

<!DOCTYPE html>

<html lang="ru-UZ">
<head>
   <!-- Global site tag (gtag.js) - Google Analytics -->
   <script async src="https://www.googletagmanager.com/gtag/js?id=UA-2682682-1"></script>
   <script>
      window.dataLayer = window.dataLayer || [];
      function gtag() { dataLayer.push(arguments); }
      gtag('js', new Date());
      gtag('config', 'UA-2682682-1');
   </script>
<title>

</title><meta charset="UTF-8" /><meta http-equiv="content-type" content="text/html; charset=UTF-8" /><meta name="viewport" content="width=device-width, initial-scale=1.0, minimum-scale=0.3, maximum-scale=3.0" /><link href="/css/mactform.css" rel="stylesheet" type="text/css" />

    <style type="text/css">
        /*.contents-caption DIV {
            float: right;
        }*/

        /*.mobilnav TD {
            height: 32px;
        }*/

        /*.mobilnav {
            border: 0px;
            padding: 0;
            background: url('/image/h-menu.gif') repeat-x scroll left top transparent;
        }*/

        body {
            margin: 0;
        }

        td {
            min-height: 22px;
        }

        /*#userComments {
            position: fixed;
            top: 0;
            left: 200px;
            width: 279px;
            height: 18px;
            background-color: Black;
            color: White;
            z-index: 2000;
            padding: 3px;
            display: none;
        }*/

        /*#fancybox_div {
            display: none;
        }*/

        /*#divContextRasporka {
            width: 270px;
        }*/

        /*#tddivContext {
            background-color: White;
        }*/

        /*#backButton {
            color: White;
            font-weight: bold;
            text-decoration: none;
        }*/

        /*#divCont {
            padding-top: 35px;
        }*/

        /*.main_menu ul .checkboxArea, .main_menu ul .checkboxAreaChecked {
            padding-top: 12px;
        }*/

        /*#item3 > ul > li {
            white-space: nowrap;
        }*/

        /*header > nav > ul > li > a {
            font-family: Arial;
            font-size: 11px;
        }*/

        /*#actContent a {
            font-size: 14px;
            font-family: Arial;
        }*/

        /*#selected_div {
            height: 250px;
            overflow: auto;
            padding: 6px 1px 1px 9px;
        }*/

        /*.enter_submit {
            background: url("/images/bg/search_button_bg.jpg") repeat-x scroll 0 0 transparent;
            border: 1px solid #7190EE;
            border-radius: 6px 6px 6px 6px;
            float: right;
            margin-right: 2px;
            cursor: pointer;
        }*/

        /*.enter_submit > div {
                background: url("/images/arrow/button_uzor4_left.png") no-repeat scroll 4px 7px transparent;
                float: left;
                width: 100%;
                cursor: pointer;
            }*/

        /*.enter_submit input[type="button"] {
                background: url("/images/arrow/button_uzor4_right.png") no-repeat scroll right 7px transparent;
                border: medium none;
                border-radius: 6px 6px 6px 6px;
                color: #FFFFFF;
                float: left;
                font-size: 12px;
                font-weight: bold;
                height: 21px;
                margin-left: 22px;
                margin-right: 4px;
                padding: 0 22px 3px 0;
                cursor: pointer;
            }*/

        .show_context {
            background-color: #FFFF00;
            color: inherit;
        }
    </style>
    <style id="tree_style" type="text/css">
        #divAct a, #divAct DIV, #divAct font, div#theDefCssID table td, th {
            font-size: 12pt;
        }
    </style>

    <script type="text/javascript" charset="utf-8">
        //window.onbeforeunload = function () {
        //    //document.getElementById("main_container").innerHTML = "";
        //    //window.body.style.background = "red";  //css("background", "red");
        //    //window.scrollTo(0, 0);
        //}

        window.onload = function () {
            setTimeout(function () { scrolPage(); }, 100);
        }

        function scrolPage() {
            var hash = location.hash.toString();
            if (hash.length > 2) {
                var elem = document.getElementById(location.hash.toString().substring(1));
                if (elem === null || elem === undefined) {
                    document.body.scrollTop = document.documentElement.scrollTop = 0;
                }
                else {
                    document.body.scrollTop = document.documentElement.scrollTop = elem.offsetTop - 10;
                }
            }
            else {
                document.body.scrollTop = document.documentElement.scrollTop = 0;
            }
        }
    </script>
</head>
<body>
    
    <a href="#DynContent" id="DynContentBtn"></a>
    <div style="display: none;">
        <div id="DynContent" style="width: 350px;">
            <table>
                <tr>
                    <td><span id="dynText"></span></td>
                </tr>
            </table>
        </div>
    </div>
    <div id="headcont">
        
        <header style="z-index: 2000;" id="headermenu">
            <div class='logo' style="padding: 0px 0px 0px 8px">
                <a href='/ru/'><span></span></a>
            </div>
        </header>
        
    </div>
    <div id='main_container'>
        
        <section class='main_text'>
            <table style="width: 100%; font-family: Arial; font-size: 14px; font-weight: bold;">
                <tr>
                    <td style="width: 50%">
                        
                        
                        
                    </td>
                    <td style="width: 50%; text-align: right">
                        
                        
                    </td>
                </tr>
            </table>
            <div id="divAct" style="margin: 0px; padding: 0px 5px 0px 5px; background: white;">
                
