1'>
                                
                                    <div style="background-color: #fff; padding: 16px 14px 16px 8px;">
                                        <table style="width: 100%; font-family: Arial; font-size: 14px; font-weight: bold;">
                                            <tr>
                                                <td style="width: 50%; border: 0;">
                                                    
                                                </td>
                                                <td style="width: 50%; border: 0;" align="right">
                                                    
                                                    
                                                </td>
                                            </tr>
                                            
                                        </table>
                                        <div id="mD" class="main-column document" style="margin: 0px;">
                                            <div id="divBody">
                                                <div id="divCont" style="background:#ffffff;border:none;margin:auto;"><div class="INDEXES_ON_REF lx_no_select" style="display:none"><label id="s5987"></label><div name="onLBC3049875" id="onLBC3049875">[<b>ОКОЗ:</b><div id="LBC7274"><span class="iorRN">1.</span><span class="iorVal">12.00.00.00 Информация и информатизация / 12.02.00.00 Управление в сфере информации и информатизации. Электронное правительство / 12.02.04.00 Другие вопросы;</span></div><div id="LBC7283"><span class="iorRN">2.</span><span class="iorVal">12.00.00.00 Информация и информатизация / 12.03.00.00 Информационные ресурсы. Пользование информационными ресурсами / 12.03.04.00 Открытая и общедоступная информация. Государственные информационные ресурсы]</span></div></div></div><div class="INDEXES_ON_REF lx_no_select" style="display:none"><label id="s5988"></label><div name="onLS3049875" id="onLS3049875">[<b>ТСЗ:</b><div id="LS3745"><span class="iorRN">1.</span><span class="iorVal">Экономика / Информация и информатизация. Электронная коммерция (документооборот)]</span></div></div></div><div class="ACT_FORM lx_elem" onmousemove="lx_mo(event,3049877)"><div class="lx_elem2"><div class="lx_elem3"><span onclick="lx_sf(3049877)"><img src="/img/cmt.svg" />Ҳужжатга таклиф юбориш</span><span onclick="lx_pa(3049877)"><img src="/img/vlm.svg" />Аудиони тинглаш</span><span onclick="lx_cl(3049877)"><img src="/img/lnk.svg" />Ҳужжат элементидан ҳавола олиш</span></div></div><div name="3049877" id="3049877">Постановление</div></div><div class="ACCEPTING_BODY lx_elem" onmousemove="lx_mo(event,3049878)"><div class="lx_elem2"><div class="lx_elem3"><span onclick="lx_sf(3049878)"><img src="/img/cmt.svg" />Ҳужжатга таклиф юбориш</span><span onclick="lx_pa(3049878)"><img src="/img/vlm.svg" />Аудиони тинглаш</span><span onclick="lx_cl(3049878)"><img src="/img/lnk.svg" />Ҳужжат элементидан ҳавола олиш</span></div></div><div name="3049878" id="3049878">Кабинета Министров Республики Узбекистан</div></div><div class="ACT_TITLE lx_elem" onmousemove="lx_mo(event,3049879)"><div class="lx_elem2"><div class="lx_elem3"><span onclick="lx_sf(3049879)"><img src="/img/cmt.svg" />Ҳужжатга таклиф юбориш</span><span onclick="lx_pa(3049879)"><img src="/img/vlm.svg" />Аудиони тинглаш</span><span onclick="lx_cl(3049879)"><img src="/img/lnk.svg" />Ҳужжат элементидан ҳавола олиш</span></div></div><div name="3049879" id="3049879">Об утверждении Методики оценки качества оказания электронных государственных услуг</div></div><div class="BY_DEFAULT lx_elem" onmousemove="lx_mo(event,3049880)"><div class="lx_elem2"><div class="lx_elem3"><span onclick="lx_sf(3049880)"><img src="/img/cmt.svg" />Ҳужжатга таклиф юбориш</span><span onclick="lx_pa(3049880)"><img src="/img/vlm.svg" />Аудиони тинглаш</span><span onclick="lx_cl(3049880)"><img src="/img/lnk.svg" />Ҳужжат элементидан ҳавола олиш</span></div></div><div name="3049880" id="3049880"></div></div><div class="ACT_TEXT lx_elem" onmousemove="lx_mo(event,3049881)"><div class="lx_elem2"><div class="lx_elem3"><span onclick="lx_sf(3049881)"><img src="/img/cmt.svg" />Ҳужжатга таклиф юбориш</span><span onclick="lx_pa(3049881)"><img src="/img/vlm.svg" />Аудиони тинглаш</span><span onclick="lx_cl(3049881)"><img src="/img/lnk.svg" />Ҳужжат элементидан ҳавола олиш</span></div></div><div name="3049881" id="3049881">В соответствии с <a href="/docs/2833855">Законом</a> Республики Узбекистан «Об электронном правительстве», в целях обеспечения единого подхода к проведению изучения и анализа качества электронных государственных услуг, оказываемых органами государственного и хозяйственного управления, государственной власти на местах (далее — государственные органы), иными организациями, а также повышения качества их оказания и доступности Кабинет Министров постановляет:</div></div><div class="COMMENT lx_no_select"><label id="s3934"></label><div name="edi7950941" id="edi7950941">См. <a href="/docs/3049875?ONDATE=24.10.2016 00#3049882">предыдущую</a> редакцию.</div></div><div class="BY_DEFAULT lx_elem" onmousemove="lx_mo(event,7950941)"><div class="lx_elem2"><div class="lx_elem3"><span onclick="lx_sf(7950941)"><img src="/img/cmt.svg" />Ҳужжатга таклиф юбориш</span><span onclick="lx_pa(7950941)"><img src="/img/vlm.svg" />Аудиони тинглаш</span><span onclick="lx_cl(7950941)"><img src="/img/lnk.svg" />Ҳужжат элементидан ҳавола олиш</span></div></div><div name="7950941" id="7950941"></div></div><div class="ACT_TEXT lx_elem" onmousemove="lx_mo(event,7950943)"><div class="lx_elem2"><div class="lx_elem3"><span onclick="lx_sf(7950943)"><img src="/img/cmt.svg" />Ҳужжатга таклиф юбориш</span><span onclick="lx_pa(7950943)"><img src="/img/vlm.svg" />Аудиони тинглаш</span><span onclick="lx_cl(7950943)"><img src="/img/lnk.svg" />Ҳужжат элементидан ҳавола олиш</span></div></div><div name="7950943" id="7950943">1. Утвердить Методику оценки качества оказания электронных государственных услуг органов государственного и хозяйственного управления, органов исполнительной власти на местах и иных организаций согласно <a href="/docs/3049875#3049896">приложению</a>.</div></div><div class="CHANGES_ORIGINS lx_no_select"><label id="s1104"></label><div name="7950944" id="7950944">(пункт  1 в редакции <a href="/docs/7926688">постановления </a>Кабинета Министров Республики Узбекистан от 15 декабря 2025 года № 791)</div></div><div class="ACT_TEXT lx_elem" onmousemove="lx_mo(event,3049883)"><div class="lx_elem2"><div class="lx_elem3"><span onclick="lx_sf(3049883)"><img src="/img/cmt.svg" />Ҳужжатга таклиф юбориш</span><span onclick="lx_pa(3049883)"><img src="/img/vlm.svg" />Аудиони тинглаш</span><span onclick="lx_cl(3049883)"><img src="/img/lnk.svg" />Ҳужжат элементидан ҳавола олиш</span></div></div><div name="3049883" id="3049883">2. Министерству по развитию информационных технологий и коммуникаций Республики Узбекистан:</div></div><div class="ACT_TEXT lx_elem" onmousemove="lx_mo(event,3049884)"><div class="lx_elem2"><div class="lx_elem3"><span onclick="lx_sf(3049884)"><img src="/img/cmt.svg" />Ҳужжатга таклиф юбориш</span><span onclick="lx_pa(3049884)"><img src="/img/vlm.svg" />Аудиони тинглаш</span><span onclick="lx_cl(3049884)"><img src="/img/lnk.svg" />Ҳужжат элементидан ҳавола олиш</span></div></div><div name="3049884" id="3049884">в двухмесячный срок принять меры по совершенствованию межведомственной автоматизированной информационной системы NIS.UZ (далее — Система) с учетом обеспечения ею сбора, приема, обработки, обмена и хранения информации о состоянии оказания электронных государственных услуг государственными органами и иными организациями;</div></div><div class="ACT_TEXT lx_elem" onmousemove="lx_mo(event,3049885)"><div class="lx_elem2"><div class="lx_elem3"><span onclick="lx_sf(3049885)"><img src="/img/cmt.svg" />Ҳужжатга таклиф юбориш</span><span onclick="lx_pa(3049885)"><img src="/img/vlm.svg" />Аудиони тинглаш</span><span onclick="lx_cl(3049885)"><img src="/img/lnk.svg" />Ҳужжат элементидан ҳавола олиш</span></div></div><div name="3049885" id="3049885">в срок до 20 декабря 2016 года разработать и утвердить инструкцию, регламентирующую порядок ввода информации в Систему согласно требованиям Методики оценки качества оказания электронных государственных услуг;</div></div><div class="ACT_TEXT lx_elem" onmousemove="lx_mo(event,3049886)"><div class="lx_elem2"><div class="lx_elem3"><span onclick="lx_sf(3049886)"><img src="/img/cmt.svg" />Ҳужжатга таклиф юбориш</span><span onclick="lx_pa(3049886)"><img src="/img/vlm.svg" />Аудиони тинглаш</span><span onclick="lx_cl(3049886)"><img src="/img/lnk.svg" />Ҳужжат элементидан ҳавола олиш</span></div></div><div name="3049886" id="3049886">обеспечить на ежегодной основе публикацию результатов оценки качества оказания электронных государственных услуг в средствах массовой информации, в том числе на Едином портале интерактивных государственных услуг Республики Узбекистан.</div></div><div class="ACT_TEXT lx_elem" onmousemove="lx_mo(event,3049887)"><div class="lx_elem2"><div class="lx_elem3"><span onclick="lx_sf(3049887)"><img src="/img/cmt.svg" />Ҳужжатга таклиф юбориш</span><span onclick="lx_pa(3049887)"><img src="/img/vlm.svg" />Аудиони тинглаш</span><span onclick="lx_cl(3049887)"><img src="/img/lnk.svg" />Ҳужжат элементидан ҳавола олиш</span></div></div><div name="3049887" id="3049887">3. Государственным органам и иным организациям, оказывающим электронные государственные услуги, обеспечить:</div></div><div class="ACT_TEXT lx_elem" onmousemove="lx_mo(event,3049888)"><div class="lx_elem2"><div class="lx_elem3"><span onclick="lx_sf(3049888)"><img src="/img/cmt.svg" />Ҳужжатга таклиф юбориш</span><span onclick="lx_pa(3049888)"><img src="/img/vlm.svg" />Аудиони тинглаш</span><span onclick="lx_cl(3049888)"><img src="/img/lnk.svg" />Ҳужжат элементидан ҳавола олиш</span></div></div><div name="3049888" id="3049888">на ежегодной основе своевременное внесение в Систему достоверной информации о состоянии оказания электронных государственных услуг в порядке, предусмотренном Методикой оценки качества оказания электронных государственных услуг;</div></div><div class="ACT_TEXT lx_elem" onmousemove="lx_mo(event,3049889)"><div class="lx_elem2"><div class="lx_elem3"><span onclick="lx_sf(3049889)"><img src="/img/cmt.svg" />Ҳужжатга таклиф юбориш</span><span onclick="lx_pa(3049889)"><img src="/img/vlm.svg" />Аудиони тинглаш</span><span onclick="lx_cl(3049889)"><img src="/img/lnk.svg" />Ҳужжат элементидан ҳавола олиш</span></div></div><div name="3049889" id="3049889">по согласованию с Министерством по развитию информационных технологий и коммуникаций Республики Узбекистан разработку и осуществление конкретных мер, направленных на постоянное совершенствование порядка и качества оказания электронных государственных услуг, с учетом результатов проводимого мониторинга качества оказания электронных государственных услуг.</div></div><div class="ACT_TEXT lx_elem" onmousemove="lx_mo(event,3049890)"><div class="lx_elem2"><div class="lx_elem3"><span onclick="lx_sf(3049890)"><img src="/img/cmt.svg" />Ҳужжатга таклиф юбориш</span><span onclick="lx_pa(3049890)"><img src="/img/vlm.svg" />Аудиони тинглаш</span><span onclick="lx_cl(3049890)"><img src="/img/lnk.svg" />Ҳужжат элементидан ҳавола олиш</span></div></div><div name="3049890" id="3049890">4. Контроль за исполнением настоящего постановления возложить на заместителя Премьер-министра Республики Узбекистан Арипова А.Н.</div></div><div class="SIGNATURE lx_elem" onmousemove="lx_mo(event,3049891)"><div class="lx_elem2"><div class="lx_elem3"><span onclick="lx_sf(3049891)"><img src="/img/cmt.svg" />Ҳужжатга таклиф юбориш</span><span onclick="lx_pa(3049891)"><img src="/img/vlm.svg" />Аудиони тинглаш</span><span onclick="lx_cl(3049891)"><img src="/img/lnk.svg" />Ҳужжат элементидан ҳавола олиш</span></div></div><div name="3049891" id="3049891">Премьер-министр Республики Узбекистан Ш. МИРЗИЁЕВ</div></div><div class="ACT_ESSENTIAL_ELEMENTS lx_elem" onmousemove="lx_mo(event,3049892)"><div class="lx_elem2"><div class="lx_elem3"><span onclick="lx_sf(3049892)"><img src="/img/cmt.svg" />Ҳужжатга таклиф юбориш</span><span onclick="lx_pa(3049892)"><img src="/img/vlm.svg" />Аудиони тинглаш</span><span onclick="lx_cl(3049892)"><img src="/img/lnk.svg" />Ҳужжат элементидан ҳавола олиш</span></div></div><div name="3049892" id="3049892">г. Ташкент,</div></div><div class="ACT_ESSENTIAL_ELEMENTS lx_elem" onmousemove="lx_mo(event,3049893)"><div class="lx_elem2"><div class="lx_elem3"><span onclick="lx_sf(3049893)"><img src="/img/cmt.svg" />Ҳужжатга таклиф юбориш</span><span onclick="lx_pa(3049893)"><img src="/img/vlm.svg" />Аудиони тинглаш</span><span onclick="lx_cl(3049893)"><img src="/img/lnk.svg" />Ҳужжат элементидан ҳавола олиш</span></div></div><div name="3049893" id="3049893">20 октября 2016 г.,</div></div><div class="ACT_ESSENTIAL_ELEMENTS_NUM lx_elem" onmousemove="lx_mo(event,3049894)"><div class="lx_elem2"><div class="lx_elem3"><span onclick="lx_sf(3049894)"><img src="/img/cmt.svg" />Ҳужжатга таклиф юбориш</span><span onclick="lx_pa(3049894)"><img src="/img/vlm.svg" />Аудиони тинглаш</span><span onclick="lx_cl(3049894)"><img src="/img/lnk.svg" />Ҳужжат элементидан ҳавола олиш</span></div></div><div name="3049894" id="3049894">№ 353</div></div><div class="BY_DEFAULT lx_elem" onmousemove="lx_mo(event,3049895)"><div class="lx_elem2"><div class="lx_elem3"><span onclick="lx_sf(3049895)"><img src="/img/cmt.svg" />Ҳужжатга таклиф юбориш</span><span onclick="lx_pa(3049895)"><img src="/img/vlm.svg" />Аудиони тинглаш</span><span onclick="lx_cl(3049895)"><img src="/img/lnk.svg" />Ҳужжат элементидан ҳавола олиш</span></div></div><div name="3049895" id="3049895"></div></div><div class="APPL_BANNER_LANDSCAPE_TITLE lx_elem" onmousemove="lx_mo(event,3049896)"><div class="lx_elem2"><div class="lx_elem3"><span onclick="lx_sf(3049896)"><img src="/img/cmt.svg" />Ҳужжатга таклиф юбориш</span><span onclick="lx_pa(3049896)"><img src="/img/vlm.svg" />Аудиони тинглаш</span><span onclick="lx_cl(3049896)"><img src="/img/lnk.svg" />Ҳужжат элементидан ҳавола олиш</span></div></div><div name="3049896" id="3049896">ПРИЛОЖЕНИЕ<br />к <a href="/docs/3049875">постановлению </a>Кабинета Министров от 20 октября 2016 года № 353</div></div><div class="COMMENT lx_no_select"><label id="s3934"></label><div name="edi7950946" id="edi7950946">См. <a href="/docs/3049875?ONDATE=24.10.2016 00#3049897">предыдущую</a> редакцию.</div></div><div class="BY_DEFAULT lx_elem" onmousemove="lx_mo(event,7950946)"><div class="lx_elem2"><div class="lx_elem3"><span onclick="lx_sf(7950946)"><img src="/img/cmt.svg" />Ҳужжатга таклиф юбориш</span><span onclick="lx_pa(7950946)"><img src="/img/vlm.svg" />Аудиони тинглаш</span><span onclick="lx_cl(7950946)"><img src="/img/lnk.svg" />Ҳужжат элементидан ҳавола олиш</span></div></div><div name="7950946" id="7950946"></div></div><div class="ACT_FORM lx_elem" onmousemove="lx_mo(event,7950974)"><div class="lx_elem2"><div class="lx_elem3"><span onclick="lx_sf(7950974)"><img src="/img/cmt.svg" />Ҳужжатга таклиф юбориш</span><span onclick="lx_pa(7950974)"><img src="/img/vlm.svg" />Аудиони тинглаш</span><span onclick="lx_cl(7950974)"><img src="/img/lnk.svg" />Ҳужжат элементидан ҳавола олиш</span></div></div><div name="7950974" id="7950974">МЕТОДИКА</div></div><div class="ACT_TITLE_APPL lx_elem" onmousemove="lx_mo(event,7950977)"><div class="lx_elem2"><div class="lx_elem3"><span onclick="lx_sf(7950977)"><img src="/img/cmt.svg" />Ҳужжатга таклиф юбориш</span><span onclick="lx_pa(7950977)"><img src="/img/vlm.svg" />Аудиони тинглаш</span><span onclick="lx_cl(7950977)"><img src="/img/lnk.svg" />Ҳужжат элементидан ҳавола олиш</span></div></div><div name="7950977" id="7950977">оценки качества оказания электронных государственных услуг органов государственного и хозяйственного управления, органов исполнительной власти на местах и иных организаций</div></div><div class="CHANGES_ORIGINS lx_no_select"><label id="s1104"></label><div name="7950989" id="7950989">(наименование приложение в редакции <a href="/docs/7926688">постановления </a>Кабинета Министров Республики Узбекистан от 15 декабря 2025 года № 791)</div></div><div class="BY_DEFAULT lx_elem" onmousemove="lx_mo(event,3049899)"><div class="lx_elem2"><div class="lx_elem3"><span onclick="lx_sf(3049899)"><img src="/img/cmt.svg" />Ҳужжатга таклиф юбориш</span><span onclick="lx_pa(3049899)"><img src="/img/vlm.svg" />Аудиони тинглаш</span><span onclick="lx_cl(3049899)"><img src="/img/lnk.svg" />Ҳужжат элементидан ҳавола олиш</span></div></div><div name="3049899" id="3049899"></div></div><div class="TEXT_HEADER_DEFAULT lx_elem" onmousemove="lx_mo(event,3049900)"><div class="lx_elem2"><div class="lx_elem3"><span onclick="lx_sf(3049900)"><img src="/img/cmt.svg" />Ҳужжатга таклиф юбориш</span><span onclick="lx_pa(3049900)"><img src="/img/vlm.svg" />Аудиони тинглаш</span><span onclick="lx_cl(3049900)"><img src="/img/lnk.svg" />Ҳужжат элементидан ҳавола олиш</span></div></div><div name="3049900" id="3049900">Глава 1. Общие положения</div></div><div class="ACT_TEXT lx_elem" onmousemove="lx_mo(event,3049901)"><div class="lx_elem2"><div class="lx_elem3"><span onclick="lx_sf(3049901)"><img src="/img/cmt.svg" />Ҳужжатга таклиф юбориш</span><span onclick="lx_pa(3049901)"><img src="/img/vlm.svg" />Аудиони тинглаш</span><span onclick="lx_cl(3049901)"><img src="/img/lnk.svg" />Ҳужжат элементидан ҳавола олиш</span></div></div><div name="3049901" id="3049901">1. Настоящая Методика оценки качества оказания электронных государственных услуг (далее — Методика) в соответствии с <a href="/docs/2833855">Законом</a> Республики Узбекистан «Об электронном правительстве» и <a href="/docs/2972706">постановлением</a> Кабинета Министров Республики Узбекистан от 3 июня 2016 года № 188 «О дальнейших мерах по реализации Закона Республики Узбекистан «Об электронном правительстве» определяет порядок проведения оценки качества оказания электронных государственных услуг.