                <div id="divCont" style="background:#ffffff;border:none;margin:auto;"><div class="INDEXES_ON_REF" style="display:none"><label id="s5987"></label><div name="onLBC3049875" id="onLBC3049875">[<b>ОКОЗ:</b><div id="LBC7274"><span class="iorRN">1.</span><span class="iorVal">12.00.00.00 Информация и информатизация / 12.02.00.00 Управление в сфере информации и информатизации. Электронное правительство / 12.02.04.00 Другие вопросы;</span></div><div id="LBC7283"><span class="iorRN">2.</span><span class="iorVal">12.00.00.00 Информация и информатизация / 12.03.00.00 Информационные ресурсы. Пользование информационными ресурсами / 12.03.04.00 Открытая и общедоступная информация. Государственные информационные ресурсы]</span></div></div></div><div class="INDEXES_ON_REF" style="display:none"><label id="s5988"></label><div name="onLS3049875" id="onLS3049875">[<b>ТСЗ:</b><div id="LS3745"><span class="iorRN">1.</span><span class="iorVal">Экономика / Информация и информатизация. Электронная коммерция (документооборот)]</span></div></div></div><div class="ACT_FORM"><div name="3049877" id="3049877">Постановление</div></div><div class="ACCEPTING_BODY"><div name="3049878" id="3049878">Кабинета Министров Республики Узбекистан</div></div><div class="ACT_TITLE"><div name="3049879" id="3049879">Об утверждении Методики оценки качества оказания электронных государственных услуг</div></div><div class="BY_DEFAULT"><div name="3049880" id="3049880"></div></div><div class="ACT_TEXT"><div name="3049881" id="3049881">В соответствии с <a href="/ru/acts/2833855">Законом</a> Республики Узбекистан «Об электронном правительстве», в целях обеспечения единого подхода к проведению изучения и анализа качества электронных государственных услуг, оказываемых органами государственного и хозяйственного управления, государственной власти на местах (далее — государственные органы), иными организациями, а также повышения качества их оказания и доступности Кабинет Министров постановляет:</div></div><div class="COMMENT"><label id="s3934"></label><div name="edi7950941" id="edi7950941">См. <a href="/ru/acts/3049875?ONDATE=24.10.2016 00#3049882">предыдущую</a> редакцию.</div></div><div class="BY_DEFAULT"><div name="7950941" id="7950941"></div></div><div class="ACT_TEXT"><div name="7950943" id="7950943">1. Утвердить Методику оценки качества оказания электронных государственных услуг органов государственного и хозяйственного управления, органов исполнительной власти на местах и иных организаций согласно <a href="/ru/acts/3049875#3049896">приложению</a>.</div></div><div class="CHANGES_ORIGINS"><label id="s1104"></label><div name="7950944" id="7950944">(пункт  1 в редакции <a href="/ru/acts/7926688">постановления </a>Кабинета Министров Республики Узбекистан от 15 декабря 2025 года № 791)</div></div><div class="ACT_TEXT"><div name="3049883" id="3049883">2. Министерству по развитию информационных технологий и коммуникаций Республики Узбекистан:</div></div><div class="ACT_TEXT"><div name="3049884" id="3049884">в двухмесячный срок принять меры по совершенствованию межведомственной автоматизированной информационной системы NIS.UZ (далее — Система) с учетом обеспечения ею сбора, приема, обработки, обмена и хранения информации о состоянии оказания электронных государственных услуг государственными органами и иными организациями;</div></div><div class="ACT_TEXT"><div name="3049885" id="3049885">в срок до 20 декабря 2016 года разработать и утвердить инструкцию, регламентирующую порядок ввода информации в Систему согласно требованиям Методики оценки качества оказания электронных государственных услуг;</div></div><div class="ACT_TEXT"><div name="3049886" id="3049886">обеспечить на ежегодной основе публикацию результатов оценки качества оказания электронных государственных услуг в средствах массовой информации, в том числе на Едином портале интерактивных государственных услуг Республики Узбекистан.