</div></div><div class="ACT_TEXT lx_elem" onmousemove="lx_mo(event,3049902)"><div class="lx_elem2"><div class="lx_elem3"><span onclick="lx_sf(3049902)"><img src="/img/cmt.svg" />Ҳужжатга таклиф юбориш</span><span onclick="lx_pa(3049902)"><img src="/img/vlm.svg" />Аудиони тинглаш</span><span onclick="lx_cl(3049902)"><img src="/img/lnk.svg" />Ҳужжат элементидан ҳавола олиш</span></div></div><div name="3049902" id="3049902">2. Оценка качества оказания электронных государственных услуг проводится по государственным услугам, указанным в Едином реестре государственных услуг, форм и бланков в соответствии с <a href="/docs/2645699">постановлением</a> Кабинета Министров Республики Узбекистан от 13 мая 2015 года № 120 «О мерах по дальнейшему совершенствованию порядка оказания государственных услуг и межведомственного информационного взаимодействия государственных органов и иных организаций». </div></div><div class="ACT_TEXT lx_elem" onmousemove="lx_mo(event,3049903)"><div class="lx_elem2"><div class="lx_elem3"><span onclick="lx_sf(3049903)"><img src="/img/cmt.svg" />Ҳужжатга таклиф юбориш</span><span onclick="lx_pa(3049903)"><img src="/img/vlm.svg" />Аудиони тинглаш</span><span onclick="lx_cl(3049903)"><img src="/img/lnk.svg" />Ҳужжат элементидан ҳавола олиш</span></div></div><div name="3049903" id="3049903">3. Оценка качества оказания электронных государственных услуг осуществляется уполномоченным органом в области электронного правительства — Министерством по развитию информационных технологий и коммуникаций Республики Узбекистан. </div></div><div class="ACT_TEXT lx_elem" onmousemove="lx_mo(event,3049904)"><div class="lx_elem2"><div class="lx_elem3"><span onclick="lx_sf(3049904)"><img src="/img/cmt.svg" />Ҳужжатга таклиф юбориш</span><span onclick="lx_pa(3049904)"><img src="/img/vlm.svg" />Аудиони тинглаш</span><span onclick="lx_cl(3049904)"><img src="/img/lnk.svg" />Ҳужжат элементидан ҳавола олиш</span></div></div><div name="3049904" id="3049904">4. Оценка качества оказания электронных государственных услуг основывается на принципах законности, объективности, беспристрастности, соблюдения конфиденциальности, прозрачности, всесторонности и достоверности. </div></div><div class="ACT_TEXT lx_elem" onmousemove="lx_mo(event,3049905)"><div class="lx_elem2"><div class="lx_elem3"><span onclick="lx_sf(3049905)"><img src="/img/cmt.svg" />Ҳужжатга таклиф юбориш</span><span onclick="lx_pa(3049905)"><img src="/img/vlm.svg" />Аудиони тинглаш</span><span onclick="lx_cl(3049905)"><img src="/img/lnk.svg" />Ҳужжат элементидан ҳавола олиш</span></div></div><div name="3049905" id="3049905">5. Источниками информации для проведения оценки качества оказания электронных государственных услуг являются: </div></div><div class="ACT_TEXT lx_elem" onmousemove="lx_mo(event,3049906)"><div class="lx_elem2"><div class="lx_elem3"><span onclick="lx_sf(3049906)"><img src="/img/cmt.svg" />Ҳужжатга таклиф юбориш</span><span onclick="lx_pa(3049906)"><img src="/img/vlm.svg" />Аудиони тинглаш</span><span onclick="lx_cl(3049906)"><img src="/img/lnk.svg" />Ҳужжат элементидан ҳавола олиш</span></div></div><div name="3049906" id="3049906">официальные веб-сайты органов государственного и хозяйственного управления, государственной власти на местах (далее — государственные органы) и иных организаций; </div></div><div class="ACT_TEXT lx_elem" onmousemove="lx_mo(event,3049907)"><div class="lx_elem2"><div class="lx_elem3"><span onclick="lx_sf(3049907)"><img src="/img/cmt.svg" />Ҳужжатга таклиф юбориш</span><span onclick="lx_pa(3049907)"><img src="/img/vlm.svg" />Аудиони тинглаш</span><span onclick="lx_cl(3049907)"><img src="/img/lnk.svg" />Ҳужжат элементидан ҳавола олиш</span></div></div><div name="3049907" id="3049907">Единый портал интерактивных государственных услуг Республики Узбекистан, (далее — Единый портал); </div></div><div class="COMMENT lx_no_select"><label id="s3934"></label><div name="edi3528553" id="edi3528553">См. <a href="/docs/3049875?ONDATE=24.10.2016 00#3049908">предыдущую</a> редакцию.</div></div><div class="BY_DEFAULT lx_elem" onmousemove="lx_mo(event,3528553)"><div class="lx_elem2"><div class="lx_elem3"><span onclick="lx_sf(3528553)"><img src="/img/cmt.svg" />Ҳужжатга таклиф юбориш</span><span onclick="lx_pa(3528553)"><img src="/img/vlm.svg" />Аудиони тинглаш</span><span onclick="lx_cl(3528553)"><img src="/img/lnk.svg" />Ҳужжат элементидан ҳавола олиш</span></div></div><div name="3528553" id="3528553"></div></div><div class="ACT_TEXT lx_elem" onmousemove="lx_mo(event,3528560)"><div class="lx_elem2"><div class="lx_elem3"><span onclick="lx_sf(3528560)"><img src="/img/cmt.svg" />Ҳужжатга таклиф юбориш</span><span onclick="lx_pa(3528560)"><img src="/img/vlm.svg" />Аудиони тинглаш</span><span onclick="lx_cl(3528560)"><img src="/img/lnk.svg" />Ҳужжат элементидан ҳавола олиш</span></div></div><div name="3528560" id="3528560">система межведомственного электронного взаимодействия государственных органов и иных организаций, в том числе с использованием при оказании электронных государственных услуг через Центры государственных услуг.</div></div><div class="CHANGES_ORIGINS lx_no_select"><label id="s1104"></label><div name="3528566" id="3528566">(абзац четвертый пункта 5 в редакции <a href="/docs/3516603?ONDATE=23.01.2018 01#3518292">постановления </a>Кабинета Министров Республики Узбекистан от 22 января 2018 года № 40 — Национальная база данных законодательства, 23.01.2018 г., № 09/18/40/0609)</div></div><div class="TEXT_HEADER_DEFAULT lx_elem" onmousemove="lx_mo(event,3049909)"><div class="lx_elem2"><div class="lx_elem3"><span onclick="lx_sf(3049909)"><img src="/img/cmt.svg" />Ҳужжатга таклиф юбориш</span><span onclick="lx_pa(3049909)"><img src="/img/vlm.svg" />Аудиони тинглаш</span><span onclick="lx_cl(3049909)"><img src="/img/lnk.svg" />Ҳужжат элементидан ҳавола олиш</span></div></div><div name="3049909" id="3049909">Глава 2. Основные понятия</div></div><div class="ACT_TEXT lx_elem" onmousemove="lx_mo(event,3049910)"><div class="lx_elem2"><div class="lx_elem3"><span onclick="lx_sf(3049910)"><img src="/img/cmt.svg" />Ҳужжатга таклиф юбориш</span><span onclick="lx_pa(3049910)"><img src="/img/vlm.svg" />Аудиони тинглаш</span><span onclick="lx_cl(3049910)"><img src="/img/lnk.svg" />Ҳужжат элементидан ҳавола олиш</span></div></div><div name="3049910" id="3049910">6. В настоящей Методике используются следующие понятия: </div></div><div class="ACT_TEXT lx_elem" onmousemove="lx_mo(event,3049911)"><div class="lx_elem2"><div class="lx_elem3"><span onclick="lx_sf(3049911)"><img src="/img/cmt.svg" />Ҳужжатга таклиф юбориш</span><span onclick="lx_pa(3049911)"><img src="/img/vlm.svg" />Аудиони тинглаш</span><span onclick="lx_cl(3049911)"><img src="/img/lnk.svg" />Ҳужжат элементидан ҳавола олиш</span></div></div><div name="3049911" id="3049911"><strong>межведомственный электронный запрос</strong> — требование государственного органа или иной организации о представлении документов и информации, необходимых для оказания государственной услуги, направленное в форме электронного документа на основании запроса заявителя; </div></div><div class="ACT_TEXT lx_elem" onmousemove="lx_mo(event,3049912)"><div class="lx_elem2"><div class="lx_elem3"><span onclick="lx_sf(3049912)"><img src="/img/cmt.svg" />Ҳужжатга таклиф юбориш</span><span onclick="lx_pa(3049912)"><img src="/img/vlm.svg" />Аудиони тинглаш</span><span onclick="lx_cl(3049912)"><img src="/img/lnk.svg" />Ҳужжат элементидан ҳавола олиш</span></div></div><div name="3049912" id="3049912"><strong>результат оказания электронной государственной услуги</strong> — реализация прав, свобод и законных интересов заявителей, выраженная в осуществлении государственными органами и иными организациями соответствующих действий в соответствии с регламентом оказания электронной государственной услуги, в том числе предоставлении заявителям соответствующей информации и документов; </div></div><div class="ACT_TEXT lx_elem" onmousemove="lx_mo(event,3049913)"><div class="lx_elem2"><div class="lx_elem3"><span onclick="lx_sf(3049913)"><img src="/img/cmt.svg" />Ҳужжатга таклиф юбориш</span><span onclick="lx_pa(3049913)"><img src="/img/vlm.svg" />Аудиони тинглаш</span><span onclick="lx_cl(3049913)"><img src="/img/lnk.svg" />Ҳужжат элементидан ҳавола олиш</span></div></div><div name="3049913" id="3049913"><strong>Единый реестр государственных услуг, форм и бланков (далее — Единый реестр)</strong> — открытый и общедоступный информационный ресурс в сети Интернет, содержащий полный перечень государственных услуг, форм и бланков, и иную информацию; </div></div><div class="ACT_TEXT lx_elem" onmousemove="lx_mo(event,3049914)"><div class="lx_elem2"><div class="lx_elem3"><span onclick="lx_sf(3049914)"><img src="/img/cmt.svg" />Ҳужжатга таклиф юбориш</span><span onclick="lx_pa(3049914)"><img src="/img/vlm.svg" />Аудиони тинглаш</span><span onclick="lx_cl(3049914)"><img src="/img/lnk.svg" />Ҳужжат элементидан ҳавола олиш</span></div></div><div name="3049914" id="3049914"><strong>показатель</strong> — совокупность индикаторов, объединенных по тематическому принципу и характеризующих один из аспектов качества предоставления государственной услуги;</div></div><div class="ACT_TEXT lx_elem" onmousemove="lx_mo(event,3049915)"><div class="lx_elem2"><div class="lx_elem3"><span onclick="lx_sf(3049915)"><img src="/img/cmt.svg" />Ҳужжатга таклиф юбориш</span><span onclick="lx_pa(3049915)"><img src="/img/vlm.svg" />Аудиони тинглаш</span><span onclick="lx_cl(3049915)"><img src="/img/lnk.svg" />Ҳужжат элементидан ҳавола олиш</span></div></div><div name="3049915" id="3049915"><strong>индикатор</strong> — свойство услуги, которое может быть измерено (количественно оценено). Каждый индикатор соответствует определенному требованию нормативно-правовых актов, регулирующих предоставление государственных услуг; </div></div><div class="ACT_TEXT lx_elem" onmousemove="lx_mo(event,3049916)"><div class="lx_elem2"><div class="lx_elem3"><span onclick="lx_sf(3049916)"><img src="/img/cmt.svg" />Ҳужжатга таклиф юбориш</span><span onclick="lx_pa(3049916)"><img src="/img/vlm.svg" />Аудиони тинглаш</span><span onclick="lx_cl(3049916)"><img src="/img/lnk.svg" />Ҳужжат элементидан ҳавола олиш</span></div></div><div name="3049916" id="3049916"><strong>оптимизация</strong> — выбор наилучшего варианта из возможных для достижения наибольшей эффективности процесса предоставления государственных услуг.</div></div><div class="TEXT_HEADER_DEFAULT lx_elem" onmousemove="lx_mo(event,3049917)"><div class="lx_elem2"><div class="lx_elem3"><span onclick="lx_sf(3049917)"><img src="/img/cmt.svg" />Ҳужжатга таклиф юбориш</span><span onclick="lx_pa(3049917)"><img src="/img/vlm.svg" />Аудиони тинглаш</span><span onclick="lx_cl(3049917)"><img src="/img/lnk.svg" />Ҳужжат элементидан ҳавола олиш</span></div></div><div name="3049917" id="3049917">Глава 3. Проведение оценки качества оказания электронных государственных услуг</div></div><div class="ACT_TEXT lx_elem" onmousemove="lx_mo(event,3049918)"><div class="lx_elem2"><div class="lx_elem3"><span onclick="lx_sf(3049918)"><img src="/img/cmt.svg" />Ҳужжатга таклиф юбориш</span><span onclick="lx_pa(3049918)"><img src="/img/vlm.svg" />Аудиони тинглаш</span><span onclick="lx_cl(3049918)"><img src="/img/lnk.svg" />Ҳужжат элементидан ҳавола олиш</span></div></div><div name="3049918" id="3049918">7. Оценка качества оказания электронных государственных услуг в государственных органах и иных организациях производится один раз в год по итоговым результатам отчетного периода по схеме согласно <a href="/docs/3049875#3050002">приложению</a> к настоящей Методике.</div></div><div class="ACT_TEXT lx_elem" onmousemove="lx_mo(event,3049919)"><div class="lx_elem2"><div class="lx_elem3"><span onclick="lx_sf(3049919)"><img src="/img/cmt.svg" />Ҳужжатга таклиф юбориш</span><span onclick="lx_pa(3049919)"><img src="/img/vlm.svg" />Аудиони тинглаш</span><span onclick="lx_cl(3049919)"><img src="/img/lnk.svg" />Ҳужжат элементидан ҳавола олиш</span></div></div><div name="3049919" id="3049919">8. Периодом для оценки считается первый месяц года, следующего за отчетным годом. Оценка качества оказания электронных государственных услуг осуществляется по следующим показателям системы оценки качества оказания электронных государственных услуг с выставлением баллов:</div></div><div class="BY_DEFAULT lx_elem" onmousemove="lx_mo(event,3051030)"><div class="lx_elem2"><div class="lx_elem3"><span onclick="lx_sf(3051030)"><img src="/img/cmt.svg" />Ҳужжатга таклиф юбориш</span><span onclick="lx_pa(3051030)"><img src="/img/vlm.svg" />Аудиони тинглаш</span><span onclick="lx_cl(3051030)"><img src="/img/lnk.svg" />Ҳужжат элементидан ҳавола олиш</span></div></div><div name="3051030" id="3051030"><table style="BORDER-BOTTOM: medium none; BORDER-LEFT: medium none; BORDER-COLLAPSE: collapse; BACKGROUND: white; BORDER-TOP: medium none; BORDER-RIGHT: medium none" border="1" cellspacing="0" cellpadding="0" width="100%">
<tbody>
<tr>
<td style="BORDER-BOTTOM: black 1pt solid; BORDER-LEFT: black 1pt solid; PADDING-BOTTOM: 0cm; PADDING-LEFT: 2.85pt; PADDING-RIGHT: 2.85pt; BORDER-TOP: black 1pt solid; BORDER-RIGHT: black 1pt solid; PADDING-TOP: 0cm">
<p align="center"><b><span>№</span></b></p></td>
<td style="BORDER-BOTTOM: black 1pt solid; BORDER-LEFT: #ece9d8; PADDING-BOTTOM: 0cm; PADDING-LEFT: 2.85pt; PADDING-RIGHT: 2.85pt; BORDER-TOP: black 1pt solid; BORDER-RIGHT: black 1pt solid; PADDING-TOP: 0cm">
<p align="center"><b><span>Показатели</span></b></p></td>
<td style="BORDER-BOTTOM: black 1pt solid; BORDER-LEFT: #ece9d8; PADDING-BOTTOM: 0cm; PADDING-LEFT: 2.85pt; PADDING-RIGHT: 2.85pt; BORDER-TOP: black 1pt solid; BORDER-RIGHT: black 1pt solid; PADDING-TOP: 0cm">
<p align="center"><b><span>Удельный вес показателя (балл)</span></b></p></td></tr>
<tr>
<td style="BORDER-BOTTOM: black 1pt solid; BORDER-LEFT: black 1pt solid; PADDING-BOTTOM: 0cm; PADDING-LEFT: 2.85pt; PADDING-RIGHT: 2.85pt; BORDER-TOP: #ece9d8; BORDER-RIGHT: black 1pt solid; PADDING-TOP: 0cm" valign="top">
<p align="center"><span>1.1.</span></p></td>
<td style="BORDER-BOTTOM: black 1pt solid; BORDER-LEFT: #ece9d8; PADDING-BOTTOM: 0cm; PADDING-LEFT: 2.85pt; PADDING-RIGHT: 2.85pt; BORDER-TOP: #ece9d8; BORDER-RIGHT: black 1pt solid; PADDING-TOP: 0cm" valign="top">
<p style="TEXT-INDENT: 11.55pt"><span>Наличие опубликованных регламентов электронных государственных услуг</span></p></td>
<td style="BORDER-BOTTOM: black 1pt solid; BORDER-LEFT: #ece9d8; PADDING-BOTTOM: 0cm; PADDING-LEFT: 2.85pt; PADDING-RIGHT: 2.85pt; BORDER-TOP: #ece9d8; BORDER-RIGHT: black 1pt solid; PADDING-TOP: 0cm" valign="top">
<p align="center"><span>2</span></p></td></tr>
<tr>
<td style="BORDER-BOTTOM: black 1pt solid; BORDER-LEFT: black 1pt solid; PADDING-BOTTOM: 0cm; PADDING-LEFT: 2.85pt; PADDING-RIGHT: 2.85pt; BORDER-TOP: #ece9d8; BORDER-RIGHT: black 1pt solid; PADDING-TOP: 0cm" valign="top">
<p align="center"><span>1.2.</span></p></td>
<td style="BORDER-BOTTOM: black 1pt solid; BORDER-LEFT: #ece9d8; PADDING-BOTTOM: 0cm; PADDING-LEFT: 2.85pt; PADDING-RIGHT: 2.85pt; BORDER-TOP: #ece9d8; BORDER-RIGHT: black 1pt solid; PADDING-TOP: 0cm" valign="top">
<p style="TEXT-INDENT: 11.55pt"><span>Наличие возможности отслеживания хода оказания электронных государственных услуг</span></p></td>
<td style="BORDER-BOTTOM: black 1pt solid; BORDER-LEFT: #ece9d8; PADDING-BOTTOM: 0cm; PADDING-LEFT: 2.85pt; PADDING-RIGHT: 2.85pt; BORDER-TOP: #ece9d8; BORDER-RIGHT: black 1pt solid; PADDING-TOP: 0cm" valign="top">
<p align="center"><span>10</span></p></td></tr>
<tr>
<td style="BORDER-BOTTOM: black 1pt solid; BORDER-LEFT: black 1pt solid; PADDING-BOTTOM: 0cm; PADDING-LEFT: 2.85pt; PADDING-RIGHT: 2.85pt; BORDER-TOP: #ece9d8; BORDER-RIGHT: black 1pt solid; PADDING-TOP: 0cm" valign="top">
<p align="center"><span>1.3.</span></p></td>
<td style="BORDER-BOTTOM: black 1pt solid; BORDER-LEFT: #ece9d8; PADDING-BOTTOM: 0cm; PADDING-LEFT: 2.85pt; PADDING-RIGHT: 2.85pt; BORDER-TOP: #ece9d8; BORDER-RIGHT: black 1pt solid; PADDING-TOP: 0cm" valign="top">
<p style="TEXT-INDENT: 11.55pt"><span>Проведение онлайн-опросов по совершенствованию электронных государственных услуг </span></p></td>
<td style="BORDER-BOTTOM: black 1pt solid; BORDER-LEFT: #ece9d8; PADDING-BOTTOM: 0cm; PADDING-LEFT: 2.85pt; PADDING-RIGHT: 2.85pt; BORDER-TOP: #ece9d8; BORDER-RIGHT: black 1pt solid; PADDING-TOP: 0cm" valign="top">
<p align="center"><span>8</span></p></td></tr>
<tr>
<td style="BORDER-BOTTOM: black 1pt solid; BORDER-LEFT: black 1pt solid; PADDING-BOTTOM: 0cm; PADDING-LEFT: 2.85pt; PADDING-RIGHT: 2.85pt; BORDER-TOP: #ece9d8; BORDER-RIGHT: black 1pt solid; PADDING-TOP: 0cm" valign="top">
<p align="center"><span>1.4.</span></p></td>
<td style="BORDER-BOTTOM: black 1pt solid; BORDER-LEFT: #ece9d8; PADDING-BOTTOM: 0cm; PADDING-LEFT: 2.85pt; PADDING-RIGHT: 2.85pt; BORDER-TOP: #ece9d8; BORDER-RIGHT: black 1pt solid; PADDING-TOP: 0cm" valign="top">