</div></div><div class="ACT_TEXT"><div name="3049887" id="3049887">3. Государственным органам и иным организациям, оказывающим электронные государственные услуги, обеспечить:</div></div><div class="ACT_TEXT"><div name="3049888" id="3049888">на ежегодной основе своевременное внесение в Систему достоверной информации о состоянии оказания электронных государственных услуг в порядке, предусмотренном Методикой оценки качества оказания электронных государственных услуг;</div></div><div class="ACT_TEXT"><div name="3049889" id="3049889">по согласованию с Министерством по развитию информационных технологий и коммуникаций Республики Узбекистан разработку и осуществление конкретных мер, направленных на постоянное совершенствование порядка и качества оказания электронных государственных услуг, с учетом результатов проводимого мониторинга качества оказания электронных государственных услуг.</div></div><div class="ACT_TEXT"><div name="3049890" id="3049890">4. Контроль за исполнением настоящего постановления возложить на заместителя Премьер-министра Республики Узбекистан Арипова А.Н.</div></div><div class="SIGNATURE"><div name="3049891" id="3049891">Премьер-министр Республики Узбекистан Ш. МИРЗИЁЕВ</div></div><div class="ACT_ESSENTIAL_ELEMENTS"><div name="3049892" id="3049892">г. Ташкент,</div></div><div class="ACT_ESSENTIAL_ELEMENTS"><div name="3049893" id="3049893">20 октября 2016 г.,</div></div><div class="ACT_ESSENTIAL_ELEMENTS_NUM"><div name="3049894" id="3049894">№ 353</div></div><div class="BY_DEFAULT"><div name="3049895" id="3049895"></div></div><div class="APPL_BANNER_LANDSCAPE_TITLE"><div name="3049896" id="3049896">ПРИЛОЖЕНИЕ<br />к <a href="/ru/acts/3049875">постановлению </a>Кабинета Министров от 20 октября 2016 года № 353</div></div><div class="COMMENT"><label id="s3934"></label><div name="edi7950946" id="edi7950946">См. <a href="/ru/acts/3049875?ONDATE=24.10.2016 00#3049897">предыдущую</a> редакцию.</div></div><div class="BY_DEFAULT"><div name="7950946" id="7950946"></div></div><div class="ACT_FORM"><div name="7950974" id="7950974">МЕТОДИКА</div></div><div class="ACT_TITLE_APPL"><div name="7950977" id="7950977">оценки качества оказания электронных государственных услуг органов государственного и хозяйственного управления, органов исполнительной власти на местах и иных организаций</div></div><div class="CHANGES_ORIGINS"><label id="s1104"></label><div name="7950989" id="7950989">(наименование приложение в редакции <a href="/ru/acts/7926688">постановления </a>Кабинета Министров Республики Узбекистан от 15 декабря 2025 года № 791)</div></div><div class="BY_DEFAULT"><div name="3049899" id="3049899"></div></div><div class="TEXT_HEADER_DEFAULT"><div name="3049900" id="3049900">Глава 1. Общие положения</div></div><div class="ACT_TEXT"><div name="3049901" id="3049901">1. Настоящая Методика оценки качества оказания электронных государственных услуг (далее — Методика) в соответствии с <a href="/ru/acts/2833855">Законом</a> Республики Узбекистан «Об электронном правительстве» и <a href="/ru/acts/2972706">постановлением</a> Кабинета Министров Республики Узбекистан от 3 июня 2016 года № 188 «О дальнейших мерах по реализации Закона Республики Узбекистан «Об электронном правительстве» определяет порядок проведения оценки качества оказания электронных государственных услуг.</div></div><div class="ACT_TEXT"><div name="3049902" id="3049902">2. Оценка качества оказания электронных государственных услуг проводится по государственным услугам, указанным в Едином реестре государственных услуг, форм и бланков в соответствии с <a href="/ru/acts/2645699">постановлением</a> Кабинета Министров Республики Узбекистан от 13 мая 2015 года № 120 «О мерах по дальнейшему совершенствованию порядка оказания государственных услуг и межведомственного информационного взаимодействия государственных органов и иных организаций». </div></div><div class="ACT_TEXT"><div name="3049903" id="3049903">3. Оценка качества оказания электронных государственных услуг осуществляется уполномоченным органом в области электронного правительства — Министерством по развитию информационных технологий и коммуникаций Республики Узбекистан. </div></div><div class="ACT_TEXT"><div name="3049904" id="3049904">4. Оценка качества оказания электронных государственных услуг основывается на принципах законности, объективности, беспристрастности, соблюдения конфиденциальности, прозрачности, всесторонности и достоверности. </div></div><div class="ACT_TEXT"><div name="3049905" id="3049905">5. Источниками информации для проведения оценки качества оказания электронных государственных услуг являются: </div></div><div class="ACT_TEXT"><div name="3049906" id="3049906">официальные веб-сайты органов государственного и хозяйственного управления, государственной власти на местах (далее — государственные органы) и иных организаций; </div></div><div class="ACT_TEXT"><div name="3049907" id="3049907">Единый портал интерактивных государственных услуг Республики Узбекистан, (далее — Единый портал); </div></div><div class="COMMENT"><label id="s3934"></label><div name="edi3528553" id="edi3528553">См. <a href="/ru/acts/3049875?ONDATE=24.10.2016 00#3049908">предыдущую</a> редакцию.</div></div><div class="BY_DEFAULT"><div name="3528553" id="3528553"></div></div><div class="ACT_TEXT"><div name="3528560" id="3528560">система межведомственного электронного взаимодействия государственных органов и иных организаций, в том числе с использованием при оказании электронных государственных услуг через Центры государственных услуг.</div></div><div class="CHANGES_ORIGINS"><label id="s1104"></label><div name="3528566" id="3528566">(абзац четвертый пункта 5 в редакции <a href="/ru/acts/3516603?ONDATE=23.01.2018 01#3518292">постановления </a>Кабинета Министров Республики Узбекистан от 22 января 2018 года № 40 — Национальная база данных законодательства, 23.01.2018 г., № 09/18/40/0609)</div></div><div class="TEXT_HEADER_DEFAULT"><div name="3049909" id="3049909">Глава 2. Основные понятия</div></div><div class="ACT_TEXT"><div name="3049910" id="3049910">6. В настоящей Методике используются следующие понятия: </div></div><div class="ACT_TEXT"><div name="3049911" id="3049911"><strong>межведомственный электронный запрос</strong> — требование государственного органа или иной организации о представлении документов и информации, необходимых для оказания государственной услуги, направленное в форме электронного документа на основании запроса заявителя; </div></div><div class="ACT_TEXT"><div name="3049912" id="3049912"><strong>результат оказания электронной государственной услуги</strong> — реализация прав, свобод и законных интересов заявителей, выраженная в осуществлении государственными органами и иными организациями соответствующих действий в соответствии с регламентом оказания электронной государственной услуги, в том числе предоставлении заявителям соответствующей информации и документов; </div></div><div class="ACT_TEXT"><div name="3049913" id="3049913"><strong>Единый реестр государственных услуг, форм и бланков (далее — Единый реестр)</strong> — открытый и общедоступный информационный ресурс в сети Интернет, содержащий полный перечень государственных услуг, форм и бланков, и иную информацию; </div></div><div class="ACT_TEXT"><div name="3049914" id="3049914"><strong>показатель</strong> — совокупность индикаторов, объединенных по тематическому принципу и характеризующих один из аспектов качества предоставления государственной услуги;</div></div><div class="ACT_TEXT"><div name="3049915" id="3049915"><strong>индикатор</strong> — свойство услуги, которое может быть измерено (количественно оценено). Каждый индикатор соответствует определенному требованию нормативно-правовых актов, регулирующих предоставление государственных услуг; </div></div><div class="ACT_TEXT"><div name="3049916" id="3049916"><strong>оптимизация</strong> — выбор наилучшего варианта из возможных для достижения наибольшей эффективности процесса предоставления государственных услуг.</div></div><div class="TEXT_HEADER_DEFAULT"><div name="3049917" id="3049917">Глава 3. Проведение оценки качества оказания электронных государственных услуг</div></div><div class="ACT_TEXT"><div name="3049918" id="3049918">7. Оценка качества оказания электронных государственных услуг в государственных органах и иных организациях производится один раз в год по итоговым результатам отчетного периода по схеме согласно <a href="/ru/acts/3049875#3050002">приложению</a> к настоящей Методике.</div></div><div class="ACT_TEXT"><div name="3049919" id="3049919">8. Периодом для оценки считается первый месяц года, следующего за отчетным годом. Оценка качества оказания электронных государственных услуг осуществляется по следующим показателям системы оценки качества оказания электронных государственных услуг с выставлением баллов:</div></div><div class="BY_DEFAULT"><div name="3051030" id="3051030"><table style="BORDER-BOTTOM: medium none; BORDER-LEFT: medium none; BORDER-COLLAPSE: collapse; BACKGROUND: white; BORDER-TOP: medium none; BORDER-RIGHT: medium none" border="1" cellspacing="0" cellpadding="0" width="100%">