<p style="TEXT-INDENT: 11.55pt"><span>Наличие инструмента оценки заявителем результата получения электронных государственных услуг</span></p></td>
<td style="BORDER-BOTTOM: black 1pt solid; BORDER-LEFT: #ece9d8; PADDING-BOTTOM: 0cm; PADDING-LEFT: 2.85pt; PADDING-RIGHT: 2.85pt; BORDER-TOP: #ece9d8; BORDER-RIGHT: black 1pt solid; PADDING-TOP: 0cm" valign="top">
<p align="center"><span>5</span></p></td></tr>
<tr>
<td style="BORDER-BOTTOM: black 1pt solid; BORDER-LEFT: black 1pt solid; PADDING-BOTTOM: 0cm; PADDING-LEFT: 2.85pt; PADDING-RIGHT: 2.85pt; BORDER-TOP: #ece9d8; BORDER-RIGHT: black 1pt solid; PADDING-TOP: 0cm" valign="top">
<p align="center"><span>1.5.</span></p></td>
<td style="BORDER-BOTTOM: black 1pt solid; BORDER-LEFT: #ece9d8; PADDING-BOTTOM: 0cm; PADDING-LEFT: 2.85pt; PADDING-RIGHT: 2.85pt; BORDER-TOP: #ece9d8; BORDER-RIGHT: black 1pt solid; PADDING-TOP: 0cm" valign="top">
<p style="TEXT-INDENT: 11.55pt"><span>Степень оптимизации электронных государственных услуг</span></p></td>
<td style="BORDER-BOTTOM: black 1pt solid; BORDER-LEFT: #ece9d8; PADDING-BOTTOM: 0cm; PADDING-LEFT: 2.85pt; PADDING-RIGHT: 2.85pt; BORDER-TOP: #ece9d8; BORDER-RIGHT: black 1pt solid; PADDING-TOP: 0cm" valign="top">
<p align="center"><span>13</span></p></td></tr>
<tr>
<td style="BORDER-BOTTOM: black 1pt solid; BORDER-LEFT: black 1pt solid; PADDING-BOTTOM: 0cm; PADDING-LEFT: 2.85pt; PADDING-RIGHT: 2.85pt; BORDER-TOP: #ece9d8; BORDER-RIGHT: black 1pt solid; PADDING-TOP: 0cm" valign="top">
<p align="center"><span>1.6.</span></p></td>
<td style="BORDER-BOTTOM: black 1pt solid; BORDER-LEFT: #ece9d8; PADDING-BOTTOM: 0cm; PADDING-LEFT: 2.85pt; PADDING-RIGHT: 2.85pt; BORDER-TOP: #ece9d8; BORDER-RIGHT: black 1pt solid; PADDING-TOP: 0cm" valign="top">
<p style="TEXT-INDENT: 11.55pt"><span>Степень автоматизации электронных государственных услуг </span></p></td>
<td style="BORDER-BOTTOM: black 1pt solid; BORDER-LEFT: #ece9d8; PADDING-BOTTOM: 0cm; PADDING-LEFT: 2.85pt; PADDING-RIGHT: 2.85pt; BORDER-TOP: #ece9d8; BORDER-RIGHT: black 1pt solid; PADDING-TOP: 0cm" valign="top">
<p align="center"><span>10</span></p></td></tr>
<tr>
<td style="BORDER-BOTTOM: black 1pt solid; BORDER-LEFT: black 1pt solid; PADDING-BOTTOM: 0cm; PADDING-LEFT: 2.85pt; PADDING-RIGHT: 2.85pt; BORDER-TOP: #ece9d8; BORDER-RIGHT: black 1pt solid; PADDING-TOP: 0cm" valign="top">
<p align="center"><span>1.7.</span></p></td>
<td style="BORDER-BOTTOM: black 1pt solid; BORDER-LEFT: #ece9d8; PADDING-BOTTOM: 0cm; PADDING-LEFT: 2.85pt; PADDING-RIGHT: 2.85pt; BORDER-TOP: #ece9d8; BORDER-RIGHT: black 1pt solid; PADDING-TOP: 0cm" valign="top">
<p style="TEXT-INDENT: 11.55pt"><span>Соблюдение сроков оказания электронных государственных услуг</span></p></td>
<td style="BORDER-BOTTOM: black 1pt solid; BORDER-LEFT: #ece9d8; PADDING-BOTTOM: 0cm; PADDING-LEFT: 2.85pt; PADDING-RIGHT: 2.85pt; BORDER-TOP: #ece9d8; BORDER-RIGHT: black 1pt solid; PADDING-TOP: 0cm" valign="top">
<p align="center"><span>20</span></p></td></tr>
<tr>
<td style="BORDER-BOTTOM: black 1pt solid; BORDER-LEFT: black 1pt solid; PADDING-BOTTOM: 0cm; PADDING-LEFT: 2.85pt; PADDING-RIGHT: 2.85pt; BORDER-TOP: #ece9d8; BORDER-RIGHT: black 1pt solid; PADDING-TOP: 0cm" valign="top">
<p align="center"><span>1.8.</span></p></td>
<td style="BORDER-BOTTOM: black 1pt solid; BORDER-LEFT: #ece9d8; PADDING-BOTTOM: 0cm; PADDING-LEFT: 2.85pt; PADDING-RIGHT: 2.85pt; BORDER-TOP: #ece9d8; BORDER-RIGHT: black 1pt solid; PADDING-TOP: 0cm" valign="top">
<p style="TEXT-INDENT: 11.55pt"><span>Удовлетворение потребности пользователей в получении электронных государственных услуг</span></p></td>
<td style="BORDER-BOTTOM: black 1pt solid; BORDER-LEFT: #ece9d8; PADDING-BOTTOM: 0cm; PADDING-LEFT: 2.85pt; PADDING-RIGHT: 2.85pt; BORDER-TOP: #ece9d8; BORDER-RIGHT: black 1pt solid; PADDING-TOP: 0cm" valign="top">
<p align="center"><span>30</span></p></td></tr>
<tr>
<td style="BORDER-BOTTOM: black 1pt solid; BORDER-LEFT: black 1pt solid; PADDING-BOTTOM: 0cm; PADDING-LEFT: 2.85pt; PADDING-RIGHT: 2.85pt; BORDER-TOP: #ece9d8; BORDER-RIGHT: black 1pt solid; PADDING-TOP: 0cm" valign="top">
<p align="center"><span>1.9.</span></p></td>
<td style="BORDER-BOTTOM: black 1pt solid; BORDER-LEFT: #ece9d8; PADDING-BOTTOM: 0cm; PADDING-LEFT: 2.85pt; PADDING-RIGHT: 2.85pt; BORDER-TOP: #ece9d8; BORDER-RIGHT: black 1pt solid; PADDING-TOP: 0cm" valign="top">
<p style="TEXT-INDENT: 11.55pt"><span>Доля электронных государственных услуг, зарегистрированных в Едином реестре </span></p></td>
<td style="BORDER-BOTTOM: black 1pt solid; BORDER-LEFT: #ece9d8; PADDING-BOTTOM: 0cm; PADDING-LEFT: 2.85pt; PADDING-RIGHT: 2.85pt; BORDER-TOP: #ece9d8; BORDER-RIGHT: black 1pt solid; PADDING-TOP: 0cm" valign="top">
<p align="center"><span>2</span></p></td></tr>
<tr>
<td style="BORDER-BOTTOM: black 1pt solid; BORDER-LEFT: black 1pt solid; PADDING-BOTTOM: 0cm; PADDING-LEFT: 2.85pt; PADDING-RIGHT: 2.85pt; BORDER-TOP: #ece9d8; BORDER-RIGHT: black 1pt solid; PADDING-TOP: 0cm" colspan="2">
<p align="center"><span>Итоговый рейтинг</span></p></td>
<td style="BORDER-BOTTOM: black 1pt solid; BORDER-LEFT: #ece9d8; PADDING-BOTTOM: 0cm; PADDING-LEFT: 2.85pt; PADDING-RIGHT: 2.85pt; BORDER-TOP: #ece9d8; BORDER-RIGHT: black 1pt solid; PADDING-TOP: 0cm" valign="top">
<p align="center"><span>100</span></p></td></tr></tbody></table></div></div><div class="ACT_TEXT lx_elem" onmousemove="lx_mo(event,3049922)"><div class="lx_elem2"><div class="lx_elem3"><span onclick="lx_sf(3049922)"><img src="/img/cmt.svg" />Ҳужжатга таклиф юбориш</span><span onclick="lx_pa(3049922)"><img src="/img/vlm.svg" />Аудиони тинглаш</span><span onclick="lx_cl(3049922)"><img src="/img/lnk.svg" />Ҳужжат элементидан ҳавола олиш</span></div></div><div name="3049922" id="3049922">9. По показателю 1.1. «Наличие опубликованных регламентов электронных государственных услуг» проводится анализ регламентов электронных государственных услуг, указанных в Едином реестре. Оценка производится на предмет наличия данных утвержденных регламентов по <a href="/docs/3049875#3049923">таблице № 1</a>. </div></div><div class="BY_DEFAULT lx_elem" onmousemove="lx_mo(event,3049923)"><div class="lx_elem2"><div class="lx_elem3"><span onclick="lx_sf(3049923)"><img src="/img/cmt.svg" />Ҳужжатга таклиф юбориш</span><span onclick="lx_pa(3049923)"><img src="/img/vlm.svg" />Аудиони тинглаш</span><span onclick="lx_cl(3049923)"><img src="/img/lnk.svg" />Ҳужжат элементидан ҳавола олиш</span></div></div><div name="3049923" id="3049923"><table style="BORDER-COLLAPSE: collapse; BACKGROUND: white" border="0" cellspacing="0" cellpadding="0" width="100%">
<tbody>
<tr>
<td style="BORDER-BOTTOM: black 1pt solid; BORDER-LEFT: #ece9d8; PADDING-BOTTOM: 0cm; PADDING-LEFT: 5.4pt; PADDING-RIGHT: 1.3pt; BORDER-TOP: #ece9d8; BORDER-RIGHT: #ece9d8; PADDING-TOP: 2.6pt">
<p style="TEXT-ALIGN: center; LINE-HEIGHT: normal" align="center"><span></span></p></td>
<td style="BORDER-BOTTOM: black 1pt solid; BORDER-LEFT: #ece9d8; PADDING-BOTTOM: 0cm; PADDING-LEFT: 5.4pt; PADDING-RIGHT: 1.3pt; BORDER-TOP: #ece9d8; BORDER-RIGHT: #ece9d8; PADDING-TOP: 2.6pt">
<p style="TEXT-ALIGN: center; LINE-HEIGHT: normal" align="center"></p></td>
<td style="BORDER-BOTTOM: black 1pt solid; BORDER-LEFT: #ece9d8; PADDING-BOTTOM: 0cm; PADDING-LEFT: 5.4pt; PADDING-RIGHT: 1.3pt; BORDER-TOP: #ece9d8; BORDER-RIGHT: #ece9d8; PADDING-TOP: 2.6pt" valign="top" colspan="2">
<p style="TEXT-ALIGN: center; LINE-HEIGHT: normal" align="center"></p></td>
<td style="BORDER-BOTTOM: black 1pt solid; BORDER-LEFT: #ece9d8; PADDING-BOTTOM: 0cm; PADDING-LEFT: 5.4pt; PADDING-RIGHT: 1.3pt; BORDER-TOP: #ece9d8; BORDER-RIGHT: #ece9d8; PADDING-TOP: 2.6pt">
<p style="TEXT-ALIGN: right; LINE-HEIGHT: normal" align="right"><span style="FONT-SIZE: 11pt">Таблица № 1</span></p></td></tr>
<tr>
<td style="BORDER-BOTTOM: black 1pt solid; BORDER-LEFT: black 1pt solid; PADDING-BOTTOM: 0cm; PADDING-LEFT: 5.4pt; PADDING-RIGHT: 1.3pt; BORDER-TOP: #ece9d8; BORDER-RIGHT: black 1pt solid; PADDING-TOP: 2.6pt">
<p style="TEXT-ALIGN: center; LINE-HEIGHT: normal" align="center"><span><strong>№</strong></span></p></td>
<td style="BORDER-BOTTOM: black 1pt solid; BORDER-LEFT: #ece9d8; PADDING-BOTTOM: 0cm; PADDING-LEFT: 5.4pt; PADDING-RIGHT: 1.3pt; BORDER-TOP: #ece9d8; BORDER-RIGHT: black 1pt solid; PADDING-TOP: 2.6pt">
<p style="TEXT-ALIGN: center; LINE-HEIGHT: normal" align="center"><span><strong>Показатель</strong></span></p></td>
<td style="BORDER-BOTTOM: black 1pt solid; BORDER-LEFT: #ece9d8; PADDING-BOTTOM: 0cm; PADDING-LEFT: 5.4pt; PADDING-RIGHT: 1.3pt; BORDER-TOP: #ece9d8; BORDER-RIGHT: black 1pt solid; PADDING-TOP: 2.6pt" valign="top" colspan="2">
<p style="TEXT-ALIGN: center; LINE-HEIGHT: normal" align="center"><span><strong>Удельный вес показателя</strong></span></p></td>
<td style="BORDER-BOTTOM: black 1pt solid; BORDER-LEFT: #ece9d8; PADDING-BOTTOM: 0cm; PADDING-LEFT: 5.4pt; PADDING-RIGHT: 1.3pt; BORDER-TOP: #ece9d8; BORDER-RIGHT: black 1pt solid; PADDING-TOP: 2.6pt">
<p style="TEXT-ALIGN: center; LINE-HEIGHT: normal" align="center"><span><strong>Метод оценки</strong></span></p></td></tr>
<tr>
<td style="BORDER-BOTTOM: black 1pt solid; BORDER-LEFT: black 1pt solid; PADDING-BOTTOM: 0cm; PADDING-LEFT: 5.4pt; PADDING-RIGHT: 1.3pt; BORDER-TOP: #ece9d8; BORDER-RIGHT: black 1pt solid; PADDING-TOP: 2.6pt" rowspan="3">
<p style="TEXT-ALIGN: center; LINE-HEIGHT: normal" align="center"><span>1.1</span></p></td>
<td style="BORDER-BOTTOM: black 1pt solid; BORDER-LEFT: #ece9d8; PADDING-BOTTOM: 0cm; PADDING-LEFT: 5.4pt; PADDING-RIGHT: 1.3pt; BORDER-TOP: #ece9d8; BORDER-RIGHT: black 1pt solid; PADDING-TOP: 2.6pt" rowspan="3">
<p style="LINE-HEIGHT: normal; TEXT-INDENT: 17.95pt"><span>Наличие опубликованных регламентов электронных государственных услуг</span></p></td>
<td style="BORDER-BOTTOM: black 1pt solid; BORDER-LEFT: #ece9d8; PADDING-BOTTOM: 0cm; PADDING-LEFT: 5.4pt; PADDING-RIGHT: 1.3pt; BORDER-TOP: #ece9d8; BORDER-RIGHT: black 1pt solid; PADDING-TOP: 2.6pt" rowspan="3">
<p style="TEXT-ALIGN: center; LINE-HEIGHT: normal" align="center"><span>2</span></p></td>
<td style="BORDER-BOTTOM: black 1pt solid; BORDER-LEFT: #ece9d8; PADDING-BOTTOM: 0cm; PADDING-LEFT: 5.4pt; PADDING-RIGHT: 1.3pt; BORDER-TOP: #ece9d8; BORDER-RIGHT: black 1pt solid; PADDING-TOP: 2.6pt">
<p style="TEXT-ALIGN: center; LINE-HEIGHT: normal" align="center"><span>2</span></p></td>
<td style="BORDER-BOTTOM: black 1pt solid; BORDER-LEFT: #ece9d8; PADDING-BOTTOM: 0cm; PADDING-LEFT: 5.4pt; PADDING-RIGHT: 1.3pt; BORDER-TOP: #ece9d8; BORDER-RIGHT: black 1pt solid; PADDING-TOP: 2.6pt" valign="top">
<p style="LINE-HEIGHT: normal"><span>Опубликованы утвержденные регламенты электронных государственных услуг.</span></p></td></tr>
<tr>
<td style="BORDER-BOTTOM: black 1pt solid; BORDER-LEFT: #ece9d8; PADDING-BOTTOM: 0cm; PADDING-LEFT: 5.4pt; PADDING-RIGHT: 1.3pt; BORDER-TOP: #ece9d8; BORDER-RIGHT: black 1pt solid; PADDING-TOP: 2.6pt">
<p style="TEXT-ALIGN: center; LINE-HEIGHT: normal" align="center"><span>1</span></p></td>
<td style="BORDER-BOTTOM: black 1pt solid; BORDER-LEFT: #ece9d8; PADDING-BOTTOM: 0cm; PADDING-LEFT: 5.4pt; PADDING-RIGHT: 1.3pt; BORDER-TOP: #ece9d8; BORDER-RIGHT: black 1pt solid; PADDING-TOP: 2.6pt" valign="top">
<p style="LINE-HEIGHT: normal"><span>Имеется информация о порядке предоставления оказания электронной государственной услуги, но отсутствует утвержденный регламент.</span></p></td></tr>
<tr>
<td style="BORDER-BOTTOM: black 1pt solid; BORDER-LEFT: #ece9d8; PADDING-BOTTOM: 0cm; PADDING-LEFT: 5.4pt; PADDING-RIGHT: 1.3pt; BORDER-TOP: #ece9d8; BORDER-RIGHT: black 1pt solid; PADDING-TOP: 2.6pt">
<p style="TEXT-ALIGN: center; LINE-HEIGHT: normal" align="center"><span>0</span></p></td>
<td style="BORDER-BOTTOM: black 1pt solid; BORDER-LEFT: #ece9d8; PADDING-BOTTOM: 0cm; PADDING-LEFT: 5.4pt; PADDING-RIGHT: 1.3pt; BORDER-TOP: #ece9d8; BORDER-RIGHT: black 1pt solid; PADDING-TOP: 2.6pt" valign="top">
<p style="LINE-HEIGHT: normal"><span>Информация отсутствует.</span></p></td></tr></tbody></table></div></div><div class="ACT_TEXT lx_elem" onmousemove="lx_mo(event,3049924)"><div class="lx_elem2"><div class="lx_elem3"><span onclick="lx_sf(3049924)"><img src="/img/cmt.svg" />Ҳужжатга таклиф юбориш</span><span onclick="lx_pa(3049924)"><img src="/img/vlm.svg" />Аудиони тинглаш</span><span onclick="lx_cl(3049924)"><img src="/img/lnk.svg" />Ҳужжат элементидан ҳавола олиш</span></div></div><div name="3049924" id="3049924">10. Оценка показателя 1.1 рассчитывается по следующей формуле: </div></div><div class="TEXT_CENTER lx_elem" onmousemove="lx_mo(event,3051496)"><div class="lx_elem2"><div class="lx_elem3"><span onclick="lx_sf(3051496)"><img src="/img/cmt.svg" />Ҳужжатга таклиф юбориш</span><span onclick="lx_pa(3051496)"><img src="/img/vlm.svg" />Аудиони тинглаш</span><span onclick="lx_cl(3051496)"><img src="/img/lnk.svg" />Ҳужжат элементидан ҳавола олиш</span></div></div><div name="3051496" id="3051496"><img src="/files/3051489" /></div></div><div class="ACT_TEXT lx_elem" onmousemove="lx_mo(event,3049927)"><div class="lx_elem2"><div class="lx_elem3"><span onclick="lx_sf(3049927)"><img src="/img/cmt.svg" />Ҳужжатга таклиф юбориш</span><span onclick="lx_pa(3049927)"><img src="/img/vlm.svg" />Аудиони тинглаш</span><span onclick="lx_cl(3049927)"><img src="/img/lnk.svg" />Ҳужжат элементидан ҳавола олиш</span></div></div><div name="3049927" id="3049927">R<sub>утв</sub> — коэффициент наличия опубликованных регламентов электронных государственных услуг;</div></div><div class="ACT_TEXT lx_elem" onmousemove="lx_mo(event,3049928)"><div class="lx_elem2"><div class="lx_elem3"><span onclick="lx_sf(3049928)"><img src="/img/cmt.svg" />Ҳужжатга таклиф юбориш</span><span onclick="lx_pa(3049928)"><img src="/img/vlm.svg" />Аудиони тинглаш</span><span onclick="lx_cl(3049928)"><img src="/img/lnk.svg" />Ҳужжат элементидан ҳавола олиш</span></div></div><div name="3049928" id="3049928">n — количество всех электронных государственных услуг;</div></div><div class="ACT_TEXT lx_elem" onmousemove="lx_mo(event,3049929)"><div class="lx_elem2"><div class="lx_elem3"><span onclick="lx_sf(3049929)"><img src="/img/cmt.svg" />Ҳужжатга таклиф юбориш</span><span onclick="lx_pa(3049929)"><img src="/img/vlm.svg" />Аудиони тинглаш</span><span onclick="lx_cl(3049929)"><img src="/img/lnk.svg" />Ҳужжат элементидан ҳавола олиш</span></div></div><div name="3049929" id="3049929">i — порядковый номер услуги (от 1 до n); </div></div><div class="ACT_TEXT lx_elem" onmousemove="lx_mo(event,3049930)"><div class="lx_elem2"><div class="lx_elem3"><span onclick="lx_sf(3049930)"><img src="/img/cmt.svg" />Ҳужжатга таклиф юбориш</span><span onclick="lx_pa(3049930)"><img src="/img/vlm.svg" />Аудиони тинглаш</span><span onclick="lx_cl(3049930)"><img src="/img/lnk.svg" />Ҳужжат элементидан ҳавола олиш</span></div></div><div name="3049930" id="3049930">Y — удельный вес показателя. </div></div><div class="ACT_TEXT lx_elem" onmousemove="lx_mo(event,3049931)"><div class="lx_elem2"><div class="lx_elem3"><span onclick="lx_sf(3049931)"><img src="/img/cmt.svg" />Ҳужжатга таклиф юбориш</span><span onclick="lx_pa(3049931)"><img src="/img/vlm.svg" />Аудиони тинглаш</span><span onclick="lx_cl(3049931)"><img src="/img/lnk.svg" />Ҳужжат элементидан ҳавола олиш</span></div></div><div name="3049931" id="3049931">11. Коэффициент наличия опубликованных регламентов электронных государственных услуг оценивается путем мониторинга наличия на веб-сайте государственного органа или иной организации, утвержденных регламентов по каждой электронной государственной услуге и рассчитывается как соотношение суммы удельного веса показателя, приведенного в таблице № 1, к количеству всех электронных государственных услуг.</div></div><div class="ACT_TEXT lx_elem" onmousemove="lx_mo(event,3049932)"><div class="lx_elem2"><div class="lx_elem3"><span onclick="lx_sf(3049932)"><img src="/img/cmt.svg" />Ҳужжатга таклиф юбориш</span><span onclick="lx_pa(3049932)"><img src="/img/vlm.svg" />Аудиони тинглаш</span><span onclick="lx_cl(3049932)"><img src="/img/lnk.svg" />Ҳужжат элементидан ҳавола олиш</span></div></div><div name="3049932" id="3049932">12. По показателю 1.2. «Наличие возможности отслеживания хода оказания электронных государственных услуг» оценка производится на предмет наличия механизма отслеживания хода оказания электронных государственных услуг, предоставляемых через веб-сайт государственного органа или иной организации, по <a href="/docs/3049875#3049933">таблице № 2</a>.</div></div><div class="BY_DEFAULT lx_elem" onmousemove="lx_mo(event,3049933)"><div class="lx_elem2"><div class="lx_elem3"><span onclick="lx_sf(3049933)"><img src="/img/cmt.svg" />Ҳужжатга таклиф юбориш</span><span onclick="lx_pa(3049933)"><img src="/img/vlm.svg" />Аудиони тинглаш</span><span onclick="lx_cl(3049933)"><img src="/img/lnk.svg" />Ҳужжат элементидан ҳавола олиш</span></div></div><div name="3049933" id="3049933"><table style="BORDER-COLLAPSE: collapse; BACKGROUND: white" border="0" cellspacing="0" cellpadding="0" width="100%">
<tbody>
<tr>
<td style="BORDER-BOTTOM: black 1pt solid; BORDER-LEFT: #ece9d8; PADDING-BOTTOM: 0cm; PADDING-LEFT: 5.4pt; PADDING-RIGHT: 2.3pt; BORDER-TOP: #ece9d8; BORDER-RIGHT: #ece9d8; PADDING-TOP: 2.7pt">
<p style="TEXT-ALIGN: center; LINE-HEIGHT: normal" align="center"><span></span></p></td>