<tbody>
<tr>
<td style="BORDER-BOTTOM: black 1pt solid; BORDER-LEFT: black 1pt solid; PADDING-BOTTOM: 0cm; PADDING-LEFT: 2.85pt; PADDING-RIGHT: 2.85pt; BORDER-TOP: black 1pt solid; BORDER-RIGHT: black 1pt solid; PADDING-TOP: 0cm">
<p align="center"><b><span>№</span></b></p></td>
<td style="BORDER-BOTTOM: black 1pt solid; BORDER-LEFT: #ece9d8; PADDING-BOTTOM: 0cm; PADDING-LEFT: 2.85pt; PADDING-RIGHT: 2.85pt; BORDER-TOP: black 1pt solid; BORDER-RIGHT: black 1pt solid; PADDING-TOP: 0cm">
<p align="center"><b><span>Показатели</span></b></p></td>
<td style="BORDER-BOTTOM: black 1pt solid; BORDER-LEFT: #ece9d8; PADDING-BOTTOM: 0cm; PADDING-LEFT: 2.85pt; PADDING-RIGHT: 2.85pt; BORDER-TOP: black 1pt solid; BORDER-RIGHT: black 1pt solid; PADDING-TOP: 0cm">
<p align="center"><b><span>Удельный вес показателя (балл)</span></b></p></td></tr>
<tr>
<td style="BORDER-BOTTOM: black 1pt solid; BORDER-LEFT: black 1pt solid; PADDING-BOTTOM: 0cm; PADDING-LEFT: 2.85pt; PADDING-RIGHT: 2.85pt; BORDER-TOP: #ece9d8; BORDER-RIGHT: black 1pt solid; PADDING-TOP: 0cm" valign="top">
<p align="center"><span>1.1.</span></p></td>
<td style="BORDER-BOTTOM: black 1pt solid; BORDER-LEFT: #ece9d8; PADDING-BOTTOM: 0cm; PADDING-LEFT: 2.85pt; PADDING-RIGHT: 2.85pt; BORDER-TOP: #ece9d8; BORDER-RIGHT: black 1pt solid; PADDING-TOP: 0cm" valign="top">
<p style="TEXT-INDENT: 11.55pt"><span>Наличие опубликованных регламентов электронных государственных услуг</span></p></td>
<td style="BORDER-BOTTOM: black 1pt solid; BORDER-LEFT: #ece9d8; PADDING-BOTTOM: 0cm; PADDING-LEFT: 2.85pt; PADDING-RIGHT: 2.85pt; BORDER-TOP: #ece9d8; BORDER-RIGHT: black 1pt solid; PADDING-TOP: 0cm" valign="top">
<p align="center"><span>2</span></p></td></tr>
<tr>
<td style="BORDER-BOTTOM: black 1pt solid; BORDER-LEFT: black 1pt solid; PADDING-BOTTOM: 0cm; PADDING-LEFT: 2.85pt; PADDING-RIGHT: 2.85pt; BORDER-TOP: #ece9d8; BORDER-RIGHT: black 1pt solid; PADDING-TOP: 0cm" valign="top">
<p align="center"><span>1.2.</span></p></td>
<td style="BORDER-BOTTOM: black 1pt solid; BORDER-LEFT: #ece9d8; PADDING-BOTTOM: 0cm; PADDING-LEFT: 2.85pt; PADDING-RIGHT: 2.85pt; BORDER-TOP: #ece9d8; BORDER-RIGHT: black 1pt solid; PADDING-TOP: 0cm" valign="top">
<p style="TEXT-INDENT: 11.55pt"><span>Наличие возможности отслеживания хода оказания электронных государственных услуг</span></p></td>
<td style="BORDER-BOTTOM: black 1pt solid; BORDER-LEFT: #ece9d8; PADDING-BOTTOM: 0cm; PADDING-LEFT: 2.85pt; PADDING-RIGHT: 2.85pt; BORDER-TOP: #ece9d8; BORDER-RIGHT: black 1pt solid; PADDING-TOP: 0cm" valign="top">
<p align="center"><span>10</span></p></td></tr>
<tr>
<td style="BORDER-BOTTOM: black 1pt solid; BORDER-LEFT: black 1pt solid; PADDING-BOTTOM: 0cm; PADDING-LEFT: 2.85pt; PADDING-RIGHT: 2.85pt; BORDER-TOP: #ece9d8; BORDER-RIGHT: black 1pt solid; PADDING-TOP: 0cm" valign="top">
<p align="center"><span>1.3.</span></p></td>
<td style="BORDER-BOTTOM: black 1pt solid; BORDER-LEFT: #ece9d8; PADDING-BOTTOM: 0cm; PADDING-LEFT: 2.85pt; PADDING-RIGHT: 2.85pt; BORDER-TOP: #ece9d8; BORDER-RIGHT: black 1pt solid; PADDING-TOP: 0cm" valign="top">
<p style="TEXT-INDENT: 11.55pt"><span>Проведение онлайн-опросов по совершенствованию электронных государственных услуг </span></p></td>
<td style="BORDER-BOTTOM: black 1pt solid; BORDER-LEFT: #ece9d8; PADDING-BOTTOM: 0cm; PADDING-LEFT: 2.85pt; PADDING-RIGHT: 2.85pt; BORDER-TOP: #ece9d8; BORDER-RIGHT: black 1pt solid; PADDING-TOP: 0cm" valign="top">
<p align="center"><span>8</span></p></td></tr>
<tr>
<td style="BORDER-BOTTOM: black 1pt solid; BORDER-LEFT: black 1pt solid; PADDING-BOTTOM: 0cm; PADDING-LEFT: 2.85pt; PADDING-RIGHT: 2.85pt; BORDER-TOP: #ece9d8; BORDER-RIGHT: black 1pt solid; PADDING-TOP: 0cm" valign="top">
<p align="center"><span>1.4.</span></p></td>
<td style="BORDER-BOTTOM: black 1pt solid; BORDER-LEFT: #ece9d8; PADDING-BOTTOM: 0cm; PADDING-LEFT: 2.85pt; PADDING-RIGHT: 2.85pt; BORDER-TOP: #ece9d8; BORDER-RIGHT: black 1pt solid; PADDING-TOP: 0cm" valign="top">
<p style="TEXT-INDENT: 11.55pt"><span>Наличие инструмента оценки заявителем результата получения электронных государственных услуг</span></p></td>
<td style="BORDER-BOTTOM: black 1pt solid; BORDER-LEFT: #ece9d8; PADDING-BOTTOM: 0cm; PADDING-LEFT: 2.85pt; PADDING-RIGHT: 2.85pt; BORDER-TOP: #ece9d8; BORDER-RIGHT: black 1pt solid; PADDING-TOP: 0cm" valign="top">