<td style="BORDER-BOTTOM: black 1pt solid; BORDER-LEFT: #ece9d8; PADDING-BOTTOM: 0cm; PADDING-LEFT: 5.4pt; PADDING-RIGHT: 2.3pt; BORDER-TOP: #ece9d8; BORDER-RIGHT: #ece9d8; PADDING-TOP: 2.7pt">
<p style="TEXT-ALIGN: center; LINE-HEIGHT: normal" align="center"></p></td>
<td style="BORDER-BOTTOM: black 1pt solid; BORDER-LEFT: #ece9d8; PADDING-BOTTOM: 0cm; PADDING-LEFT: 5.4pt; PADDING-RIGHT: 2.3pt; BORDER-TOP: #ece9d8; BORDER-RIGHT: #ece9d8; PADDING-TOP: 2.7pt" valign="top" colspan="2">
<p style="TEXT-ALIGN: center; LINE-HEIGHT: normal" align="center"></p></td>
<td style="BORDER-BOTTOM: black 1pt solid; BORDER-LEFT: #ece9d8; PADDING-BOTTOM: 0cm; PADDING-LEFT: 5.4pt; PADDING-RIGHT: 2.3pt; BORDER-TOP: #ece9d8; BORDER-RIGHT: #ece9d8; PADDING-TOP: 2.7pt">
<p style="TEXT-ALIGN: right; LINE-HEIGHT: normal" align="right"><span>Таблица № 2</span></p></td></tr>
<tr>
<td style="BORDER-BOTTOM: black 1pt solid; BORDER-LEFT: black 1pt solid; PADDING-BOTTOM: 0cm; PADDING-LEFT: 5.4pt; PADDING-RIGHT: 2.3pt; BORDER-TOP: #ece9d8; BORDER-RIGHT: black 1pt solid; PADDING-TOP: 2.7pt">
<p style="TEXT-ALIGN: center; LINE-HEIGHT: normal" align="center"><b><span>№</span></b></p></td>
<td style="BORDER-BOTTOM: black 1pt solid; BORDER-LEFT: #ece9d8; PADDING-BOTTOM: 0cm; PADDING-LEFT: 5.4pt; PADDING-RIGHT: 2.3pt; BORDER-TOP: #ece9d8; BORDER-RIGHT: black 1pt solid; PADDING-TOP: 2.7pt">
<p style="TEXT-ALIGN: center; LINE-HEIGHT: normal" align="center"><b><span>Показатель</span></b></p></td>
<td style="BORDER-BOTTOM: black 1pt solid; BORDER-LEFT: #ece9d8; PADDING-BOTTOM: 0cm; PADDING-LEFT: 5.4pt; PADDING-RIGHT: 2.3pt; BORDER-TOP: #ece9d8; BORDER-RIGHT: black 1pt solid; PADDING-TOP: 2.7pt" colspan="2">
<p style="TEXT-ALIGN: center; LINE-HEIGHT: normal" align="center"><b><span>Удельный вес показателя</span></b></p></td>
<td style="BORDER-BOTTOM: black 1pt solid; BORDER-LEFT: #ece9d8; PADDING-BOTTOM: 0cm; PADDING-LEFT: 5.4pt; PADDING-RIGHT: 2.3pt; BORDER-TOP: #ece9d8; BORDER-RIGHT: black 1pt solid; PADDING-TOP: 2.7pt">
<p style="TEXT-ALIGN: center; LINE-HEIGHT: normal" align="center"><b><span>Метод оценки</span></b></p></td></tr>
<tr>
<td style="BORDER-BOTTOM: black 1pt solid; BORDER-LEFT: black 1pt solid; PADDING-BOTTOM: 0cm; PADDING-LEFT: 5.4pt; PADDING-RIGHT: 2.3pt; BORDER-TOP: #ece9d8; BORDER-RIGHT: black 1pt solid; PADDING-TOP: 2.7pt" rowspan="4">
<p style="TEXT-ALIGN: center; LINE-HEIGHT: normal" align="center"><span>1.2</span></p></td>
<td style="BORDER-BOTTOM: black 1pt solid; BORDER-LEFT: #ece9d8; PADDING-BOTTOM: 0cm; PADDING-LEFT: 5.4pt; PADDING-RIGHT: 2.3pt; BORDER-TOP: #ece9d8; BORDER-RIGHT: black 1pt solid; PADDING-TOP: 2.7pt" rowspan="4">
<p style="LINE-HEIGHT: normal; TEXT-INDENT: 22.95pt"><span>Наличие возможности отслеживания хода оказания электронных государственных услуг </span></p></td>
<td style="BORDER-BOTTOM: black 1pt solid; BORDER-LEFT: #ece9d8; PADDING-BOTTOM: 0cm; PADDING-LEFT: 5.4pt; PADDING-RIGHT: 2.3pt; BORDER-TOP: #ece9d8; BORDER-RIGHT: black 1pt solid; PADDING-TOP: 2.7pt" rowspan="4">
<p style="TEXT-ALIGN: center; LINE-HEIGHT: normal" align="center"><span>10</span></p></td>
<td style="BORDER-BOTTOM: black 1pt solid; BORDER-LEFT: #ece9d8; PADDING-BOTTOM: 0cm; PADDING-LEFT: 5.4pt; PADDING-RIGHT: 2.3pt; BORDER-TOP: #ece9d8; BORDER-RIGHT: black 1pt solid; PADDING-TOP: 2.7pt">
<p style="TEXT-ALIGN: center; LINE-HEIGHT: normal" align="center"><span>10</span></p></td>
<td style="BORDER-BOTTOM: black 1pt solid; BORDER-LEFT: #ece9d8; PADDING-BOTTOM: 0cm; PADDING-LEFT: 5.4pt; PADDING-RIGHT: 2.3pt; BORDER-TOP: #ece9d8; BORDER-RIGHT: black 1pt solid; PADDING-TOP: 2.7pt" valign="top">
<p style="LINE-HEIGHT: normal; TEXT-INDENT: 22.95pt"><span>Имеется возможность отслеживания через Единый портал, веб-сайт, СМС-сообщения, электронную почту, единый номер телефона и/или телефон доверия/call-центр.</span></p></td></tr>
<tr>
<td style="BORDER-BOTTOM: black 1pt solid; BORDER-LEFT: #ece9d8; PADDING-BOTTOM: 0cm; PADDING-LEFT: 5.4pt; PADDING-RIGHT: 2.3pt; BORDER-TOP: #ece9d8; BORDER-RIGHT: black 1pt solid; PADDING-TOP: 2.7pt">
<p style="TEXT-ALIGN: center; LINE-HEIGHT: normal" align="center"><span>6</span></p></td>
<td style="BORDER-BOTTOM: black 1pt solid; BORDER-LEFT: #ece9d8; PADDING-BOTTOM: 0cm; PADDING-LEFT: 5.4pt; PADDING-RIGHT: 2.3pt; BORDER-TOP: #ece9d8; BORDER-RIGHT: black 1pt solid; PADDING-TOP: 2.7pt" valign="top">
<p style="LINE-HEIGHT: normal; TEXT-INDENT: 22.95pt"><span>Имеется возможность отслеживания через веб-сайт, СМС-сообщения, электронную почту, единый номер телефона и/или телефон доверия/call-центр.</span></p></td></tr>
<tr>
<td style="BORDER-BOTTOM: black 1pt solid; BORDER-LEFT: #ece9d8; PADDING-BOTTOM: 0cm; PADDING-LEFT: 5.4pt; PADDING-RIGHT: 2.3pt; BORDER-TOP: #ece9d8; BORDER-RIGHT: black 1pt solid; PADDING-TOP: 2.7pt">
<p style="TEXT-ALIGN: center; LINE-HEIGHT: normal" align="center"><span>2</span></p></td>
<td style="BORDER-BOTTOM: black 1pt solid; BORDER-LEFT: #ece9d8; PADDING-BOTTOM: 0cm; PADDING-LEFT: 5.4pt; PADDING-RIGHT: 2.3pt; BORDER-TOP: #ece9d8; BORDER-RIGHT: black 1pt solid; PADDING-TOP: 2.7pt" valign="top">
<p style="LINE-HEIGHT: normal; TEXT-INDENT: 22.95pt"><span>Имеется возможность отслеживания через единый номер телефона и/или телефон доверия/call-центр.</span></p></td></tr>
<tr>
<td style="BORDER-BOTTOM: black 1pt solid; BORDER-LEFT: #ece9d8; PADDING-BOTTOM: 0cm; PADDING-LEFT: 5.4pt; PADDING-RIGHT: 2.3pt; BORDER-TOP: #ece9d8; BORDER-RIGHT: black 1pt solid; PADDING-TOP: 2.7pt">
<p style="TEXT-ALIGN: center; LINE-HEIGHT: normal" align="center"><span>0 </span></p></td>
<td style="BORDER-BOTTOM: black 1pt solid; BORDER-LEFT: #ece9d8; PADDING-BOTTOM: 0cm; PADDING-LEFT: 5.4pt; PADDING-RIGHT: 2.3pt; BORDER-TOP: #ece9d8; BORDER-RIGHT: black 1pt solid; PADDING-TOP: 2.7pt" valign="top">
<p style="LINE-HEIGHT: normal; TEXT-INDENT: 22.95pt"><span>Возможность отслеживания отсутствует.</span></p></td></tr></tbody></table></div></div><div class="ACT_TEXT lx_elem" onmousemove="lx_mo(event,3049934)"><div class="lx_elem2"><div class="lx_elem3"><span onclick="lx_sf(3049934)"><img src="/img/cmt.svg" />Ҳужжатга таклиф юбориш</span><span onclick="lx_pa(3049934)"><img src="/img/vlm.svg" />Аудиони тинглаш</span><span onclick="lx_cl(3049934)"><img src="/img/lnk.svg" />Ҳужжат элементидан ҳавола олиш</span></div></div><div name="3049934" id="3049934">13. Оценка показателя 1.2 рассчитывается по следующей формуле: </div></div><div class="TEXT_CENTER lx_elem" onmousemove="lx_mo(event,3049935)"><div class="lx_elem2"><div class="lx_elem3"><span onclick="lx_sf(3049935)"><img src="/img/cmt.svg" />Ҳужжатга таклиф юбориш</span><span onclick="lx_pa(3049935)"><img src="/img/vlm.svg" />Аудиони тинглаш</span><span onclick="lx_cl(3049935)"><img src="/img/lnk.svg" />Ҳужжат элементидан ҳавола олиш</span></div></div><div name="3049935" id="3049935"><img src="/files/3051036" /></div></div><div class="ACT_TEXT lx_elem" onmousemove="lx_mo(event,3049936)"><div class="lx_elem2"><div class="lx_elem3"><span onclick="lx_sf(3049936)"><img src="/img/cmt.svg" />Ҳужжатга таклиф юбориш</span><span onclick="lx_pa(3049936)"><img src="/img/vlm.svg" />Аудиони тинглаш</span><span onclick="lx_cl(3049936)"><img src="/img/lnk.svg" />Ҳужжат элементидан ҳавола олиш</span></div></div><div name="3049936" id="3049936">Z<sub>ход</sub> — коэффициент наличия возможности отслеживания хода оказания электронных государственных услуг; </div></div><div class="ACT_TEXT lx_elem" onmousemove="lx_mo(event,3049937)"><div class="lx_elem2"><div class="lx_elem3"><span onclick="lx_sf(3049937)"><img src="/img/cmt.svg" />Ҳужжатга таклиф юбориш</span><span onclick="lx_pa(3049937)"><img src="/img/vlm.svg" />Аудиони тинглаш</span><span onclick="lx_cl(3049937)"><img src="/img/lnk.svg" />Ҳужжат элементидан ҳавола олиш</span></div></div><div name="3049937" id="3049937">n — количество всех электронных государственных услуг; </div></div><div class="ACT_TEXT lx_elem" onmousemove="lx_mo(event,3049938)"><div class="lx_elem2"><div class="lx_elem3"><span onclick="lx_sf(3049938)"><img src="/img/cmt.svg" />Ҳужжатга таклиф юбориш</span><span onclick="lx_pa(3049938)"><img src="/img/vlm.svg" />Аудиони тинглаш</span><span onclick="lx_cl(3049938)"><img src="/img/lnk.svg" />Ҳужжат элементидан ҳавола олиш</span></div></div><div name="3049938" id="3049938">i — порядковый номер услуги (от 1 до n); </div></div><div class="ACT_TEXT lx_elem" onmousemove="lx_mo(event,3049939)"><div class="lx_elem2"><div class="lx_elem3"><span onclick="lx_sf(3049939)"><img src="/img/cmt.svg" />Ҳужжатга таклиф юбориш</span><span onclick="lx_pa(3049939)"><img src="/img/vlm.svg" />Аудиони тинглаш</span><span onclick="lx_cl(3049939)"><img src="/img/lnk.svg" />Ҳужжат элементидан ҳавола олиш</span></div></div><div name="3049939" id="3049939">Y — удельный вес показателя. </div></div><div class="ACT_TEXT lx_elem" onmousemove="lx_mo(event,3049940)"><div class="lx_elem2"><div class="lx_elem3"><span onclick="lx_sf(3049940)"><img src="/img/cmt.svg" />Ҳужжатга таклиф юбориш</span><span onclick="lx_pa(3049940)"><img src="/img/vlm.svg" />Аудиони тинглаш</span><span onclick="lx_cl(3049940)"><img src="/img/lnk.svg" />Ҳужжат элементидан ҳавола олиш</span></div></div><div name="3049940" id="3049940">14. Коэффициент наличия возможности отслеживания хода оказания электронных государственных услуг определяется путем мониторинга наличия функции отслеживания и рассчитывается как соотношение суммы удельного веса показателя к количеству всех электронных государственных услуг.</div></div><div class="ACT_TEXT lx_elem" onmousemove="lx_mo(event,3049941)"><div class="lx_elem2"><div class="lx_elem3"><span onclick="lx_sf(3049941)"><img src="/img/cmt.svg" />Ҳужжатга таклиф юбориш</span><span onclick="lx_pa(3049941)"><img src="/img/vlm.svg" />Аудиони тинглаш</span><span onclick="lx_cl(3049941)"><img src="/img/lnk.svg" />Ҳужжат элементидан ҳавола олиш</span></div></div><div name="3049941" id="3049941">15. По показателю 1.3. «Проведение онлайн-опросов по совершенствованию электронных государственных услуг» оценка производится на предмет проведения онлайн-опросов в целях совершенствования порядка и качества предоставления электронных государственных услуг, внедренных на веб-сайте государственного органа или иной организации, по <a href="/docs/3049875#3049942">таблице № 3</a>.</div></div><div class="BY_DEFAULT lx_elem" onmousemove="lx_mo(event,3049942)"><div class="lx_elem2"><div class="lx_elem3"><span onclick="lx_sf(3049942)"><img src="/img/cmt.svg" />Ҳужжатга таклиф юбориш</span><span onclick="lx_pa(3049942)"><img src="/img/vlm.svg" />Аудиони тинглаш</span><span onclick="lx_cl(3049942)"><img src="/img/lnk.svg" />Ҳужжат элементидан ҳавола олиш</span></div></div><div name="3049942" id="3049942"><table style="BORDER-COLLAPSE: collapse; BACKGROUND: white" border="0" cellspacing="0" cellpadding="0" width="100%">
<tbody>
<tr>
<td style="BORDER-BOTTOM: black 1pt solid; BORDER-LEFT: #ece9d8; PADDING-BOTTOM: 0cm; PADDING-LEFT: 5.4pt; PADDING-RIGHT: 2.3pt; BORDER-TOP: #ece9d8; BORDER-RIGHT: #ece9d8; PADDING-TOP: 2.7pt">
<p style="TEXT-ALIGN: center; LINE-HEIGHT: normal" align="center"><span></span></p></td>
<td style="BORDER-BOTTOM: black 1pt solid; BORDER-LEFT: #ece9d8; PADDING-BOTTOM: 0cm; PADDING-LEFT: 5.4pt; PADDING-RIGHT: 2.3pt; BORDER-TOP: #ece9d8; BORDER-RIGHT: #ece9d8; PADDING-TOP: 2.7pt">
<p style="TEXT-ALIGN: center; LINE-HEIGHT: normal" align="center"></p></td>
<td style="BORDER-BOTTOM: black 1pt solid; BORDER-LEFT: #ece9d8; PADDING-BOTTOM: 0cm; PADDING-LEFT: 5.4pt; PADDING-RIGHT: 2.3pt; BORDER-TOP: #ece9d8; BORDER-RIGHT: #ece9d8; PADDING-TOP: 2.7pt" valign="top" colspan="2">
<p style="TEXT-ALIGN: center; LINE-HEIGHT: normal" align="center"></p></td>
<td style="BORDER-BOTTOM: black 1pt solid; BORDER-LEFT: #ece9d8; PADDING-BOTTOM: 0cm; PADDING-LEFT: 5.4pt; PADDING-RIGHT: 2.3pt; BORDER-TOP: #ece9d8; BORDER-RIGHT: #ece9d8; PADDING-TOP: 2.7pt">
<p style="TEXT-ALIGN: right; LINE-HEIGHT: normal" align="right"><span>Таблица № 3</span></p></td></tr>
<tr>
<td style="BORDER-BOTTOM: black 1pt solid; BORDER-LEFT: black 1pt solid; PADDING-BOTTOM: 0cm; PADDING-LEFT: 5.4pt; PADDING-RIGHT: 2.3pt; BORDER-TOP: #ece9d8; BORDER-RIGHT: black 1pt solid; PADDING-TOP: 2.7pt">
<p style="TEXT-ALIGN: center; LINE-HEIGHT: normal" align="center"><span><strong>№</strong></span></p></td>
<td style="BORDER-BOTTOM: black 1pt solid; BORDER-LEFT: #ece9d8; PADDING-BOTTOM: 0cm; PADDING-LEFT: 5.4pt; PADDING-RIGHT: 2.3pt; BORDER-TOP: #ece9d8; BORDER-RIGHT: black 1pt solid; PADDING-TOP: 2.7pt">
<p style="TEXT-ALIGN: center; LINE-HEIGHT: normal" align="center"><span><strong>Показатель </strong></span></p></td>
<td style="BORDER-BOTTOM: black 1pt solid; BORDER-LEFT: #ece9d8; PADDING-BOTTOM: 0cm; PADDING-LEFT: 5.4pt; PADDING-RIGHT: 2.3pt; BORDER-TOP: #ece9d8; BORDER-RIGHT: black 1pt solid; PADDING-TOP: 2.7pt" valign="top" colspan="2">
<p style="TEXT-ALIGN: center; LINE-HEIGHT: normal" align="center"><span><strong>Удельный вес показателя</strong></span></p></td>
<td style="BORDER-BOTTOM: black 1pt solid; BORDER-LEFT: #ece9d8; PADDING-BOTTOM: 0cm; PADDING-LEFT: 5.4pt; PADDING-RIGHT: 2.3pt; BORDER-TOP: #ece9d8; BORDER-RIGHT: black 1pt solid; PADDING-TOP: 2.7pt">
<p style="TEXT-ALIGN: center; LINE-HEIGHT: normal" align="center"><span><strong>Метод оценки </strong></span></p></td></tr>
<tr>
<td style="BORDER-BOTTOM: black 1pt solid; BORDER-LEFT: black 1pt solid; PADDING-BOTTOM: 0cm; PADDING-LEFT: 5.4pt; PADDING-RIGHT: 2.3pt; BORDER-TOP: #ece9d8; BORDER-RIGHT: black 1pt solid; PADDING-TOP: 2.7pt" rowspan="4">
<p style="TEXT-ALIGN: center; LINE-HEIGHT: normal" align="center"><span>1.3</span></p></td>
<td style="BORDER-BOTTOM: black 1pt solid; BORDER-LEFT: #ece9d8; PADDING-BOTTOM: 0cm; PADDING-LEFT: 5.4pt; PADDING-RIGHT: 2.3pt; BORDER-TOP: #ece9d8; BORDER-RIGHT: black 1pt solid; PADDING-TOP: 2.7pt" rowspan="4">
<p style="LINE-HEIGHT: normal; TEXT-INDENT: 17.95pt"><span>Проведение онлайн-опросов по совершенствованию электронных государственных услуг</span></p></td>
<td style="BORDER-BOTTOM: black 1pt solid; BORDER-LEFT: #ece9d8; PADDING-BOTTOM: 0cm; PADDING-LEFT: 5.4pt; PADDING-RIGHT: 2.3pt; BORDER-TOP: #ece9d8; BORDER-RIGHT: black 1pt solid; PADDING-TOP: 2.7pt" rowspan="4">
<p style="TEXT-ALIGN: center; LINE-HEIGHT: normal" align="center"><span>8</span></p></td>
<td style="BORDER-BOTTOM: black 1pt solid; BORDER-LEFT: #ece9d8; PADDING-BOTTOM: 0cm; PADDING-LEFT: 5.4pt; PADDING-RIGHT: 2.3pt; BORDER-TOP: #ece9d8; BORDER-RIGHT: black 1pt solid; PADDING-TOP: 2.7pt">
<p style="TEXT-ALIGN: center; LINE-HEIGHT: normal" align="center"><span>8</span></p></td>
<td style="BORDER-BOTTOM: black 1pt solid; BORDER-LEFT: #ece9d8; PADDING-BOTTOM: 0cm; PADDING-LEFT: 5.4pt; PADDING-RIGHT: 2.3pt; BORDER-TOP: #ece9d8; BORDER-RIGHT: black 1pt solid; PADDING-TOP: 2.7pt" valign="top">
<p style="LINE-HEIGHT: normal; TEXT-INDENT: 15.85pt"><span>Онлайн-опросы проводятся и обновляются не реже одного раза в месяц (не менее 3 опросов), а также публикуются их результаты.</span></p></td></tr>
<tr>
<td style="BORDER-BOTTOM: black 1pt solid; BORDER-LEFT: #ece9d8; PADDING-BOTTOM: 0cm; PADDING-LEFT: 5.4pt; PADDING-RIGHT: 2.3pt; BORDER-TOP: #ece9d8; BORDER-RIGHT: black 1pt solid; PADDING-TOP: 2.7pt">
<p style="TEXT-ALIGN: center; LINE-HEIGHT: normal" align="center"><span>4</span></p></td>
<td style="BORDER-BOTTOM: black 1pt solid; BORDER-LEFT: #ece9d8; PADDING-BOTTOM: 0cm; PADDING-LEFT: 5.4pt; PADDING-RIGHT: 2.3pt; BORDER-TOP: #ece9d8; BORDER-RIGHT: black 1pt solid; PADDING-TOP: 2.7pt" valign="top">
<p style="LINE-HEIGHT: normal; TEXT-INDENT: 15.85pt"><span>Онлайн-опросы проводятся и обновляются не реже одного раза в квартале (не менее 3 опросов), но их результаты не публикуются.</span></p></td></tr>
<tr>
<td style="BORDER-BOTTOM: black 1pt solid; BORDER-LEFT: #ece9d8; PADDING-BOTTOM: 0cm; PADDING-LEFT: 5.4pt; PADDING-RIGHT: 2.3pt; BORDER-TOP: #ece9d8; BORDER-RIGHT: black 1pt solid; PADDING-TOP: 2.7pt">
<p style="TEXT-ALIGN: center; LINE-HEIGHT: normal" align="center"><span>2</span></p></td>
<td style="BORDER-BOTTOM: black 1pt solid; BORDER-LEFT: #ece9d8; PADDING-BOTTOM: 0cm; PADDING-LEFT: 5.4pt; PADDING-RIGHT: 2.3pt; BORDER-TOP: #ece9d8; BORDER-RIGHT: black 1pt solid; PADDING-TOP: 2.7pt" valign="top">
<p style="LINE-HEIGHT: normal; TEXT-INDENT: 15.85pt"><span>Онлайн-опросы проводятся и обновляются не реже одного раза в год (не менее 3 опросов), но их результаты не публикуются.</span></p></td></tr>
<tr>
<td style="BORDER-BOTTOM: black 1pt solid; BORDER-LEFT: #ece9d8; PADDING-BOTTOM: 0cm; PADDING-LEFT: 5.4pt; PADDING-RIGHT: 2.3pt; BORDER-TOP: #ece9d8; BORDER-RIGHT: black 1pt solid; PADDING-TOP: 2.7pt">
<p style="TEXT-ALIGN: center; LINE-HEIGHT: normal" align="center"><span>0</span></p></td>
<td style="BORDER-BOTTOM: black 1pt solid; BORDER-LEFT: #ece9d8; PADDING-BOTTOM: 0cm; PADDING-LEFT: 5.4pt; PADDING-RIGHT: 2.3pt; BORDER-TOP: #ece9d8; BORDER-RIGHT: black 1pt solid; PADDING-TOP: 2.7pt" valign="top">