<p align="center"><span>5</span></p></td></tr>
<tr>
<td style="BORDER-BOTTOM: black 1pt solid; BORDER-LEFT: black 1pt solid; PADDING-BOTTOM: 0cm; PADDING-LEFT: 2.85pt; PADDING-RIGHT: 2.85pt; BORDER-TOP: #ece9d8; BORDER-RIGHT: black 1pt solid; PADDING-TOP: 0cm" valign="top">
<p align="center"><span>1.5.</span></p></td>
<td style="BORDER-BOTTOM: black 1pt solid; BORDER-LEFT: #ece9d8; PADDING-BOTTOM: 0cm; PADDING-LEFT: 2.85pt; PADDING-RIGHT: 2.85pt; BORDER-TOP: #ece9d8; BORDER-RIGHT: black 1pt solid; PADDING-TOP: 0cm" valign="top">
<p style="TEXT-INDENT: 11.55pt"><span>Степень оптимизации электронных государственных услуг</span></p></td>
<td style="BORDER-BOTTOM: black 1pt solid; BORDER-LEFT: #ece9d8; PADDING-BOTTOM: 0cm; PADDING-LEFT: 2.85pt; PADDING-RIGHT: 2.85pt; BORDER-TOP: #ece9d8; BORDER-RIGHT: black 1pt solid; PADDING-TOP: 0cm" valign="top">
<p align="center"><span>13</span></p></td></tr>
<tr>
<td style="BORDER-BOTTOM: black 1pt solid; BORDER-LEFT: black 1pt solid; PADDING-BOTTOM: 0cm; PADDING-LEFT: 2.85pt; PADDING-RIGHT: 2.85pt; BORDER-TOP: #ece9d8; BORDER-RIGHT: black 1pt solid; PADDING-TOP: 0cm" valign="top">
<p align="center"><span>1.6.</span></p></td>
<td style="BORDER-BOTTOM: black 1pt solid; BORDER-LEFT: #ece9d8; PADDING-BOTTOM: 0cm; PADDING-LEFT: 2.85pt; PADDING-RIGHT: 2.85pt; BORDER-TOP: #ece9d8; BORDER-RIGHT: black 1pt solid; PADDING-TOP: 0cm" valign="top">
<p style="TEXT-INDENT: 11.55pt"><span>Степень автоматизации электронных государственных услуг </span></p></td>
<td style="BORDER-BOTTOM: black 1pt solid; BORDER-LEFT: #ece9d8; PADDING-BOTTOM: 0cm; PADDING-LEFT: 2.85pt; PADDING-RIGHT: 2.85pt; BORDER-TOP: #ece9d8; BORDER-RIGHT: black 1pt solid; PADDING-TOP: 0cm" valign="top">
<p align="center"><span>10</span></p></td></tr>
<tr>
<td style="BORDER-BOTTOM: black 1pt solid; BORDER-LEFT: black 1pt solid; PADDING-BOTTOM: 0cm; PADDING-LEFT: 2.85pt; PADDING-RIGHT: 2.85pt; BORDER-TOP: #ece9d8; BORDER-RIGHT: black 1pt solid; PADDING-TOP: 0cm" valign="top">
<p align="center"><span>1.7.</span></p></td>
<td style="BORDER-BOTTOM: black 1pt solid; BORDER-LEFT: #ece9d8; PADDING-BOTTOM: 0cm; PADDING-LEFT: 2.85pt; PADDING-RIGHT: 2.85pt; BORDER-TOP: #ece9d8; BORDER-RIGHT: black 1pt solid; PADDING-TOP: 0cm" valign="top">
<p style="TEXT-INDENT: 11.55pt"><span>Соблюдение сроков оказания электронных государственных услуг</span></p></td>
<td style="BORDER-BOTTOM: black 1pt solid; BORDER-LEFT: #ece9d8; PADDING-BOTTOM: 0cm; PADDING-LEFT: 2.85pt; PADDING-RIGHT: 2.85pt; BORDER-TOP: #ece9d8; BORDER-RIGHT: black 1pt solid; PADDING-TOP: 0cm" valign="top">
<p align="center"><span>20</span></p></td></tr>
<tr>
<td style="BORDER-BOTTOM: black 1pt solid; BORDER-LEFT: black 1pt solid; PADDING-BOTTOM: 0cm; PADDING-LEFT: 2.85pt; PADDING-RIGHT: 2.85pt; BORDER-TOP: #ece9d8; BORDER-RIGHT: black 1pt solid; PADDING-TOP: 0cm" valign="top">
<p align="center"><span>1.8.</span></p></td>
<td style="BORDER-BOTTOM: black 1pt solid; BORDER-LEFT: #ece9d8; PADDING-BOTTOM: 0cm; PADDING-LEFT: 2.85pt; PADDING-RIGHT: 2.85pt; BORDER-TOP: #ece9d8; BORDER-RIGHT: black 1pt solid; PADDING-TOP: 0cm" valign="top">
<p style="TEXT-INDENT: 11.55pt"><span>Удовлетворение потребности пользователей в получении электронных государственных услуг</span></p></td>
<td style="BORDER-BOTTOM: black 1pt solid; BORDER-LEFT: #ece9d8; PADDING-BOTTOM: 0cm; PADDING-LEFT: 2.85pt; PADDING-RIGHT: 2.85pt; BORDER-TOP: #ece9d8; BORDER-RIGHT: black 1pt solid; PADDING-TOP: 0cm" valign="top">
<p align="center"><span>30</span></p></td></tr>
<tr>
<td style="BORDER-BOTTOM: black 1pt solid; BORDER-LEFT: black 1pt solid; PADDING-BOTTOM: 0cm; PADDING-LEFT: 2.85pt; PADDING-RIGHT: 2.85pt; BORDER-TOP: #ece9d8; BORDER-RIGHT: black 1pt solid; PADDING-TOP: 0cm" valign="top">
<p align="center"><span>1.9.</span></p></td>
<td style="BORDER-BOTTOM: black 1pt solid; BORDER-LEFT: #ece9d8; PADDING-BOTTOM: 0cm; PADDING-LEFT: 2.85pt; PADDING-RIGHT: 2.85pt; BORDER-TOP: #ece9d8; BORDER-RIGHT: black 1pt solid; PADDING-TOP: 0cm" valign="top">
<p style="TEXT-INDENT: 11.55pt"><span>Доля электронных государственных услуг, зарегистрированных в Едином реестре </span></p></td>