<p style="LINE-HEIGHT: normal; TEXT-INDENT: 15.85pt"><span>В год проводятся не более трех онлайн-опросов.</span></p></td></tr></tbody></table></div></div><div class="ACT_TEXT lx_elem" onmousemove="lx_mo(event,3049943)"><div class="lx_elem2"><div class="lx_elem3"><span onclick="lx_sf(3049943)"><img src="/img/cmt.svg" />Ҳужжатга таклиф юбориш</span><span onclick="lx_pa(3049943)"><img src="/img/vlm.svg" />Аудиони тинглаш</span><span onclick="lx_cl(3049943)"><img src="/img/lnk.svg" />Ҳужжат элементидан ҳавола олиш</span></div></div><div name="3049943" id="3049943">16. По показателю 1.4. «Наличие инструмента оценки заявителем результата получения электронных государственных услуг» оценка производится на предмет наличия инструмента оценки заявителем результата получения электронных государственных услуг, предоставляемых через веб-сайт государственного органа или иной организации, по <a href="/docs/3049875#3049944">таблице № 4</a>.</div></div><div class="BY_DEFAULT lx_elem" onmousemove="lx_mo(event,3049944)"><div class="lx_elem2"><div class="lx_elem3"><span onclick="lx_sf(3049944)"><img src="/img/cmt.svg" />Ҳужжатга таклиф юбориш</span><span onclick="lx_pa(3049944)"><img src="/img/vlm.svg" />Аудиони тинглаш</span><span onclick="lx_cl(3049944)"><img src="/img/lnk.svg" />Ҳужжат элементидан ҳавола олиш</span></div></div><div name="3049944" id="3049944"><table style="BORDER-COLLAPSE: collapse; BACKGROUND: white" border="0" cellspacing="0" cellpadding="0" width="100%">
<tbody>
<tr>
<td style="BORDER-BOTTOM: black 1pt solid; BORDER-LEFT: #ece9d8; PADDING-BOTTOM: 0cm; PADDING-LEFT: 5.4pt; PADDING-RIGHT: 2.3pt; BORDER-TOP: #ece9d8; BORDER-RIGHT: #ece9d8; PADDING-TOP: 2.6pt">
<p style="TEXT-ALIGN: left; LINE-HEIGHT: normal" align="left"><span></span></p></td>
<td style="BORDER-BOTTOM: black 1pt solid; BORDER-LEFT: #ece9d8; PADDING-BOTTOM: 0cm; PADDING-LEFT: 5.4pt; PADDING-RIGHT: 2.3pt; BORDER-TOP: #ece9d8; BORDER-RIGHT: #ece9d8; PADDING-TOP: 2.6pt">
<p style="TEXT-ALIGN: center; LINE-HEIGHT: normal" align="center"></p></td>
<td style="BORDER-BOTTOM: black 1pt solid; BORDER-LEFT: #ece9d8; PADDING-BOTTOM: 0cm; PADDING-LEFT: 5.4pt; PADDING-RIGHT: 2.3pt; BORDER-TOP: #ece9d8; BORDER-RIGHT: #ece9d8; PADDING-TOP: 2.6pt" valign="top" colspan="2">
<p style="TEXT-ALIGN: center; LINE-HEIGHT: normal" align="center"></p></td>
<td style="BORDER-BOTTOM: black 1pt solid; BORDER-LEFT: #ece9d8; PADDING-BOTTOM: 0cm; PADDING-LEFT: 5.4pt; PADDING-RIGHT: 2.3pt; BORDER-TOP: #ece9d8; BORDER-RIGHT: #ece9d8; PADDING-TOP: 2.6pt">
<p style="TEXT-ALIGN: right; LINE-HEIGHT: normal" align="right"><span>Таблица № 4</span></p></td></tr>
<tr>
<td style="BORDER-BOTTOM: black 1pt solid; BORDER-LEFT: black 1pt solid; PADDING-BOTTOM: 0cm; PADDING-LEFT: 5.4pt; PADDING-RIGHT: 2.3pt; BORDER-TOP: #ece9d8; BORDER-RIGHT: black 1pt solid; PADDING-TOP: 2.6pt">
<p style="TEXT-ALIGN: center; LINE-HEIGHT: normal" align="center"><b><span>№</span></b></p></td>
<td style="BORDER-BOTTOM: black 1pt solid; BORDER-LEFT: #ece9d8; PADDING-BOTTOM: 0cm; PADDING-LEFT: 5.4pt; PADDING-RIGHT: 2.3pt; BORDER-TOP: #ece9d8; BORDER-RIGHT: black 1pt solid; PADDING-TOP: 2.6pt">
<p style="TEXT-ALIGN: center; LINE-HEIGHT: normal" align="center"><b><span>Показатель</span></b></p></td>
<td style="BORDER-BOTTOM: black 1pt solid; BORDER-LEFT: #ece9d8; PADDING-BOTTOM: 0cm; PADDING-LEFT: 5.4pt; PADDING-RIGHT: 2.3pt; BORDER-TOP: #ece9d8; BORDER-RIGHT: black 1pt solid; PADDING-TOP: 2.6pt" colspan="2">
<p style="TEXT-ALIGN: center; LINE-HEIGHT: normal" align="center"><b><span>Удельный вес показателя</span></b></p></td>
<td style="BORDER-BOTTOM: black 1pt solid; BORDER-LEFT: #ece9d8; PADDING-BOTTOM: 0cm; PADDING-LEFT: 5.4pt; PADDING-RIGHT: 2.3pt; BORDER-TOP: #ece9d8; BORDER-RIGHT: black 1pt solid; PADDING-TOP: 2.6pt">
<p style="TEXT-ALIGN: center; LINE-HEIGHT: normal" align="center"><b><span>Метод оценки</span></b></p></td></tr>
<tr>
<td style="BORDER-BOTTOM: black 1pt solid; BORDER-LEFT: black 1pt solid; PADDING-BOTTOM: 0cm; PADDING-LEFT: 5.4pt; PADDING-RIGHT: 2.3pt; BORDER-TOP: #ece9d8; BORDER-RIGHT: black 1pt solid; PADDING-TOP: 2.6pt" rowspan="3">
<p style="TEXT-ALIGN: center; LINE-HEIGHT: normal" align="center"><span>1.4</span></p></td>
<td style="BORDER-BOTTOM: black 1pt solid; BORDER-LEFT: #ece9d8; PADDING-BOTTOM: 0cm; PADDING-LEFT: 5.4pt; PADDING-RIGHT: 2.3pt; BORDER-TOP: #ece9d8; BORDER-RIGHT: black 1pt solid; PADDING-TOP: 2.6pt" rowspan="3">
<p style="LINE-HEIGHT: normal; TEXT-INDENT: 22.95pt"><span>Наличие инструмента оценки заявителем результата получения электронных государственных услуг</span></p></td>
<td style="BORDER-BOTTOM: black 1pt solid; BORDER-LEFT: #ece9d8; PADDING-BOTTOM: 0cm; PADDING-LEFT: 5.4pt; PADDING-RIGHT: 2.3pt; BORDER-TOP: #ece9d8; BORDER-RIGHT: black 1pt solid; PADDING-TOP: 2.6pt" rowspan="3">
<p style="TEXT-ALIGN: center; LINE-HEIGHT: normal" align="center"><span>5</span></p></td>
<td style="BORDER-BOTTOM: black 1pt solid; BORDER-LEFT: #ece9d8; PADDING-BOTTOM: 0cm; PADDING-LEFT: 5.4pt; PADDING-RIGHT: 2.3pt; BORDER-TOP: #ece9d8; BORDER-RIGHT: black 1pt solid; PADDING-TOP: 2.6pt">
<p style="TEXT-ALIGN: center; LINE-HEIGHT: normal" align="center"><span>5</span></p></td>
<td style="BORDER-BOTTOM: black 1pt solid; BORDER-LEFT: #ece9d8; PADDING-BOTTOM: 0cm; PADDING-LEFT: 5.4pt; PADDING-RIGHT: 2.3pt; BORDER-TOP: #ece9d8; BORDER-RIGHT: black 1pt solid; PADDING-TOP: 2.6pt" valign="top">
<p style="LINE-HEIGHT: normal; TEXT-INDENT: 15.9pt"><span>Имеется и функционирует инструмент оценки.</span></p></td></tr>
<tr>
<td style="BORDER-BOTTOM: black 1pt solid; BORDER-LEFT: #ece9d8; PADDING-BOTTOM: 0cm; PADDING-LEFT: 5.4pt; PADDING-RIGHT: 2.3pt; BORDER-TOP: #ece9d8; BORDER-RIGHT: black 1pt solid; PADDING-TOP: 2.6pt">
<p style="TEXT-ALIGN: center; LINE-HEIGHT: normal" align="center"><span>1</span></p></td>
<td style="BORDER-BOTTOM: black 1pt solid; BORDER-LEFT: #ece9d8; PADDING-BOTTOM: 0cm; PADDING-LEFT: 5.4pt; PADDING-RIGHT: 2.3pt; BORDER-TOP: #ece9d8; BORDER-RIGHT: black 1pt solid; PADDING-TOP: 2.6pt" valign="top">
<p style="LINE-HEIGHT: normal; TEXT-INDENT: 15.9pt"><span>Имеется инструмент, но не функционирует. </span></p></td></tr>
<tr>
<td style="BORDER-BOTTOM: black 1pt solid; BORDER-LEFT: #ece9d8; PADDING-BOTTOM: 0cm; PADDING-LEFT: 5.4pt; PADDING-RIGHT: 2.3pt; BORDER-TOP: #ece9d8; BORDER-RIGHT: black 1pt solid; PADDING-TOP: 2.6pt" valign="top">
<p style="TEXT-ALIGN: center; LINE-HEIGHT: normal" align="center"><span>0</span></p></td>
<td style="BORDER-BOTTOM: black 1pt solid; BORDER-LEFT: #ece9d8; PADDING-BOTTOM: 0cm; PADDING-LEFT: 5.4pt; PADDING-RIGHT: 2.3pt; BORDER-TOP: #ece9d8; BORDER-RIGHT: black 1pt solid; PADDING-TOP: 2.6pt" valign="top">
<p style="TEXT-ALIGN: left; LINE-HEIGHT: normal; TEXT-INDENT: 15.9pt" align="left"><span>Инструмент отсутствует.</span></p></td></tr></tbody></table></div></div><div class="ACT_TEXT lx_elem" onmousemove="lx_mo(event,3049945)"><div class="lx_elem2"><div class="lx_elem3"><span onclick="lx_sf(3049945)"><img src="/img/cmt.svg" />Ҳужжатга таклиф юбориш</span><span onclick="lx_pa(3049945)"><img src="/img/vlm.svg" />Аудиони тинглаш</span><span onclick="lx_cl(3049945)"><img src="/img/lnk.svg" />Ҳужжат элементидан ҳавола олиш</span></div></div><div name="3049945" id="3049945">17. Оценка показателя 1.4 рассчитывается по следующей формуле: </div></div><div class="TEXT_CENTER lx_elem" onmousemove="lx_mo(event,3049946)"><div class="lx_elem2"><div class="lx_elem3"><span onclick="lx_sf(3049946)"><img src="/img/cmt.svg" />Ҳужжатга таклиф юбориш</span><span onclick="lx_pa(3049946)"><img src="/img/vlm.svg" />Аудиони тинглаш</span><span onclick="lx_cl(3049946)"><img src="/img/lnk.svg" />Ҳужжат элементидан ҳавола олиш</span></div></div><div name="3049946" id="3049946"><img src="/files/3051038" /></div></div><div class="ACT_TEXT lx_elem" onmousemove="lx_mo(event,3049947)"><div class="lx_elem2"><div class="lx_elem3"><span onclick="lx_sf(3049947)"><img src="/img/cmt.svg" />Ҳужжатга таклиф юбориш</span><span onclick="lx_pa(3049947)"><img src="/img/vlm.svg" />Аудиони тинглаш</span><span onclick="lx_cl(3049947)"><img src="/img/lnk.svg" />Ҳужжат элементидан ҳавола олиш</span></div></div><div name="3049947" id="3049947">Z<sub>рез</sub> — коэффициент наличия инструмента оценки заявителем результата получения электронных государственных услуг; </div></div><div class="ACT_TEXT lx_elem" onmousemove="lx_mo(event,3049948)"><div class="lx_elem2"><div class="lx_elem3"><span onclick="lx_sf(3049948)"><img src="/img/cmt.svg" />Ҳужжатга таклиф юбориш</span><span onclick="lx_pa(3049948)"><img src="/img/vlm.svg" />Аудиони тинглаш</span><span onclick="lx_cl(3049948)"><img src="/img/lnk.svg" />Ҳужжат элементидан ҳавола олиш</span></div></div><div name="3049948" id="3049948">n — количество всех электронных государственных услуг;</div></div><div class="ACT_TEXT lx_elem" onmousemove="lx_mo(event,3049949)"><div class="lx_elem2"><div class="lx_elem3"><span onclick="lx_sf(3049949)"><img src="/img/cmt.svg" />Ҳужжатга таклиф юбориш</span><span onclick="lx_pa(3049949)"><img src="/img/vlm.svg" />Аудиони тинглаш</span><span onclick="lx_cl(3049949)"><img src="/img/lnk.svg" />Ҳужжат элементидан ҳавола олиш</span></div></div><div name="3049949" id="3049949">i — порядковый номер услуги (от 1 до n);</div></div><div class="ACT_TEXT lx_elem" onmousemove="lx_mo(event,3049950)"><div class="lx_elem2"><div class="lx_elem3"><span onclick="lx_sf(3049950)"><img src="/img/cmt.svg" />Ҳужжатга таклиф юбориш</span><span onclick="lx_pa(3049950)"><img src="/img/vlm.svg" />Аудиони тинглаш</span><span onclick="lx_cl(3049950)"><img src="/img/lnk.svg" />Ҳужжат элементидан ҳавола олиш</span></div></div><div name="3049950" id="3049950">Y — удельный вес показателя. </div></div><div class="ACT_TEXT lx_elem" onmousemove="lx_mo(event,3049951)"><div class="lx_elem2"><div class="lx_elem3"><span onclick="lx_sf(3049951)"><img src="/img/cmt.svg" />Ҳужжатга таклиф юбориш</span><span onclick="lx_pa(3049951)"><img src="/img/vlm.svg" />Аудиони тинглаш</span><span onclick="lx_cl(3049951)"><img src="/img/lnk.svg" />Ҳужжат элементидан ҳавола олиш</span></div></div><div name="3049951" id="3049951">18. Коэффициент наличия инструмента оценки заявителем результата получения электронных государственных услуг определяется путем мониторинга наличия данного инструмента и рассчитывается как соотношение суммы удельного веса показателя к количеству всех электронных государственных услуг.</div></div><div class="ACT_TEXT lx_elem" onmousemove="lx_mo(event,3049952)"><div class="lx_elem2"><div class="lx_elem3"><span onclick="lx_sf(3049952)"><img src="/img/cmt.svg" />Ҳужжатга таклиф юбориш</span><span onclick="lx_pa(3049952)"><img src="/img/vlm.svg" />Аудиони тинглаш</span><span onclick="lx_cl(3049952)"><img src="/img/lnk.svg" />Ҳужжат элементидан ҳавола олиш</span></div></div><div name="3049952" id="3049952">19. По показателю 1.5. «Степень оптимизации электронных государственных услуг» оценка производится на основе анализа утвержденных регламентов электронных государственных услуг, указанных в Едином реестре. </div></div><div class="ACT_TEXT lx_elem" onmousemove="lx_mo(event,3049953)"><div class="lx_elem2"><div class="lx_elem3"><span onclick="lx_sf(3049953)"><img src="/img/cmt.svg" />Ҳужжатга таклиф юбориш</span><span onclick="lx_pa(3049953)"><img src="/img/vlm.svg" />Аудиони тинглаш</span><span onclick="lx_cl(3049953)"><img src="/img/lnk.svg" />Ҳужжат элементидан ҳавола олиш</span></div></div><div name="3049953" id="3049953">20. Оценка показателя 1.5 рассчитывается по следующей формуле: </div></div><div class="TEXT_CENTER lx_elem" onmousemove="lx_mo(event,3049954)"><div class="lx_elem2"><div class="lx_elem3"><span onclick="lx_sf(3049954)"><img src="/img/cmt.svg" />Ҳужжатга таклиф юбориш</span><span onclick="lx_pa(3049954)"><img src="/img/vlm.svg" />Аудиони тинглаш</span><span onclick="lx_cl(3049954)"><img src="/img/lnk.svg" />Ҳужжат элементидан ҳавола олиш</span></div></div><div name="3049954" id="3049954"><img src="/files/3051039" /></div></div><div class="ACT_TEXT lx_elem" onmousemove="lx_mo(event,3049955)"><div class="lx_elem2"><div class="lx_elem3"><span onclick="lx_sf(3049955)"><img src="/img/cmt.svg" />Ҳужжатга таклиф юбориш</span><span onclick="lx_pa(3049955)"><img src="/img/vlm.svg" />Аудиони тинглаш</span><span onclick="lx_cl(3049955)"><img src="/img/lnk.svg" />Ҳужжат элементидан ҳавола олиш</span></div></div><div name="3049955" id="3049955">K<sub>опт</sub> — коэффициент степени оптимизации электронных государственных услуг; </div></div><div class="ACT_TEXT lx_elem" onmousemove="lx_mo(event,3049956)"><div class="lx_elem2"><div class="lx_elem3"><span onclick="lx_sf(3049956)"><img src="/img/cmt.svg" />Ҳужжатга таклиф юбориш</span><span onclick="lx_pa(3049956)"><img src="/img/vlm.svg" />Аудиони тинглаш</span><span onclick="lx_cl(3049956)"><img src="/img/lnk.svg" />Ҳужжат элементидан ҳавола олиш</span></div></div><div name="3049956" id="3049956">S — количество измененных регламентов электронных государственных услуг, в которых сокращены сроки оказания услуг и/или количество необходимых документов, требуемых для осуществления услуги и/или стоимость оказания услуг по состоянию на конец отчетного периода; </div></div><div class="ACT_TEXT lx_elem" onmousemove="lx_mo(event,3049957)"><div class="lx_elem2"><div class="lx_elem3"><span onclick="lx_sf(3049957)"><img src="/img/cmt.svg" />Ҳужжатга таклиф юбориш</span><span onclick="lx_pa(3049957)"><img src="/img/vlm.svg" />Аудиони тинглаш</span><span onclick="lx_cl(3049957)"><img src="/img/lnk.svg" />Ҳужжат элементидан ҳавола олиш</span></div></div><div name="3049957" id="3049957">R — общее количество регламентов электронных государственных услуг. </div></div><div class="ACT_TEXT lx_elem" onmousemove="lx_mo(event,3049958)"><div class="lx_elem2"><div class="lx_elem3"><span onclick="lx_sf(3049958)"><img src="/img/cmt.svg" />Ҳужжатга таклиф юбориш</span><span onclick="lx_pa(3049958)"><img src="/img/vlm.svg" />Аудиони тинглаш</span><span onclick="lx_cl(3049958)"><img src="/img/lnk.svg" />Ҳужжат элементидан ҳавола олиш</span></div></div><div name="3049958" id="3049958">Y — удельный вес показателя.</div></div><div class="ACT_TEXT lx_elem" onmousemove="lx_mo(event,3049959)"><div class="lx_elem2"><div class="lx_elem3"><span onclick="lx_sf(3049959)"><img src="/img/cmt.svg" />Ҳужжатга таклиф юбориш</span><span onclick="lx_pa(3049959)"><img src="/img/vlm.svg" />Аудиони тинглаш</span><span onclick="lx_cl(3049959)"><img src="/img/lnk.svg" />Ҳужжат элементидан ҳавола олиш</span></div></div><div name="3049959" id="3049959">21. Коэффициент степени оптимизации электронных государственных услуг рассчитывается как соотношение количества измененных регламентов электронных государственных услуг, в которых сокращены сроки оказания услуг и/или количество необходимых документов, требуемых для осуществления услуги, и/или стоимость оказания услуг по состоянию на конец отчетного периода, к общему количеству регламентов электронных государственных услуг, умноженное на удельный вес показателя.</div></div><div class="ACT_TEXT lx_elem" onmousemove="lx_mo(event,3049960)"><div class="lx_elem2"><div class="lx_elem3"><span onclick="lx_sf(3049960)"><img src="/img/cmt.svg" />Ҳужжатга таклиф юбориш</span><span onclick="lx_pa(3049960)"><img src="/img/vlm.svg" />Аудиони тинглаш</span><span onclick="lx_cl(3049960)"><img src="/img/lnk.svg" />Ҳужжат элементидан ҳавола олиш</span></div></div><div name="3049960" id="3049960">22. В случае, если на конец отчетного периода государственный орган или иная организация имеет измененный регламент электронной государственной услуги, в котором увеличены сроки оказания услуг и/или количество необходимых документов, требуемых для осуществления услуги, государственный орган получает «0» баллов за данный показатель.</div></div><div class="ACT_TEXT lx_elem" onmousemove="lx_mo(event,3049961)"><div class="lx_elem2"><div class="lx_elem3"><span onclick="lx_sf(3049961)"><img src="/img/cmt.svg" />Ҳужжатга таклиф юбориш</span><span onclick="lx_pa(3049961)"><img src="/img/vlm.svg" />Аудиони тинглаш</span><span onclick="lx_cl(3049961)"><img src="/img/lnk.svg" />Ҳужжат элементидан ҳавола олиш</span></div></div><div name="3049961" id="3049961">23. По показателю 1.6. «Степень автоматизации электронных государственных услуг» оценка степени автоматизации электронных государственных услуг производится по <a href="/docs/3049875#3049962">таблице № 5</a>. </div></div><div class="BY_DEFAULT lx_elem" onmousemove="lx_mo(event,3049962)"><div class="lx_elem2"><div class="lx_elem3"><span onclick="lx_sf(3049962)"><img src="/img/cmt.svg" />Ҳужжатга таклиф юбориш</span><span onclick="lx_pa(3049962)"><img src="/img/vlm.svg" />Аудиони тинглаш</span><span onclick="lx_cl(3049962)"><img src="/img/lnk.svg" />Ҳужжат элементидан ҳавола олиш</span></div></div><div name="3049962" id="3049962"><div align="center">
<table style="BORDER-BOTTOM: medium none; BORDER-LEFT: medium none; BORDER-COLLAPSE: collapse; BACKGROUND: white; BORDER-TOP: medium none; BORDER-RIGHT: medium none" border="1" cellspacing="0" cellpadding="0" width="100%">
<tbody>
<tr>
<td style="BORDER-BOTTOM: black 1pt solid; BORDER-LEFT: #ece9d8; PADDING-BOTTOM: 0cm; PADDING-LEFT: 5.4pt; PADDING-RIGHT: 5.4pt; BORDER-TOP: #ece9d8; BORDER-RIGHT: #ece9d8; PADDING-TOP: 0cm">
<p style="TEXT-ALIGN: center; LINE-HEIGHT: normal" align="center"><span style="COLOR: windowtext"></span></p></td>
<td style="BORDER-BOTTOM: black 1pt solid; BORDER-LEFT: #ece9d8; PADDING-BOTTOM: 0cm; PADDING-LEFT: 5.4pt; PADDING-RIGHT: 5.4pt; BORDER-TOP: #ece9d8; BORDER-RIGHT: #ece9d8; PADDING-TOP: 0cm">
<p style="TEXT-ALIGN: center; LINE-HEIGHT: normal" align="center"></p></td>
<td style="BORDER-BOTTOM: black 1pt solid; BORDER-LEFT: #ece9d8; PADDING-BOTTOM: 0cm; PADDING-LEFT: 5.4pt; PADDING-RIGHT: 5.4pt; BORDER-TOP: #ece9d8; BORDER-RIGHT: #ece9d8; PADDING-TOP: 0cm" colspan="3">