<td style="BORDER-BOTTOM: black 1pt solid; BORDER-LEFT: #ece9d8; PADDING-BOTTOM: 0cm; PADDING-LEFT: 2.85pt; PADDING-RIGHT: 2.85pt; BORDER-TOP: #ece9d8; BORDER-RIGHT: black 1pt solid; PADDING-TOP: 0cm" valign="top">
<p align="center"><span>2</span></p></td></tr>
<tr>
<td style="BORDER-BOTTOM: black 1pt solid; BORDER-LEFT: black 1pt solid; PADDING-BOTTOM: 0cm; PADDING-LEFT: 2.85pt; PADDING-RIGHT: 2.85pt; BORDER-TOP: #ece9d8; BORDER-RIGHT: black 1pt solid; PADDING-TOP: 0cm" colspan="2">
<p align="center"><span>Итоговый рейтинг</span></p></td>
<td style="BORDER-BOTTOM: black 1pt solid; BORDER-LEFT: #ece9d8; PADDING-BOTTOM: 0cm; PADDING-LEFT: 2.85pt; PADDING-RIGHT: 2.85pt; BORDER-TOP: #ece9d8; BORDER-RIGHT: black 1pt solid; PADDING-TOP: 0cm" valign="top">
<p align="center"><span>100</span></p></td></tr></tbody></table></div></div><div class="ACT_TEXT"><div name="3049922" id="3049922">9. По показателю 1.1. «Наличие опубликованных регламентов электронных государственных услуг» проводится анализ регламентов электронных государственных услуг, указанных в Едином реестре. Оценка производится на предмет наличия данных утвержденных регламентов по <a href="/ru/acts/3049875#3049923">таблице № 1</a>. </div></div><div class="BY_DEFAULT"><div name="3049923" id="3049923"><table style="BORDER-COLLAPSE: collapse; BACKGROUND: white" border="0" cellspacing="0" cellpadding="0" width="100%">
<tbody>
<tr>
<td style="BORDER-BOTTOM: black 1pt solid; BORDER-LEFT: #ece9d8; PADDING-BOTTOM: 0cm; PADDING-LEFT: 5.4pt; PADDING-RIGHT: 1.3pt; BORDER-TOP: #ece9d8; BORDER-RIGHT: #ece9d8; PADDING-TOP: 2.6pt">
<p style="TEXT-ALIGN: center; LINE-HEIGHT: normal" align="center"><span></span></p></td>
<td style="BORDER-BOTTOM: black 1pt solid; BORDER-LEFT: #ece9d8; PADDING-BOTTOM: 0cm; PADDING-LEFT: 5.4pt; PADDING-RIGHT: 1.3pt; BORDER-TOP: #ece9d8; BORDER-RIGHT: #ece9d8; PADDING-TOP: 2.6pt">
<p style="TEXT-ALIGN: center; LINE-HEIGHT: normal" align="center"></p></td>
<td style="BORDER-BOTTOM: black 1pt solid; BORDER-LEFT: #ece9d8; PADDING-BOTTOM: 0cm; PADDING-LEFT: 5.4pt; PADDING-RIGHT: 1.3pt; BORDER-TOP: #ece9d8; BORDER-RIGHT: #ece9d8; PADDING-TOP: 2.6pt" valign="top" colspan="2">
<p style="TEXT-ALIGN: center; LINE-HEIGHT: normal" align="center"></p></td>
<td style="BORDER-BOTTOM: black 1pt solid; BORDER-LEFT: #ece9d8; PADDING-BOTTOM: 0cm; PADDING-LEFT: 5.4pt; PADDING-RIGHT: 1.3pt; BORDER-TOP: #ece9d8; BORDER-RIGHT: #ece9d8; PADDING-TOP: 2.6pt">
<p style="TEXT-ALIGN: right; LINE-HEIGHT: normal" align="right"><span style="FONT-SIZE: 11pt">Таблица № 1</span></p></td></tr>
<tr>
<td style="BORDER-BOTTOM: black 1pt solid; BORDER-LEFT: black 1pt solid; PADDING-BOTTOM: 0cm; PADDING-LEFT: 5.4pt; PADDING-RIGHT: 1.3pt; BORDER-TOP: #ece9d8; BORDER-RIGHT: black 1pt solid; PADDING-TOP: 2.6pt">
<p style="TEXT-ALIGN: center; LINE-HEIGHT: normal" align="center"><span><strong>№</strong></span></p></td>
<td style="BORDER-BOTTOM: black 1pt solid; BORDER-LEFT: #ece9d8; PADDING-BOTTOM: 0cm; PADDING-LEFT: 5.4pt; PADDING-RIGHT: 1.3pt; BORDER-TOP: #ece9d8; BORDER-RIGHT: black 1pt solid; PADDING-TOP: 2.6pt">
<p style="TEXT-ALIGN: center; LINE-HEIGHT: normal" align="center"><span><strong>Показатель</strong></span></p></td>
<td style="BORDER-BOTTOM: black 1pt solid; BORDER-LEFT: #ece9d8; PADDING-BOTTOM: 0cm; PADDING-LEFT: 5.4pt; PADDING-RIGHT: 1.3pt; BORDER-TOP: #ece9d8; BORDER-RIGHT: black 1pt solid; PADDING-TOP: 2.6pt" valign="top" colspan="2">
<p style="TEXT-ALIGN: center; LINE-HEIGHT: normal" align="center"><span><strong>Удельный вес показателя</strong></span></p></td>
<td style="BORDER-BOTTOM: black 1pt solid; BORDER-LEFT: #ece9d8; PADDING-BOTTOM: 0cm; PADDING-LEFT: 5.4pt; PADDING-RIGHT: 1.3pt; BORDER-TOP: #ece9d8; BORDER-RIGHT: black 1pt solid; PADDING-TOP: 2.6pt">
<p style="TEXT-ALIGN: center; LINE-HEIGHT: normal" align="center"><span><strong>Метод оценки</strong></span></p></td></tr>
<tr>
<td style="BORDER-BOTTOM: black 1pt solid; BORDER-LEFT: black 1pt solid; PADDING-BOTTOM: 0cm; PADDING-LEFT: 5.4pt; PADDING-RIGHT: 1.3pt; BORDER-TOP: #ece9d8; BORDER-RIGHT: black 1pt solid; PADDING-TOP: 2.6pt" rowspan="3">
<p style="TEXT-ALIGN: center; LINE-HEIGHT: normal" align="center"><span>1.1</span></p></td>
<td style="BORDER-BOTTOM: black 1pt solid; BORDER-LEFT: #ece9d8; PADDING-BOTTOM: 0cm; PADDING-LEFT: 5.4pt; PADDING-RIGHT: 1.3pt; BORDER-TOP: #ece9d8; BORDER-RIGHT: black 1pt solid; PADDING-TOP: 2.6pt" rowspan="3">