<p style="TEXT-ALIGN: center; LINE-HEIGHT: normal" align="center"></p></td>
<td style="BORDER-BOTTOM: black 1pt solid; BORDER-LEFT: #ece9d8; PADDING-BOTTOM: 0cm; PADDING-LEFT: 5.4pt; PADDING-RIGHT: 5.4pt; BORDER-TOP: #ece9d8; BORDER-RIGHT: #ece9d8; PADDING-TOP: 0cm">
<p style="TEXT-ALIGN: right; LINE-HEIGHT: normal" align="right"><span>Таблица № 5</span></p></td></tr>
<tr>
<td style="BORDER-BOTTOM: black 1pt solid; BORDER-LEFT: black 1pt solid; PADDING-BOTTOM: 0cm; PADDING-LEFT: 5.4pt; PADDING-RIGHT: 5.4pt; BORDER-TOP: #ece9d8; BORDER-RIGHT: black 1pt solid; PADDING-TOP: 0cm">
<p style="TEXT-ALIGN: center; LINE-HEIGHT: normal" align="center"><span style="COLOR: windowtext"><strong>№</strong></span></p></td>
<td style="BORDER-BOTTOM: black 1pt solid; BORDER-LEFT: #ece9d8; PADDING-BOTTOM: 0cm; PADDING-LEFT: 5.4pt; PADDING-RIGHT: 5.4pt; BORDER-TOP: #ece9d8; BORDER-RIGHT: black 1pt solid; PADDING-TOP: 0cm">
<p style="TEXT-ALIGN: center; LINE-HEIGHT: normal" align="center"><span style="COLOR: windowtext"><strong>Показатель</strong></span></p></td>
<td style="BORDER-BOTTOM: black 1pt solid; BORDER-LEFT: #ece9d8; PADDING-BOTTOM: 0cm; PADDING-LEFT: 5.4pt; PADDING-RIGHT: 5.4pt; BORDER-TOP: #ece9d8; BORDER-RIGHT: black 1pt solid; PADDING-TOP: 0cm" colspan="3">
<p style="TEXT-ALIGN: center; LINE-HEIGHT: normal" align="center"><span style="COLOR: windowtext"><strong>Удельный вес показателя</strong></span></p></td>
<td style="BORDER-BOTTOM: black 1pt solid; BORDER-LEFT: #ece9d8; PADDING-BOTTOM: 0cm; PADDING-LEFT: 5.4pt; PADDING-RIGHT: 5.4pt; BORDER-TOP: #ece9d8; BORDER-RIGHT: black 1pt solid; PADDING-TOP: 0cm">
<p style="TEXT-ALIGN: center; LINE-HEIGHT: normal" align="center"><span style="COLOR: windowtext"><strong>Метод оценки</strong></span></p></td></tr>
<tr>
<td style="BORDER-BOTTOM: windowtext 1pt solid; BORDER-LEFT: windowtext 1pt solid; PADDING-BOTTOM: 0cm; PADDING-LEFT: 5.4pt; PADDING-RIGHT: 5.4pt; BORDER-TOP: #ece9d8; BORDER-RIGHT: windowtext 1pt solid; PADDING-TOP: 0cm" rowspan="3">
<p style="TEXT-ALIGN: center; LINE-HEIGHT: normal" align="center"><span style="COLOR: windowtext">1.6</span></p></td>
<td style="BORDER-BOTTOM: windowtext 1pt solid; BORDER-LEFT: #ece9d8; PADDING-BOTTOM: 0cm; PADDING-LEFT: 5.4pt; PADDING-RIGHT: 5.4pt; BORDER-TOP: #ece9d8; BORDER-RIGHT: windowtext 1pt solid; PADDING-TOP: 0cm" rowspan="3">
<p style="TEXT-ALIGN: center; LINE-HEIGHT: normal" align="center"><span>Степень автоматизации электронных государственных услуг</span></p></td>
<td style="BORDER-BOTTOM: windowtext 1pt solid; BORDER-LEFT: #ece9d8; PADDING-BOTTOM: 0cm; PADDING-LEFT: 5.4pt; PADDING-RIGHT: 5.4pt; BORDER-TOP: #ece9d8; BORDER-RIGHT: windowtext 1pt solid; PADDING-TOP: 0cm" rowspan="3">
<p style="TEXT-ALIGN: center; LINE-HEIGHT: normal" align="center"><span style="COLOR: windowtext">10</span></p></td>
<td style="BORDER-BOTTOM: windowtext 1pt solid; BORDER-LEFT: #ece9d8; PADDING-BOTTOM: 0cm; PADDING-LEFT: 5.4pt; PADDING-RIGHT: 5.4pt; BORDER-TOP: #ece9d8; BORDER-RIGHT: windowtext 1pt solid; PADDING-TOP: 0cm" rowspan="2">
<p style="TEXT-ALIGN: center; LINE-HEIGHT: normal" align="center"><span style="COLOR: windowtext">6</span></p></td>
<td style="BORDER-BOTTOM: windowtext 1pt solid; BORDER-LEFT: #ece9d8; PADDING-BOTTOM: 0cm; PADDING-LEFT: 5.4pt; PADDING-RIGHT: 5.4pt; BORDER-TOP: #ece9d8; BORDER-RIGHT: windowtext 1pt solid; PADDING-TOP: 0cm">
<p style="TEXT-ALIGN: center; LINE-HEIGHT: normal" align="center"><span style="COLOR: windowtext">4</span></p></td>
<td style="BORDER-BOTTOM: windowtext 1pt solid; BORDER-LEFT: #ece9d8; PADDING-BOTTOM: 0cm; PADDING-LEFT: 5.4pt; PADDING-RIGHT: 5.4pt; BORDER-TOP: #ece9d8; BORDER-RIGHT: windowtext 1pt solid; PADDING-TOP: 0cm">
<p style="LINE-HEIGHT: normal"><span style="COLOR: windowtext">Прием запроса от заявителя в электронном виде</span></p></td></tr>
<tr>
<td style="BORDER-BOTTOM: windowtext 1pt solid; BORDER-LEFT: #ece9d8; PADDING-BOTTOM: 0cm; PADDING-LEFT: 5.4pt; PADDING-RIGHT: 5.4pt; BORDER-TOP: #ece9d8; BORDER-RIGHT: windowtext 1pt solid; PADDING-TOP: 0cm">
<p style="LINE-HEIGHT: normal"></p></td>
<td style="BORDER-BOTTOM: windowtext 1pt solid; BORDER-LEFT: #ece9d8; PADDING-BOTTOM: 0cm; PADDING-LEFT: 5.4pt; PADDING-RIGHT: 5.4pt; BORDER-TOP: #ece9d8; BORDER-RIGHT: windowtext 1pt solid; PADDING-TOP: 0cm">
<p style="LINE-HEIGHT: normal"><span style="COLOR: windowtext">Рассмотрение и обработка запроса в электронном виде</span></p></td></tr>
<tr>
<td style="BORDER-BOTTOM: windowtext 1pt solid; BORDER-LEFT: #ece9d8; PADDING-BOTTOM: 0cm; PADDING-LEFT: 5.4pt; PADDING-RIGHT: 5.4pt; BORDER-TOP: #ece9d8; BORDER-RIGHT: windowtext 1pt solid; PADDING-TOP: 0cm">
<p style="LINE-HEIGHT: normal"></p></td>
<td style="BORDER-BOTTOM: windowtext 1pt solid; BORDER-LEFT: #ece9d8; PADDING-BOTTOM: 0cm; PADDING-LEFT: 5.4pt; PADDING-RIGHT: 5.4pt; BORDER-TOP: #ece9d8; BORDER-RIGHT: windowtext 1pt solid; PADDING-TOP: 0cm">
<p style="LINE-HEIGHT: normal"></p></td>
<td style="BORDER-BOTTOM: windowtext 1pt solid; BORDER-LEFT: #ece9d8; PADDING-BOTTOM: 0cm; PADDING-LEFT: 5.4pt; PADDING-RIGHT: 5.4pt; BORDER-TOP: #ece9d8; BORDER-RIGHT: windowtext 1pt solid; PADDING-TOP: 0cm">
<p style="LINE-HEIGHT: normal"><span style="COLOR: windowtext">Хранение результата и направление ответа в электронном виде</span></p></td></tr></tbody></table></div></div></div><div class="ACT_TEXT lx_elem" onmousemove="lx_mo(event,3049963)"><div class="lx_elem2"><div class="lx_elem3"><span onclick="lx_sf(3049963)"><img src="/img/cmt.svg" />Ҳужжатга таклиф юбориш</span><span onclick="lx_pa(3049963)"><img src="/img/vlm.svg" />Аудиони тинглаш</span><span onclick="lx_cl(3049963)"><img src="/img/lnk.svg" />Ҳужжат элементидан ҳавола олиш</span></div></div><div name="3049963" id="3049963">24. Для формирования оценки показателя 1.6 расчет производится по следующей формуле:</div></div><div class="TEXT_CENTER lx_elem" onmousemove="lx_mo(event,3051042)"><div class="lx_elem2"><div class="lx_elem3"><span onclick="lx_sf(3051042)"><img src="/img/cmt.svg" />Ҳужжатга таклиф юбориш</span><span onclick="lx_pa(3051042)"><img src="/img/vlm.svg" />Аудиони тинглаш</span><span onclick="lx_cl(3051042)"><img src="/img/lnk.svg" />Ҳужжат элементидан ҳавола олиш</span></div></div><div name="3051042" id="3051042"><img src="/files/3051041" /></div></div><div class="ACT_TEXT lx_elem" onmousemove="lx_mo(event,3049965)"><div class="lx_elem2"><div class="lx_elem3"><span onclick="lx_sf(3049965)"><img src="/img/cmt.svg" />Ҳужжатга таклиф юбориш</span><span onclick="lx_pa(3049965)"><img src="/img/vlm.svg" />Аудиони тинглаш</span><span onclick="lx_cl(3049965)"><img src="/img/lnk.svg" />Ҳужжат элементидан ҳавола олиш</span></div></div><div name="3049965" id="3049965">К<sub>зр <sup>—</sup> </sub>коэффициент степени автоматизации электронных государственных услуг;</div></div><div class="ACT_TEXT lx_elem" onmousemove="lx_mo(event,3049967)"><div class="lx_elem2"><div class="lx_elem3"><span onclick="lx_sf(3049967)"><img src="/img/cmt.svg" />Ҳужжатга таклиф юбориш</span><span onclick="lx_pa(3049967)"><img src="/img/vlm.svg" />Аудиони тинглаш</span><span onclick="lx_cl(3049967)"><img src="/img/lnk.svg" />Ҳужжат элементидан ҳавола олиш</span></div></div><div name="3049967" id="3049967">n — количество всего услуг;</div></div><div class="ACT_TEXT lx_elem" onmousemove="lx_mo(event,3049968)"><div class="lx_elem2"><div class="lx_elem3"><span onclick="lx_sf(3049968)"><img src="/img/cmt.svg" />Ҳужжатга таклиф юбориш</span><span onclick="lx_pa(3049968)"><img src="/img/vlm.svg" />Аудиони тинглаш</span><span onclick="lx_cl(3049968)"><img src="/img/lnk.svg" />Ҳужжат элементидан ҳавола олиш</span></div></div><div name="3049968" id="3049968">i — порядковый номер показателя (от 1 до n);</div></div><div class="ACT_TEXT lx_elem" onmousemove="lx_mo(event,3049969)"><div class="lx_elem2"><div class="lx_elem3"><span onclick="lx_sf(3049969)"><img src="/img/cmt.svg" />Ҳужжатга таклиф юбориш</span><span onclick="lx_pa(3049969)"><img src="/img/vlm.svg" />Аудиони тинглаш</span><span onclick="lx_cl(3049969)"><img src="/img/lnk.svg" />Ҳужжат элементидан ҳавола олиш</span></div></div><div name="3049969" id="3049969">Y — удельный вес показателя.</div></div><div class="ACT_TEXT lx_elem" onmousemove="lx_mo(event,3049970)"><div class="lx_elem2"><div class="lx_elem3"><span onclick="lx_sf(3049970)"><img src="/img/cmt.svg" />Ҳужжатга таклиф юбориш</span><span onclick="lx_pa(3049970)"><img src="/img/vlm.svg" />Аудиони тинглаш</span><span onclick="lx_cl(3049970)"><img src="/img/lnk.svg" />Ҳужжат элементидан ҳавола олиш</span></div></div><div name="3049970" id="3049970">25. По показателю 1.7. «Соблюдение сроков оказания электронных государственных услуг» оценка производится на основе полученных статистики с Единого портала по соблюдению сроков оказания электронных государственных услуг. Также учитываются статистические данные по межведомственным электронным запросам через системы межведомственного электронного взаимодействия, обеспечивающие взаимодействие государственных органов и иных организаций.</div></div><div class="ACT_TEXT lx_elem" onmousemove="lx_mo(event,3049971)"><div class="lx_elem2"><div class="lx_elem3"><span onclick="lx_sf(3049971)"><img src="/img/cmt.svg" />Ҳужжатга таклиф юбориш</span><span onclick="lx_pa(3049971)"><img src="/img/vlm.svg" />Аудиони тинглаш</span><span onclick="lx_cl(3049971)"><img src="/img/lnk.svg" />Ҳужжат элементидан ҳавола олиш</span></div></div><div name="3049971" id="3049971">26. Оценка показателя 1.7 производится на предмет соблюдения сроков оказания электронных государственных услуг согласно утвержденным регламентам электронных государственных услуг по <a href="/docs/3049875#3049972">таблице № 6</a>. </div></div><div class="BY_DEFAULT lx_elem" onmousemove="lx_mo(event,3049972)"><div class="lx_elem2"><div class="lx_elem3"><span onclick="lx_sf(3049972)"><img src="/img/cmt.svg" />Ҳужжатга таклиф юбориш</span><span onclick="lx_pa(3049972)"><img src="/img/vlm.svg" />Аудиони тинглаш</span><span onclick="lx_cl(3049972)"><img src="/img/lnk.svg" />Ҳужжат элементидан ҳавола олиш</span></div></div><div name="3049972" id="3049972"><table style="BORDER-COLLAPSE: collapse; BACKGROUND: white" border="0" cellspacing="0" cellpadding="0" width="100%">
<tbody>
<tr>
<td style="BORDER-BOTTOM: windowtext 1pt solid; BORDER-LEFT: #ece9d8; PADDING-BOTTOM: 0cm; PADDING-LEFT: 5.4pt; PADDING-RIGHT: 2.3pt; BORDER-TOP: #ece9d8; BORDER-RIGHT: #ece9d8; PADDING-TOP: 2.6pt">
<p style="TEXT-ALIGN: left; LINE-HEIGHT: normal" align="left"><span></span></p></td>
<td style="BORDER-BOTTOM: windowtext 1pt solid; BORDER-LEFT: #ece9d8; PADDING-BOTTOM: 0cm; PADDING-LEFT: 5.4pt; PADDING-RIGHT: 2.3pt; BORDER-TOP: #ece9d8; BORDER-RIGHT: #ece9d8; PADDING-TOP: 2.6pt">
<p style="TEXT-ALIGN: center; LINE-HEIGHT: normal" align="center"></p></td>
<td style="BORDER-BOTTOM: windowtext 1pt solid; BORDER-LEFT: #ece9d8; PADDING-BOTTOM: 0cm; PADDING-LEFT: 5.4pt; PADDING-RIGHT: 2.3pt; BORDER-TOP: #ece9d8; BORDER-RIGHT: #ece9d8; PADDING-TOP: 2.6pt" valign="top" colspan="2">
<p style="TEXT-ALIGN: center; LINE-HEIGHT: normal" align="center"></p></td>
<td style="BORDER-BOTTOM: windowtext 1pt solid; BORDER-LEFT: #ece9d8; PADDING-BOTTOM: 0cm; PADDING-LEFT: 5.4pt; PADDING-RIGHT: 2.3pt; BORDER-TOP: #ece9d8; BORDER-RIGHT: #ece9d8; PADDING-TOP: 2.6pt">
<p style="TEXT-ALIGN: right; LINE-HEIGHT: normal" align="right"><span>Таблица № 6</span></p></td></tr>
<tr>
<td style="BORDER-BOTTOM: windowtext 1pt solid; BORDER-LEFT: windowtext 1pt solid; PADDING-BOTTOM: 0cm; PADDING-LEFT: 5.4pt; PADDING-RIGHT: 2.3pt; BORDER-TOP: #ece9d8; BORDER-RIGHT: windowtext 1pt solid; PADDING-TOP: 2.6pt">
<p style="TEXT-ALIGN: center; LINE-HEIGHT: normal" align="center"><b><span>№</span></b></p></td>
<td style="BORDER-BOTTOM: windowtext 1pt solid; BORDER-LEFT: #ece9d8; PADDING-BOTTOM: 0cm; PADDING-LEFT: 5.4pt; PADDING-RIGHT: 2.3pt; BORDER-TOP: #ece9d8; BORDER-RIGHT: windowtext 1pt solid; PADDING-TOP: 2.6pt">
<p style="TEXT-ALIGN: center; LINE-HEIGHT: normal" align="center"><b><span>Показатель</span></b></p></td>
<td style="BORDER-BOTTOM: windowtext 1pt solid; BORDER-LEFT: #ece9d8; PADDING-BOTTOM: 0cm; PADDING-LEFT: 5.4pt; PADDING-RIGHT: 2.3pt; BORDER-TOP: #ece9d8; BORDER-RIGHT: windowtext 1pt solid; PADDING-TOP: 2.6pt" colspan="2">
<p style="TEXT-ALIGN: center; LINE-HEIGHT: normal" align="center"><b><span>Удельный вес показателя</span></b></p></td>
<td style="BORDER-BOTTOM: windowtext 1pt solid; BORDER-LEFT: #ece9d8; PADDING-BOTTOM: 0cm; PADDING-LEFT: 5.4pt; PADDING-RIGHT: 2.3pt; BORDER-TOP: #ece9d8; BORDER-RIGHT: windowtext 1pt solid; PADDING-TOP: 2.6pt">
<p style="TEXT-ALIGN: center; LINE-HEIGHT: normal" align="center"><b><span>Метод оценки</span></b></p></td></tr>
<tr>
<td style="BORDER-BOTTOM: black 1pt solid; BORDER-LEFT: black 1pt solid; PADDING-BOTTOM: 0cm; PADDING-LEFT: 5.4pt; PADDING-RIGHT: 2.3pt; BORDER-TOP: #ece9d8; BORDER-RIGHT: black 1pt solid; PADDING-TOP: 2.6pt" rowspan="3">
<p style="TEXT-ALIGN: center; LINE-HEIGHT: normal" align="center"><span>1.7</span></p></td>
<td style="BORDER-BOTTOM: black 1pt solid; BORDER-LEFT: #ece9d8; PADDING-BOTTOM: 0cm; PADDING-LEFT: 5.4pt; PADDING-RIGHT: 2.3pt; BORDER-TOP: #ece9d8; BORDER-RIGHT: black 1pt solid; PADDING-TOP: 2.6pt" rowspan="3">
<p style="LINE-HEIGHT: normal; TEXT-INDENT: 10.95pt"><span>Соблюдение сроков оказания электронных государственных услуг</span></p></td>
<td style="BORDER-BOTTOM: black 1pt solid; BORDER-LEFT: #ece9d8; PADDING-BOTTOM: 0cm; PADDING-LEFT: 5.4pt; PADDING-RIGHT: 2.3pt; BORDER-TOP: #ece9d8; BORDER-RIGHT: black 1pt solid; PADDING-TOP: 2.6pt" rowspan="3">
<p style="TEXT-ALIGN: center; LINE-HEIGHT: normal" align="center"><span>20</span></p></td>
<td style="BORDER-BOTTOM: black 1pt solid; BORDER-LEFT: #ece9d8; PADDING-BOTTOM: 0cm; PADDING-LEFT: 5.4pt; PADDING-RIGHT: 2.3pt; BORDER-TOP: #ece9d8; BORDER-RIGHT: black 1pt solid; PADDING-TOP: 2.6pt">
<p style="TEXT-ALIGN: center; LINE-HEIGHT: normal" align="center"><span>20</span></p></td>
<td style="BORDER-BOTTOM: black 1pt solid; BORDER-LEFT: #ece9d8; PADDING-BOTTOM: 0cm; PADDING-LEFT: 5.4pt; PADDING-RIGHT: 2.3pt; BORDER-TOP: #ece9d8; BORDER-RIGHT: black 1pt solid; PADDING-TOP: 2.6pt" valign="top">
<p style="LINE-HEIGHT: normal; TEXT-INDENT: 14.2pt"><span>Не имеется нарушений сроков оказания электронных государственных услуг</span></p></td></tr>
<tr>
<td style="BORDER-BOTTOM: black 1pt solid; BORDER-LEFT: #ece9d8; PADDING-BOTTOM: 0cm; PADDING-LEFT: 5.4pt; PADDING-RIGHT: 2.3pt; BORDER-TOP: #ece9d8; BORDER-RIGHT: black 1pt solid; PADDING-TOP: 2.6pt">
<p style="TEXT-ALIGN: center; LINE-HEIGHT: normal" align="center"><span>10</span></p></td>
<td style="BORDER-BOTTOM: black 1pt solid; BORDER-LEFT: #ece9d8; PADDING-BOTTOM: 0cm; PADDING-LEFT: 5.4pt; PADDING-RIGHT: 2.3pt; BORDER-TOP: #ece9d8; BORDER-RIGHT: black 1pt solid; PADDING-TOP: 2.6pt" valign="top">
<p style="LINE-HEIGHT: normal; TEXT-INDENT: 14.2pt"><span>Имеется одно нарушение сроков оказания электронных государственных услуг</span></p></td></tr>
<tr>
<td style="BORDER-BOTTOM: black 1pt solid; BORDER-LEFT: #ece9d8; PADDING-BOTTOM: 0cm; PADDING-LEFT: 5.4pt; PADDING-RIGHT: 2.3pt; BORDER-TOP: #ece9d8; BORDER-RIGHT: black 1pt solid; PADDING-TOP: 2.6pt">
<p style="TEXT-ALIGN: center; LINE-HEIGHT: normal" align="center"><span>0</span></p></td>
<td style="BORDER-BOTTOM: black 1pt solid; BORDER-LEFT: #ece9d8; PADDING-BOTTOM: 0cm; PADDING-LEFT: 5.4pt; PADDING-RIGHT: 2.3pt; BORDER-TOP: #ece9d8; BORDER-RIGHT: black 1pt solid; PADDING-TOP: 2.6pt" valign="top">
<p style="LINE-HEIGHT: normal; TEXT-INDENT: 14.2pt"><span>Имеется более одного нарушения сроков оказания электронных государственных услуг</span></p></td></tr></tbody></table></div></div><div class="ACT_TEXT lx_elem" onmousemove="lx_mo(event,3049973)"><div class="lx_elem2"><div class="lx_elem3"><span onclick="lx_sf(3049973)"><img src="/img/cmt.svg" />Ҳужжатга таклиф юбориш</span><span onclick="lx_pa(3049973)"><img src="/img/vlm.svg" />Аудиони тинглаш</span><span onclick="lx_cl(3049973)"><img src="/img/lnk.svg" />Ҳужжат элементидан ҳавола олиш</span></div></div><div name="3049973" id="3049973">27. По показателю 1.8. «Удовлетворение потребности пользователей в получении электронных государственных услуг» оценка производится по 30-балльной шкале на основании оценок заявителей электронных государственных услуг. </div></div><div class="ACT_TEXT lx_elem" onmousemove="lx_mo(event,3049974)"><div class="lx_elem2"><div class="lx_elem3"><span onclick="lx_sf(3049974)"><img src="/img/cmt.svg" />Ҳужжатга таклиф юбориш</span><span onclick="lx_pa(3049974)"><img src="/img/vlm.svg" />Аудиони тинглаш</span><span onclick="lx_cl(3049974)"><img src="/img/lnk.svg" />Ҳужжат элементидан ҳавола олиш</span></div></div><div name="3049974" id="3049974">28. По показателю 1.8 оценке подлежат все электронные государственные услуги, предоставляемые через Единый портал по формуле: </div></div><div class="TEXT_CENTER lx_elem" onmousemove="lx_mo(event,3049975)"><div class="lx_elem2"><div class="lx_elem3"><span onclick="lx_sf(3049975)"><img src="/img/cmt.svg" />Ҳужжатга таклиф юбориш</span><span onclick="lx_pa(3049975)"><img src="/img/vlm.svg" />Аудиони тинглаш</span><span onclick="lx_cl(3049975)"><img src="/img/lnk.svg" />Ҳужжат элементидан ҳавола олиш</span></div></div><div name="3049975" id="3049975"><img src="/files/3051044" /></div></div><div class="ACT_TEXT lx_elem" onmousemove="lx_mo(event,3049976)"><div class="lx_elem2"><div class="lx_elem3"><span onclick="lx_sf(3049976)"><img src="/img/cmt.svg" />Ҳужжатга таклиф юбориш</span><span onclick="lx_pa(3049976)"><img src="/img/vlm.svg" />Аудиони тинглаш</span><span onclick="lx_cl(3049976)"><img src="/img/lnk.svg" />Ҳужжат элементидан ҳавола олиш</span></div></div><div name="3049976" id="3049976">К<sub>уд</sub> — коэффициент удовлетворения потребности пользователей в получении электронных государственных услуг; </div></div><div class="ACT_TEXT lx_elem" onmousemove="lx_mo(event,3049977)"><div class="lx_elem2"><div class="lx_elem3"><span onclick="lx_sf(3049977)"><img src="/img/cmt.svg" />Ҳужжатга таклиф юбориш</span><span onclick="lx_pa(3049977)"><img src="/img/vlm.svg" />Аудиони тинглаш</span><span onclick="lx_cl(3049977)"><img src="/img/lnk.svg" />Ҳужжат элементидан ҳавола олиш</span></div></div><div name="3049977" id="3049977">j — номер запроса на получение электронных государственных услуг; </div></div><div class="ACT_TEXT lx_elem" onmousemove="lx_mo(event,3049978)"><div class="lx_elem2"><div class="lx_elem3"><span onclick="lx_sf(3049978)"><img src="/img/cmt.svg" />Ҳужжатга таклиф юбориш</span><span onclick="lx_pa(3049978)"><img src="/img/vlm.svg" />Аудиони тинглаш</span><span onclick="lx_cl(3049978)"><img src="/img/lnk.svg" />Ҳужжат элементидан ҳавола олиш</span></div></div><div name="3049978" id="3049978">n — количество оцененных заявителями электронных государственных услуг; </div></div><div class="ACT_TEXT lx_elem" onmousemove="lx_mo(event,3049979)"><div class="lx_elem2"><div class="lx_elem3"><span onclick="lx_sf(3049979)"><img src="/img/cmt.svg" />Ҳужжатга таклиф юбориш</span><span onclick="lx_pa(3049979)"><img src="/img/vlm.svg" />Аудиони тинглаш</span><span onclick="lx_cl(3049979)"><img src="/img/lnk.svg" />Ҳужжат элементидан ҳавола олиш</span></div></div><div name="3049979" id="3049979">Z — оценка заявителей на полученную электронную государственную услугу (от 1 до 5). </div></div><div class="ACT_TEXT lx_elem" onmousemove="lx_mo(event,3049980)"><div class="lx_elem2"><div class="lx_elem3"><span onclick="lx_sf(3049980)"><img src="/img/cmt.svg" />Ҳужжатга таклиф юбориш</span><span onclick="lx_pa(3049980)"><img src="/img/vlm.svg" />Аудиони тинглаш</span><span onclick="lx_cl(3049980)"><img src="/img/lnk.svg" />Ҳужжат элементидан ҳавола олиш</span></div></div><div name="3049980" id="3049980">29. Коэффициент удовлетворения потребности в получении электронных государственных услуг определяется как соотношение суммы оценок заявителей на полученную электронную государственную услугу (от 1 до 5) к количеству оцененных заявителями электронных государственных услуг, разделенное на 5 и умноженное на 100%, по формуле:</div></div><div class="TEXT_CENTER lx_elem" onmousemove="lx_mo(event,3049981)"><div class="lx_elem2"><div class="lx_elem3"><span onclick="lx_sf(3049981)"><img src="/img/cmt.svg" />Ҳужжатга таклиф юбориш</span><span onclick="lx_pa(3049981)"><img src="/img/vlm.svg" />Аудиони тинглаш</span><span onclick="lx_cl(3049981)"><img src="/img/lnk.svg" />Ҳужжат элементидан ҳавола олиш</span></div></div><div name="3049981" id="3049981"><img src="/files/3051045" /></div></div><div class="ACT_TEXT lx_elem" onmousemove="lx_mo(event,3049982)"><div class="lx_elem2"><div class="lx_elem3"><span onclick="lx_sf(3049982)"><img src="/img/cmt.svg" />Ҳужжатга таклиф юбориш</span><span onclick="lx_pa(3049982)"><img src="/img/vlm.svg" />Аудиони тинглаш</span><span onclick="lx_cl(3049982)"><img src="/img/lnk.svg" />Ҳужжат элементидан ҳавола олиш</span></div></div><div name="3049982" id="3049982">К<sub>епигу</sub> — итоговый коэффициент показателя «Удовлетворение потребности в получении электронных государственных услуг; </div></div><div class="ACT_TEXT lx_elem" onmousemove="lx_mo(event,3049983)"><div class="lx_elem2"><div class="lx_elem3"><span onclick="lx_sf(3049983)"><img src="/img/cmt.svg" />Ҳужжатга таклиф юбориш</span><span onclick="lx_pa(3049983)"><img src="/img/vlm.svg" />Аудиони тинглаш</span><span onclick="lx_cl(3049983)"><img src="/img/lnk.svg" />Ҳужжат элементидан ҳавола олиш</span></div></div><div name="3049983" id="3049983">m — количество оцененных заявителями электронных государственных услуг; </div></div><div class="ACT_TEXT lx_elem" onmousemove="lx_mo(event,3049984)"><div class="lx_elem2"><div class="lx_elem3"><span onclick="lx_sf(3049984)"><img src="/img/cmt.svg" />Ҳужжатга таклиф юбориш</span><span onclick="lx_pa(3049984)"><img src="/img/vlm.svg" />Аудиони тинглаш</span><span onclick="lx_cl(3049984)"><img src="/img/lnk.svg" />Ҳужжат элементидан ҳавола олиш</span></div></div><div name="3049984" id="3049984">Y — удельный вес показателя.</div></div><div class="ACT_TEXT lx_elem" onmousemove="lx_mo(event,3049985)"><div class="lx_elem2"><div class="lx_elem3"><span onclick="lx_sf(3049985)"><img src="/img/cmt.svg" />Ҳужжатга таклиф юбориш</span><span onclick="lx_pa(3049985)"><img src="/img/vlm.svg" />Аудиони тинглаш</span><span onclick="lx_cl(3049985)"><img src="/img/lnk.svg" />Ҳужжат элементидан ҳавола олиш</span></div></div><div name="3049985" id="3049985">j — номер запроса на получение электронных государственных услуг;</div></div><div class="ACT_TEXT lx_elem" onmousemove="lx_mo(event,3049986)"><div class="lx_elem2"><div class="lx_elem3"><span onclick="lx_sf(3049986)"><img src="/img/cmt.svg" />Ҳужжатга таклиф юбориш</span><span onclick="lx_pa(3049986)"><img src="/img/vlm.svg" />Аудиони тинглаш</span><span onclick="lx_cl(3049986)"><img src="/img/lnk.svg" />Ҳужжат элементидан ҳавола олиш</span></div></div><div name="3049986" id="3049986">К<sub>уд</sub> — коэффициент удовлетворения потребности в получении электронных государственных услуг в предоставлении услуги.</div></div><div class="ACT_TEXT lx_elem" onmousemove="lx_mo(event,3049987)"><div class="lx_elem2"><div class="lx_elem3"><span onclick="lx_sf(3049987)"><img src="/img/cmt.svg" />Ҳужжатга таклиф юбориш</span><span onclick="lx_pa(3049987)"><img src="/img/vlm.svg" />Аудиони тинглаш</span><span onclick="lx_cl(3049987)"><img src="/img/lnk.svg" />Ҳужжат элементидан ҳавола олиш</span></div></div><div name="3049987" id="3049987">30. Итоговый коэффициент данного показателя оценивается как соотношение суммы коэффициентов удовлетворения потребности в получении электронных государственных услуг к количеству оцененных заявителями электронных государственных услуг, разделенное на 5 и умноженное на удельный вес показателя.</div></div><div class="ACT_TEXT lx_elem" onmousemove="lx_mo(event,3049988)"><div class="lx_elem2"><div class="lx_elem3"><span onclick="lx_sf(3049988)"><img src="/img/cmt.svg" />Ҳужжатга таклиф юбориш</span><span onclick="lx_pa(3049988)"><img src="/img/vlm.svg" />Аудиони тинглаш</span><span onclick="lx_cl(3049988)"><img src="/img/lnk.svg" />Ҳужжат элементидан ҳавола олиш</span></div></div><div name="3049988" id="3049988">31. По показателю 1.9. «Доля электронных государственных услуг, зарегистрированных в Едином реестре государственных услуг» оценка производится по критерию соотношения количества электронных услуг к общему числу включенных государственных услуг, содержащихся в Едином реестре. Рассматриваются значения количества зарегистрированных государственных услуг, в том числе электронных.</div></div><div class="ACT_TEXT lx_elem" onmousemove="lx_mo(event,3049989)"><div class="lx_elem2"><div class="lx_elem3"><span onclick="lx_sf(3049989)"><img src="/img/cmt.svg" />Ҳужжатга таклиф юбориш</span><span onclick="lx_pa(3049989)"><img src="/img/vlm.svg" />Аудиони тинглаш</span><span onclick="lx_cl(3049989)"><img src="/img/lnk.svg" />Ҳужжат элементидан ҳавола олиш</span></div></div><div name="3049989" id="3049989">32. По показателю 1.9 оценка производится на основе анализа данных статистики о количестве электронных государственных услуг, отраженных в Едином реестре, и рассчитывается по формуле: </div></div><div class="TEXT_CENTER lx_elem" onmousemove="lx_mo(event,3049990)"><div class="lx_elem2"><div class="lx_elem3"><span onclick="lx_sf(3049990)"><img src="/img/cmt.svg" />Ҳужжатга таклиф юбориш</span><span onclick="lx_pa(3049990)"><img src="/img/vlm.svg" />Аудиони тинглаш</span><span onclick="lx_cl(3049990)"><img src="/img/lnk.svg" />Ҳужжат элементидан ҳавола олиш</span></div></div><div name="3049990" id="3049990"><img src="/files/3051046" /></div></div><div class="ACT_TEXT lx_elem" onmousemove="lx_mo(event,3049991)"><div class="lx_elem2"><div class="lx_elem3"><span onclick="lx_sf(3049991)"><img src="/img/cmt.svg" />Ҳужжатга таклиф юбориш</span><span onclick="lx_pa(3049991)"><img src="/img/vlm.svg" />Аудиони тинглаш</span><span onclick="lx_cl(3049991)"><img src="/img/lnk.svg" />Ҳужжат элементидан ҳавола олиш</span></div></div><div name="3049991" id="3049991">D<sub>эгу</sub> — доля электронных государственных услуг, зарегистрированных в Едином реестре; </div></div><div class="ACT_TEXT lx_elem" onmousemove="lx_mo(event,3049992)"><div class="lx_elem2"><div class="lx_elem3"><span onclick="lx_sf(3049992)"><img src="/img/cmt.svg" />Ҳужжатга таклиф юбориш</span><span onclick="lx_pa(3049992)"><img src="/img/vlm.svg" />Аудиони тинглаш</span><span onclick="lx_cl(3049992)"><img src="/img/lnk.svg" />Ҳужжат элементидан ҳавола олиш</span></div></div><div name="3049992" id="3049992">Z<sub>зэгу</sub> — количество зарегистрированных электронных государственных услуг в Едином реестре;</div></div><div class="ACT_TEXT lx_elem" onmousemove="lx_mo(event,3049993)"><div class="lx_elem2"><div class="lx_elem3"><span onclick="lx_sf(3049993)"><img src="/img/cmt.svg" />Ҳужжатга таклиф юбориш</span><span onclick="lx_pa(3049993)"><img src="/img/vlm.svg" />Аудиони тинглаш</span><span onclick="lx_cl(3049993)"><img src="/img/lnk.svg" />Ҳужжат элементидан ҳавола олиш</span></div></div><div name="3049993" id="3049993">Z<sub>нгу</sub> — количество оказываемых государственных услуг, подлежащих регистрации в Едином реестре; </div></div><div class="ACT_TEXT lx_elem" onmousemove="lx_mo(event,3049994)"><div class="lx_elem2"><div class="lx_elem3"><span onclick="lx_sf(3049994)"><img src="/img/cmt.svg" />Ҳужжатга таклиф юбориш</span><span onclick="lx_pa(3049994)"><img src="/img/vlm.svg" />Аудиони тинглаш</span><span onclick="lx_cl(3049994)"><img src="/img/lnk.svg" />Ҳужжат элементидан ҳавола олиш</span></div></div><div name="3049994" id="3049994">Y — удельный вес показателя. </div></div><div class="ACT_TEXT lx_elem" onmousemove="lx_mo(event,3049995)"><div class="lx_elem2"><div class="lx_elem3"><span onclick="lx_sf(3049995)"><img src="/img/cmt.svg" />Ҳужжатга таклиф юбориш</span><span onclick="lx_pa(3049995)"><img src="/img/vlm.svg" />Аудиони тинглаш</span><span onclick="lx_cl(3049995)"><img src="/img/lnk.svg" />Ҳужжат элементидан ҳавола олиш</span></div></div><div name="3049995" id="3049995">33. Доля электронных государственных услуг, зарегистрированных в Едином реестре, рассчитывается путем умножения удельного веса показателя на соотношение количества зарегистрированных электронных государственных услуг в Едином реестре на количество оказываемых государственных услуг, подлежащих регистрации в Едином реестре.</div></div><div class="TEXT_HEADER_DEFAULT lx_elem" onmousemove="lx_mo(event,3049996)"><div class="lx_elem2"><div class="lx_elem3"><span onclick="lx_sf(3049996)"><img src="/img/cmt.svg" />Ҳужжатга таклиф юбориш</span><span onclick="lx_pa(3049996)"><img src="/img/vlm.svg" />Аудиони тинглаш</span><span onclick="lx_cl(3049996)"><img src="/img/lnk.svg" />Ҳужжат элементидан ҳавола олиш</span></div></div><div name="3049996" id="3049996">Глава 4. Заключительные положения</div></div><div class="ACT_TEXT lx_elem" onmousemove="lx_mo(event,3049997)"><div class="lx_elem2"><div class="lx_elem3"><span onclick="lx_sf(3049997)"><img src="/img/cmt.svg" />Ҳужжатга таклиф юбориш</span><span onclick="lx_pa(3049997)"><img src="/img/vlm.svg" />Аудиони тинглаш</span><span onclick="lx_cl(3049997)"><img src="/img/lnk.svg" />Ҳужжат элементидан ҳавола олиш</span></div></div><div name="3049997" id="3049997">34. Министерство по развитию информационных технологий и коммуникаций Республики Узбекистан ежегодно проводит оценку качества оказания электронных государственных услуг в государственных органах и иных организациях и вносит в Кабинет Министров Республики Узбекистан результаты оценки качества оказания электронных государственных услуг. </div></div><div class="ACT_TEXT lx_elem" onmousemove="lx_mo(event,3049998)"><div class="lx_elem2"><div class="lx_elem3"><span onclick="lx_sf(3049998)"><img src="/img/cmt.svg" />Ҳужжатга таклиф юбориш</span><span onclick="lx_pa(3049998)"><img src="/img/vlm.svg" />Аудиони тинглаш</span><span onclick="lx_cl(3049998)"><img src="/img/lnk.svg" />Ҳужжат элементидан ҳавола олиш</span></div></div><div name="3049998" id="3049998">35. Результаты оценки качества оказания электронных государственных услуг подлежат ежегодной публикации в средствах массовой информации, в том числе на Едином портале интерактивных государственных услуг Республики Узбекистан.</div></div><div class="ACT_TEXT lx_elem" onmousemove="lx_mo(event,3049999)"><div class="lx_elem2"><div class="lx_elem3"><span onclick="lx_sf(3049999)"><img src="/img/cmt.svg" />Ҳужжатга таклиф юбориш</span><span onclick="lx_pa(3049999)"><img src="/img/vlm.svg" />Аудиони тинглаш</span><span onclick="lx_cl(3049999)"><img src="/img/lnk.svg" />Ҳужжат элементидан ҳавола олиш</span></div></div><div name="3049999" id="3049999">36. Государственные органы и иные организации, предоставляющие электронные государственные услуги, обязаны на регулярной основе принимать меры по повышению качества их оказания с учетом результатов оценки. </div></div><div class="ACT_TEXT lx_elem" onmousemove="lx_mo(event,3050000)"><div class="lx_elem2"><div class="lx_elem3"><span onclick="lx_sf(3050000)"><img src="/img/cmt.svg" />Ҳужжатга таклиф юбориш</span><span onclick="lx_pa(3050000)"><img src="/img/vlm.svg" />Аудиони тинглаш</span><span onclick="lx_cl(3050000)"><img src="/img/lnk.svg" />Ҳужжат элементидан ҳавола олиш</span></div></div><div name="3050000" id="3050000">37. Руководители государственных органов и иных организаций, предоставляющие электронные государственные услуги, несут персональную ответственность за своевременное принятие мер по повышению качества их оказания. </div></div><div class="BY_DEFAULT lx_elem" onmousemove="lx_mo(event,3050001)"><div class="lx_elem2"><div class="lx_elem3"><span onclick="lx_sf(3050001)"><img src="/img/cmt.svg" />Ҳужжатга таклиф юбориш</span><span onclick="lx_pa(3050001)"><img src="/img/vlm.svg" />Аудиони тинглаш</span><span onclick="lx_cl(3050001)"><img src="/img/lnk.svg" />Ҳужжат элементидан ҳавола олиш</span></div></div><div name="3050001" id="3050001"></div></div><div class="APPL_BANNER_LANDSCAPE_TITLE lx_elem" onmousemove="lx_mo(event,3050002)"><div class="lx_elem2"><div class="lx_elem3"><span onclick="lx_sf(3050002)"><img src="/img/cmt.svg" />Ҳужжатга таклиф юбориш</span><span onclick="lx_pa(3050002)"><img src="/img/vlm.svg" />Аудиони тинглаш</span><span onclick="lx_cl(3050002)"><img src="/img/lnk.svg" />Ҳужжат элементидан ҳавола олиш</span></div></div><div name="3050002" id="3050002">ПРИЛОЖЕНИЕ<br />к <a href="/docs/3049875#3049896">Методике</a> оценки качества оказания электронных государственных услуг</div></div><div class="ACT_FORM lx_elem" onmousemove="lx_mo(event,3050003)"><div class="lx_elem2"><div class="lx_elem3"><span onclick="lx_sf(3050003)"><img src="/img/cmt.svg" />Ҳужжатга таклиф юбориш</span><span onclick="lx_pa(3050003)"><img src="/img/vlm.svg" />Аудиони тинглаш</span><span onclick="lx_cl(3050003)"><img src="/img/lnk.svg" />Ҳужжат элементидан ҳавола олиш</span></div></div><div name="3050003" id="3050003"><strong>СХЕМА</strong></div></div><div class="ACT_TITLE_APPL lx_elem" onmousemove="lx_mo(event,3050004)"><div class="lx_elem2"><div class="lx_elem3"><span onclick="lx_sf(3050004)"><img src="/img/cmt.svg" />Ҳужжатга таклиф юбориш</span><span onclick="lx_pa(3050004)"><img src="/img/vlm.svg" />Аудиони тинглаш</span><span onclick="lx_cl(3050004)"><img src="/img/lnk.svg" />Ҳужжат элементидан ҳавола олиш</span></div></div><div name="3050004" id="3050004">проведения оценки качества оказания электронных государственных услуг</div></div><div class="BY_DEFAULT lx_elem" onmousemove="lx_mo(event,3050005)"><div class="lx_elem2"><div class="lx_elem3"><span onclick="lx_sf(3050005)"><img src="/img/cmt.svg" />Ҳужжатга таклиф юбориш</span><span onclick="lx_pa(3050005)"><img src="/img/vlm.svg" />Аудиони тинглаш</span><span onclick="lx_cl(3050005)"><img src="/img/lnk.svg" />Ҳужжат элементидан ҳавола олиш</span></div></div><div name="3050005" id="3050005"></div></div><div class="TEXT_CENTER lx_elem" onmousemove="lx_mo(event,3050006)"><div class="lx_elem2"><div class="lx_elem3"><span onclick="lx_sf(3050006)"><img src="/img/cmt.svg" />Ҳужжатга таклиф юбориш</span><span onclick="lx_pa(3050006)"><img src="/img/vlm.svg" />Аудиони тинглаш</span><span onclick="lx_cl(3050006)"><img src="/img/lnk.svg" />Ҳужжат элементидан ҳавола олиш</span></div></div><div name="3050006" id="3050006"><img src="/files/3051047" /></div></div><div class="PUBLICATION_ORIGIN"><label id="s1089"></label><div name="3051000" id="3051000">(Собрание законодательства Республики Узбекистан, 2016 г., № 42, ст. 491; Национальная база данных законодательства, 23.01.2018 г., № 09/18/40/0609)</div></div></div>
                                            </div>
                                        </div>
                                    </div>
                                
                                
                                
                            </div>
                        </div>
                    </div>
                </div>
            </div>
            
            <div class="lx_revive_adserver">
                

<script type='text/javascript'><!--//<![CDATA[
    var m3_u = (location.protocol == 'https:' ? 'https://rk.adolatmarkazi.uz/www/delivery/ajs.php' : 'http://rk.adolatmarkazi.uz/www/delivery/ajs.php');
    var m3_r = Math.floor(Math.random() * 99999999999);
    if (!document.MAX_used) document.MAX_used = ',';
    document.write("<scr" + "ipt type='text/javascript' src='" + m3_u);
    document.write("?zoneid=8");
    document.write('&amp;cb=' + m3_r);
    if (document.MAX_used != ',') document.write("&amp;exclude=" + document.MAX_used);
    document.write(document.charset ? '&amp;charset=' + document.charset : (document.characterSet ? '&amp;charset=' + document.characterSet : ''));
    document.write("&amp;loc=" + escape(window.location));
    if (document.referrer) document.write("&amp;referer=" + escape(document.referrer));
    if (document.context) document.write("&context=" + escape(document.context));
    document.write("'><\/scr" + "ipt>");
    //]]>--></script>

            </div>
            
        </main>
        <div class="skiptranslate">
            
<footer class="footer">
    
    <div class="footer__top">
        <div class="container">
            <div class="footer__links">
                <div class="footer__links-ads">
                    <a href="/about">Марказ ҳақида</a>
                </div>
                <div class="footer__links-ads">
                    <a href="/news">Сайт янгиликлари</a>
                </div>
                <div class="footer__links-ads">
                    <a href="/adv">Сайтда реклама</a>
                </div>
                <div class="footer__links-ads">
                    <a href="/rss">RSS</a>
                </div>
            </div>
            
            <div class="footer__app">
                <div class="footer__app-download">
                    <a target="_blank" href="https://play.google.com/store/apps/details?id=uz.lex.mobile">
                        <img src="/assets/img/google_app.svg"></a>
                </div>
                <div class="footer__app-download">
                    <a target="_blank" href="https://apps.apple.com/us/app/lexuz/id1608798574">
                        <img src="/assets/img/app_store.png"></a>
                </div>
            </div>
            <div class="footer__icon">
                <div class="footer__icons">
                    <a target="_blank" href="https://t.me/lexuzofficial"><i class="fab fa-telegram-plane"></i></a>
                </div>
                <div class="footer__icons">
                    <a target="_blank" href="https://www.facebook.com/minjustuz"><i class="fab fa-facebook-f"></i></a>
                </div>
                <div class="footer__icons">
                    <a target="_blank" href="https://www.instagram.com/adliyanews/"><i class="fab fa-instagram-square"></i></a>
                </div>
                <div class="footer__icons">
                    <a target="_blank" href="https://www.youtube.com/c/adliya"><i class="fab fa-youtube"></i></a>
                </div>
            </div>
            <div style="float: right; top: -30px; margin-top: -44px;">
<!-- START WWW.UZ TOP-RATING -->
<SCRIPT language="javascript" type="text/javascript">
		<!--
		top_js = "1.0"; top_r = "id=4079&r=" + escape(document.referrer) + "&pg=" + escape(window.location.href); document.cookie = "smart_top=1; path=/"; top_r += "&c=" + (document.cookie ? "Y" : "N")
		//-->
</SCRIPT>
<SCRIPT language="javascript1.1" type="text/javascript">
<!--
		top_js = "1.1"; top_r += "&j=" + (navigator.javaEnabled() ? "Y" : "N")
//-->
</SCRIPT>
<SCRIPT language="javascript1.2" type="text/javascript">
<!--
		top_js = "1.2"; top_r += "&wh=" + screen.width + 'x' + screen.height + "&px=" + (((navigator.appName.substring(0, 3) == "Mic")) ? screen.colorDepth : screen.pixelDepth)
//-->
</SCRIPT>
<SCRIPT language="javascript1.3" type="text/javascript">
<!--
		top_js = "1.3";
//-->
</SCRIPT>
<SCRIPT language="JavaScript" type="text/javascript">
		<!--
		top_rat = "&col=0C57A6&t=ffffff&p=DD7900"; top_r += "&js=" + top_js + ""; document.write('<a href="https://www.uz/rus/toprating/cmd/stat/id/4079" target="_blank"><img src="https://www.uz/plugins/top_rating/count/cnt.png?' + top_r + top_rat + '" width=88 height=31 border=0 alt="Топ рейтинг www.uz"></a>')//-->
</SCRIPT>
<NOSCRIPT>
		<A href="https://www.uz/rus/toprating/cmd/stat/id/4079" target="_blank">
				<img height="31" src="https://www.uz/plugins/top_rating/count/nojs_cnt.png?id=4079&pg=http%3A//lex.uz&col=0C57A6&t=ffffff&p=DD7900" width="88" border="0" alt="Топ рейтинг www.uz">
		</A>
</NOSCRIPT>
<!-- FINISH WWW.UZ TOP-RATING --></div>
            
        </div>
    </div>
    
    <div class="footer__bottom">
        <div class="container">
            <div class="footer__bottom-desc">&copy; Ўзбекистон Республикаси Адлия вазирлиги қошидаги “Адолат” миллий ҳуқуқий ахборот маркази давлат муассасаси</div>
        </div>
    </div>
</footer>
<div id="lx_alert" style="display: none;">
    <div class="lx_alert_content">
        <div class="lx_alert_body">
            <div id="lx_alert_message"></div>
        </div>
        <div class="lx_alert_footer">
            <button id="lx_alert_close" type="button" class="btn btn-primary" onclick="lxCloseAlert();">Ёпиш</button>
        </div>
    </div>
</div>
<span id="lx_btn_up" onclick="lx_btn_up_top()" title="">
    <svg viewBox="0 0 512 512">
        <path fill="currentColor" d="M256 504c137 0 248-111 248-248S393 8 256 8 8 119 8 256s111 248 248 248zm0-448c110.5 0 200 89.5 200 200s-89.5 200-200 200S56 366.5 56 256 145.5 56 256 56zm20 328h-40c-6.6 0-12-5.4-12-12V256h-67c-10.7 0-16-12.9-8.5-20.5l99-99c4.7-4.7 12.3-4.7 17 0l99 99c7.6 7.6 2.2 20.5-8.5 20.5h-67v116c0 6.6-5.4 12-12 12z"></path></svg>
</span>

        </div>
        <div id="lx_md_send_feedback" class="modal" tabindex="-1" role="dialog">
            <div class="modal-dialog" role="document" style="max-width: 40rem; max-height: 90vh;">
                <div class="modal-content">
                    <div class="modal-header" style="display: block;">
                        <button type="button" class="close" data-dismiss="modal" aria-label="Close">
                            <span aria-hidden="true">&times;</span>
                        </button>
                        <h3 class="modal-title">Ҳужжатга таклиф юбориш</h3>
                    </div>
                    <div class="modal-body">
                        <div class="form-group">
                            <select class="lx_select2_filter select2 form-control" id="lx_feedback_type" onchange="feedback_type_changed(this)">
                                <option value="" selected>Таклиф турини танланг</option>
                                <option value="1">Ҳужжатга таклиф</option>
                                <option value="2">Техник хатолик</option>
                            </select>
                        </div>
                        <div class="form-group">
                            <input id="lx_feedback_from" type="text" class="form-control" placeholder="Фамилияси, исми, шарифи" />
                        </div>
                        <div class="form-group row">
                            <div class="col-6">
                                <input id="lx_feedback_phone" type="text" class="form-control" placeholder="Телефон" />
                            </div>
                            <div class="col-6">
                                <input id="lx_feedback_email" type="text" class="form-control" placeholder="Email" />
                            </div>
                        </div>
                        <div class="form-group">
                            <textarea id="lx_feedback_text" class="form-control" rows="7" maxlength="2000" style="resize: vertical; max-height: 600px;" placeholder="Матн"></textarea>
                        </div>
                        <div class="form-group">
                            <div class="custom-control custom-checkbox mb-2">
                                <input class="custom-control-input" id="lx_feedback_legis" type="checkbox" onchange="lx_feedback_legis_changed(this)">
                                <label class="custom-control-label" for="lx_feedback_legis">Қонунчиликка таклиф бериш <a href="https://lex.uz/" target="_blank" style="color:#0064a9">қоидалари</a> билан танишдим</label>
                            </div>
                        </div>
                    </div>
                    <div class="modal-footer" id="sendFeedback_group" style="display: none;">
                        <div id="dvCaptcha2"></div>
                        <input type="hidden" id="captcha_res2" />
                        <button type="button" class="btn btn-success" id="btn_sendFeedbackToDb" style="display: none;" onclick="sendFeedbackToDb(3049875, 3);">Жўнатиш</button>
                        <button type="button" class="btn btn-danger" id="btn_sendFeedbackCancel" data-dismiss="modal">Бекор қилиш</button>
                    </div>
                </div>
            </div>
        </div>
        <div class="modal fade" id="modalShowCard" tabindex="-1" role="dialog" aria-hidden="true" style="z-index: 9000;">
            <div class="modal-dialog" style="margin: 0;">
                <div class="modal-content" style="background: #eee; width: 90vw; height: 92vh; left: 5vw; top: 4vh;">
                    <div class="modal-header" style="padding: 0 4px 0 0; display: block;">
                        <button type="button" class="close" data-dismiss="modal" style="margin: 0">&times;</button>
                    </div>
                    <div class="modal-body" style="padding: 0 4px; margin: 0;">
                        <iframe id="iframeShowCard" style="width: 100%; height: 100%; border: none;"></iframe>
                    </div>
                </div>
            </div>
        </div>
        <button id="lxPlayButton"></button>
        <button id="lxPlayLang" style="display: none">1</button>
        
        <script type="text/javascript">
            function googleTranslateElementInit() {
                new google.translate.TranslateElement({
                    pageLanguage: 'ru',
                    includedLanguages: 'sq,ar,hy,az,be,bn,bg,zh-CN,zh-TW,hr,cs,da,et,tl,fi,fr,ka,de,el,iw,hi,hu,is,id,it,ja,kk,ko,ky,lv,lt,ms,mn,no,ps,fa,pl,pt,ro,sr,sk,sl,es,sw,sv,tg,tt,th,tr,tk,uk,ur,ug,vi,en,uz',
                    layout: google.translate.TranslateElement.InlineLayout.SIMPLE
                }, 'google_translate_element');
            }
        </script>
        <script type="text/javascript" defer src="//translate.google.com/translate_a/element.js?cb=googleTranslateElementInit"></script>
        
        <script>
            const htmldark = document.getElementsByTagName('html')[0];

            if (localStorage.getItem("themes") === "light") {
                htmldark.dataset.theme = 'light';
            }
            else if (localStorage.getItem("themes") === "grey") {
                htmldark.dataset.theme = 'grey';
            }
            else if (localStorage.getItem("themes") === "dark") {
                htmldark.dataset.theme = 'dark';
            }
            const toggleTheme = (theme) => {
                htmldark.dataset.theme = theme;
                localStorage.setItem("themes", theme);
            }
        </script>
        <script>            
            
            $(document).ready(function () {
                document.getElementById('lx_var_b').innerHTML = document.getElementById('lx_var_t').innerHTML;
            });
            
        </script>
        <script type="text/javascript">
            
            $("#docContent__sideBar-show").click(function () {
                if ($("body").hasClass("sidebar-show")) {
                    $("body").removeClass("sidebar-show")
                }
                else {
                    $("body").addClass("sidebar-show")
                }
            })
            
        </script>
    </div>
    <div style="display: none;"></div>
</body>
</html>

<script>
    function changeScrollType(obj) {
        if ($(obj)["0"].checked) {
            scrollIndependent();
        }
        else {
            scrollCommon();
        }
    }

    function scrollCommon() {
        $('#lang1').css('overflow', 'auto');
        $(".lang1, .lang2").removeAttr('overflow');
        $(".lang1, .lang2").css('overflow', 'hidden');
        $(".lang1, .lang2").css('height', 'auto');
        $(".lang1, .lang2").css('padding-right', '0');
        $("body").css('overflow', 'auto');
    }

    function scrollIndependent() {
        $('#actPage').removeAttr('overflow');
        $(".lang1, .lang2").css('height', ($(window).height() - 38) + "px");
        $(".lang1, .lang2").css('overflow', 'auto');
        $(".lang1, .lang2").css('padding-right', '5px');
        $("body").css('overflow', 'hidden');
    }

    function clickAllChk(item_id, chk, pref1, pref2) {
        $.each($('#' + pref1 + '_dropdown_check').find("INPUT[type='checkbox']"), function () {
            if ($(this).attr('id') != item_id) {
                $(this).prop('checked', chk.checked);
                if (!chk.checked) {
                    $.each($('div').find('#s' + $(this).attr('id').substring(2)), function () { $(this).parent().hide(); });
                }
                else {
                    $.each($('div').find('#s' + $(this).attr('id').substring(2)), function () { $(this).parent().show(); });
                }
            }
        });

        $.each($('#' + pref2 + '_dropdown_check').find("INPUT[type='checkbox']"), function () {
            $(this).attr('checked', chk.checked);
        });
    }

    function hideItem(chk) {
        var chk_id = chk.id.substring(2);
        var $containers = $('[id="s' + chk_id + '"]').parent();
        if (!chk.checked) {
            $containers.hide();
        }
        else {
            if (chk_id === '1104') {
                $containers.removeClass("lx_no_select");
            }
            $containers.show();
        }
    }

    var showLexComments = false;

    function toggleLexComments() {
        var $containers = $('[id="s527"]').parent();
        if (showLexComments) {
            showLexComments = false;
            $("#t_btn_lex_comment").removeClass("active")
            $("#b_btn_lex_comment").removeClass("active")
            $containers.hide();
        }
        else {
            showLexComments = true;
            $("#t_btn_lex_comment").addClass("active")
            $("#b_btn_lex_comment").addClass("active")
            $containers.removeClass("lx_no_select");
            $containers.show();
        }
    }

    function scrollText(hash) {
        if (!hash) {
            window.scrollTo(0, 0);
            return;
        }
        history.pushState(null, '', '#' + hash);
        scrollToHash(hash);
    }

    function scrollToHash(hash, smooth = false) {
        const target = document.getElementById(hash);
        if (!target) return;
        const iframe = document.querySelector('.skiptranslate iframe');
        const iframeHeight = iframe ? iframe.offsetHeight : 0;
        const header = document.getElementById("doc_header");
        const headerHeight = header ? header.offsetHeight : 0;
        const y = target.getBoundingClientRect().top + window.pageYOffset - iframeHeight - headerHeight - 4;
        if (smooth) {
            setTimeout(() => { window.scrollTo(0, y); }, 100);
        } else {
            window.scrollTo(0, y);
        }
    }

    window.onload = function () {
        if (window.location.hash) {
            scrollToHash(window.location.hash.substring(1), true);
        }
    };

    window.addEventListener('hashchange', function () {
        if (window.location.hash) {
            scrollToHash(window.location.hash.substring(1));
        }
    });

    $(document).ready(function () {
        $('#search-criteria').on('input', function (e) {
            var txt = $('#search-criteria').val().toUpperCase();
            if (txt.length > 0) {
                $('.docNabvar__child').each(function () {
                    $(this).addClass('toc_show');
                });
                $('.search-text').each(function () {
                    var elem = $(this).closest('.search-toggle');
                    elem.removeClass('toc_show');
                    elem.removeClass('toc_hide');
                    if ($(this).text().toUpperCase().indexOf(txt) != -1) {
                        elem.addClass('toc_show');
                    } else {
                        elem.addClass('toc_hide');
                    }
                });
            }
            else {
                clearSearch();
            }
        });
    });

    function clearSearch() {
        $('#search-criteria').val('');
        $('.toc_show').each(function () {
            $(this).removeClass('toc_show');
        });
        $('.toc_hide').each(function () {
            $(this).removeClass('toc_hide');
        });
    }
</script>
<script>
    function addToFavorite() {
        $.ajax({
            type: "POST",
            url: "/pages/ajax_methods2.aspx",
            cache: false,
            data: {
                "action": "addToFavorite",
                "lact_id": "3049875",
                "lang": "3"
            },
            success: function (data) {
                var kvp = JSON.parse(data);
                lxAlert(kvp.message);
            },
            error: function () {
                lxAlert("Cақлашда хатолик!");
            }
        });
    }

    function showAddCard(tcard) {
        if (tcard < 1 || tcard > 6) {
            return;
        }

        $('#add_info').val('0').trigger('change');

        if (tcard == "1") {
            showIframeCard('/actinfo/card1/3049875');
        }
        else if (tcard == "2") {
            showIframeCard('/actinfo/card2/3049875');
        }
        else if (tcard == "3") {
            showIframeCard('/actinfo/basrev/3049875');
        }
        else if (tcard == "4") {
            showIframeCard('/actinfo/revhis/3049875');
        }
        else if (tcard == "5") {
            showIframeCard('/actinfo/correspondents/3049875');
        }
        else if (tcard == "6") {
            showIframeCard('/actinfo/respondents/3049875');
        }
    }

    function showIframeCard(_url) {
        $("#iframeShowCard").attr("src", _url);
        $('#modalShowCard').modal('show');
    }

    $('#modalShowCard').on('hidden.bs.modal', function () {
        $("#iframeShowCard").attr("src", "about:blank");  // clear after close
    });

    $(document).ready(function () {
        
    });
</script>
<script type="text/javascript">
    function downloadDoc() {
        const s527 = showLexComments ? '1' : '0';
        const s1089 = $('#t_1089').prop('checked') ? '1' : '0';
        const s1104 = $('#t_1104').prop('checked') ? '1' : '0';
        window.location.href = '/docs/3049875?type=doc' + '&s527=' + s527 + '&s1089=' + s1089 + '&s1104=' + s1104;
    }

    function openTwoLang(lang_id) {
        window.location.href = "/docs/3049875?otherlang=" + lang_id;
    }
</script>
<script>
    function lx_pa(elem_id) { lx_audio.playAudioByElemId(elem_id); }
    function lx_mo(e, elem_id) { lx_audio.moveElement(e, elem_id); }
    function a(event, word) { lx_def.showDef(event, '1', word); }
    function lx_cl(elem_id) {
        const link = window.location.origin + window.location.pathname + window.location.search + '#' + elem_id;
        navigator.clipboard.writeText(link)
            .then(() => {
                Swal.fire({
                    title: 'Ҳавола олинди',
                    text: link,
                    confirmButtonText: "Ёпиш"
                });
            })
            .catch(err => {
                Swal.fire({
                    title: 'Error',
                    text: 'Failed to copy',
                    confirmButtonText: "Ёпиш"
                });
            });
    }
    async function lx_bm(elem_id) {
        const link = window.location.pathname + window.location.search + '#' + elem_id;
        try {
            const lang_id = 3;
            const response = await fetch('/Pages/GetPage.aspx/SaveBookmark', {
                method: "POST",
                headers: { "Content-Type": "application/json" },
                body: JSON.stringify({ lang_id, link }),
            });
            if (response.ok) {
                const result = (await response.json()).d;
                lxAlert(result);
            } else {
                lxAlert('Техник хатолик');
            }
        }
        catch (error) {
            lxAlert('Техник хатолик');
        }
    }
</script>
<script>
    var dvCaptcha2;

    var onloadCallback = function () {
        dvCaptcha2 = grecaptcha.render('dvCaptcha2', {
            'sitekey': '6Lc4eUoUAAAAADW-S-YIn_F1v9K-G6154fgrBmQq',
            'callback': function (response) {
                $("[id*=captcha_res2]").val(response);
                $('#btn_sendFeedbackToDb').show();
                $('#btn_sendFeedbackCancel').hide();
            }
        });
    };

    var _elem_id;

    function lx_sf(elem_id) { // added to xml
        sendFeedback(elem_id);
    }

    function sendFeedback(elem_id) {
        _elem_id = elem_id;
        grecaptcha.reset(dvCaptcha2);
        $('#lx_feedback_from').val('');
        $('#lx_feedback_text').val('');
        $('#lx_feedback_phone').val('');
        $('#lx_feedback_email').val('');
        $('#captcha_res2').val('');
        $('#btn_sendFeedbackToDb').hide();
        $('#lx_md_send_feedback').modal({
            backdrop: 'static',
            keyboard: true
        });
        $('#lx_feedback_type').val('').trigger('change');
        $('#lx_feedback_legis').prop('checked', false).trigger('change');
    }

    function feedback_type_changed(sel) {
        if (sel.value == '1') {
            $('#lx_feedback_phone').show();
            $('#lx_feedback_email').show();
        }
        else {
            $('#lx_feedback_phone').hide();
            $('#lx_feedback_email').hide();
        }
    }

    function lx_feedback_legis_changed(checkbox) {
        if (checkbox.checked) {
            $('#sendFeedback_group').show();
        } else {
            $('#sendFeedback_group').hide();
        }
    }

    function sendFeedbackToDb(lact_id, lang_id) {
        var feedback_from = $('#lx_feedback_from').val().trim();
        var feedback_text = $('#lx_feedback_text').val().trim();
        var feedback_type = $('#lx_feedback_type').val().trim();
        var feedback_phone = $('#lx_feedback_phone').val().trim();
        var feedback_email = $('#lx_feedback_email').val().trim();
        var captcha_result = $('#captcha_res2').val();

        if (feedback_type != '1' && feedback_type != '2') {
            lxAlert('Таклиф турини танланг!');
        }
        else if (feedback_from.length < 3 || feedback_from.length > 100) {
            lxAlert('Фамилияси, исми, шарифи!');
        }
        else if (feedback_text.length < 10) {
            lxAlert('Маълумот тўлиқ киритилмаган!');
        }
        else if (feedback_text.length > 2000) {
            lxAlert('Матн 2000 ҳарфдан кўп!')
        }
        else if (feedback_phone.length > 20) {
            lxAlert('Телефон!');
        }
        else if (feedback_email.length > 30) {
            lxAlert('Email!');
        }
        else {
            $.ajax({
                type: "POST",
                url: "/pages/ajax_methods2.aspx",
                data: {
                    'action': 'sendfeedback',
                    'lact_id': lact_id,
                    'lang_id': lang_id,
                    'element_id': _elem_id,
                    'feedback_from': encodeHtmlEntities(feedback_from),
                    'feedback_text': encodeHtmlEntities(feedback_text),
                    'feedback_type': encodeHtmlEntities(feedback_type),
                    'feedback_phone': encodeHtmlEntities(feedback_phone),
                    'feedback_email': encodeHtmlEntities(feedback_email),
                    'captcha_result': captcha_result
                },
                success: function (data) {
                    $('#lx_feedback_from').val('');
                    $('#lx_feedback_text').val('');
                    $('#lx_feedback_type').val('');
                    $('#lx_feedback_phone').val('');
                    $('#lx_feedback_email').val('');
                    $('#captcha_res2').val('');
                    $('#btn_sendFeedbackToDb').hide();
                    $('#lx_md_send_feedback').modal('hide');
                    lxAlert(data);
                },
                error: function () {
                    $('#captcha_res2').val('');
                    $('#btn_sendFeedbackToDb').hide();
                    grecaptcha.reset(dvCaptcha2);
                    lxAlert('Cақлашда хатолик!');
                }
            });
        }
    }

    function encodeHtmlEntities(str) {
        return String(str).replace(/&/g, '&amp;')
            .replace(/</g, '&lt;')
            .replace(/>/g, '&gt;')
            .replace(/"/g, '&quot;')
            .replace(/'/g, '&#39;');
    }
</script>
<script>
    $('.stopProp').click(function (e) {
        e.stopPropagation();
    });
    function openUrl(url) {
        location.href = url;
    }
    function openInNew(url) {
        window.open(url, "_blank");
    }
    if ("" == "print") {
        $(document).ready(function () {
            window.print();
        });
    }
</script>
<script>
    let lxCompNotEqualId = 0;
    function lxCompNext() {
        if (lxCompNotEqualId < 0) {
            lxCompNotEqualId++;
            scrollText('d_' + lxCompNotEqualId);
        }
    }
    function lxCompPrev() {
        if (lxCompNotEqualId > 1) {
            lxCompNotEqualId--;
            scrollText('d_' + lxCompNotEqualId);
        }
    }
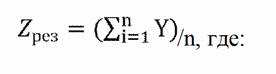
</script>