<p style="LINE-HEIGHT: normal; TEXT-INDENT: 17.95pt"><span>Наличие опубликованных регламентов электронных государственных услуг</span></p></td>
<td style="BORDER-BOTTOM: black 1pt solid; BORDER-LEFT: #ece9d8; PADDING-BOTTOM: 0cm; PADDING-LEFT: 5.4pt; PADDING-RIGHT: 1.3pt; BORDER-TOP: #ece9d8; BORDER-RIGHT: black 1pt solid; PADDING-TOP: 2.6pt" rowspan="3">
<p style="TEXT-ALIGN: center; LINE-HEIGHT: normal" align="center"><span>2</span></p></td>
<td style="BORDER-BOTTOM: black 1pt solid; BORDER-LEFT: #ece9d8; PADDING-BOTTOM: 0cm; PADDING-LEFT: 5.4pt; PADDING-RIGHT: 1.3pt; BORDER-TOP: #ece9d8; BORDER-RIGHT: black 1pt solid; PADDING-TOP: 2.6pt">
<p style="TEXT-ALIGN: center; LINE-HEIGHT: normal" align="center"><span>2</span></p></td>
<td style="BORDER-BOTTOM: black 1pt solid; BORDER-LEFT: #ece9d8; PADDING-BOTTOM: 0cm; PADDING-LEFT: 5.4pt; PADDING-RIGHT: 1.3pt; BORDER-TOP: #ece9d8; BORDER-RIGHT: black 1pt solid; PADDING-TOP: 2.6pt" valign="top">
<p style="LINE-HEIGHT: normal"><span>Опубликованы утвержденные регламенты электронных государственных услуг.</span></p></td></tr>
<tr>
<td style="BORDER-BOTTOM: black 1pt solid; BORDER-LEFT: #ece9d8; PADDING-BOTTOM: 0cm; PADDING-LEFT: 5.4pt; PADDING-RIGHT: 1.3pt; BORDER-TOP: #ece9d8; BORDER-RIGHT: black 1pt solid; PADDING-TOP: 2.6pt">
<p style="TEXT-ALIGN: center; LINE-HEIGHT: normal" align="center"><span>1</span></p></td>
<td style="BORDER-BOTTOM: black 1pt solid; BORDER-LEFT: #ece9d8; PADDING-BOTTOM: 0cm; PADDING-LEFT: 5.4pt; PADDING-RIGHT: 1.3pt; BORDER-TOP: #ece9d8; BORDER-RIGHT: black 1pt solid; PADDING-TOP: 2.6pt" valign="top">
<p style="LINE-HEIGHT: normal"><span>Имеется информация о порядке предоставления оказания электронной государственной услуги, но отсутствует утвержденный регламент.</span></p></td></tr>
<tr>
<td style="BORDER-BOTTOM: black 1pt solid; BORDER-LEFT: #ece9d8; PADDING-BOTTOM: 0cm; PADDING-LEFT: 5.4pt; PADDING-RIGHT: 1.3pt; BORDER-TOP: #ece9d8; BORDER-RIGHT: black 1pt solid; PADDING-TOP: 2.6pt">
<p style="TEXT-ALIGN: center; LINE-HEIGHT: normal" align="center"><span>0</span></p></td>
<td style="BORDER-BOTTOM: black 1pt solid; BORDER-LEFT: #ece9d8; PADDING-BOTTOM: 0cm; PADDING-LEFT: 5.4pt; PADDING-RIGHT: 1.3pt; BORDER-TOP: #ece9d8; BORDER-RIGHT: black 1pt solid; PADDING-TOP: 2.6pt" valign="top">
<p style="LINE-HEIGHT: normal"><span>Информация отсутствует.</span></p></td></tr></tbody></table></div></div><div class="ACT_TEXT"><div name="3049924" id="3049924">10. Оценка показателя 1.1 рассчитывается по следующей формуле: </div></div><div class="TEXT_CENTER"><div name="3051496" id="3051496"><img src="/ru/files/3051489" /></div></div><div class="ACT_TEXT"><div name="3049927" id="3049927">R<sub>утв</sub> — коэффициент наличия опубликованных регламентов электронных государственных услуг;</div></div><div class="ACT_TEXT"><div name="3049928" id="3049928">n — количество всех электронных государственных услуг;</div></div><div class="ACT_TEXT"><div name="3049929" id="3049929">i — порядковый номер услуги (от 1 до n); </div></div><div class="ACT_TEXT"><div name="3049930" id="3049930">Y — удельный вес показателя. </div></div><div class="ACT_TEXT"><div name="3049931" id="3049931">11. Коэффициент наличия опубликованных регламентов электронных государственных услуг оценивается путем мониторинга наличия на веб-сайте государственного органа или иной организации, утвержденных регламентов по каждой электронной государственной услуге и рассчитывается как соотношение суммы удельного веса показателя, приведенного в таблице № 1, к количеству всех электронных государственных услуг.</div></div><div class="ACT_TEXT"><div name="3049932" id="3049932">12. По показателю 1.2. «Наличие возможности отслеживания хода оказания электронных государственных услуг» оценка производится на предмет наличия механизма отслеживания хода оказания электронных государственных услуг, предоставляемых через веб-сайт государственного органа или иной организации, по <a href="/ru/acts/3049875#3049933">таблице № 2</a>.</div></div><div class="BY_DEFAULT"><div name="3049933" id="3049933"><table style="BORDER-COLLAPSE: collapse; BACKGROUND: white" border="0" cellspacing="0" cellpadding="0" width="100%">
<tbody>
<tr>
<td style="BORDER-BOTTOM: black 1pt solid; BORDER-LEFT: #ece9d8; PADDING-BOTTOM: 0cm; PADDING-LEFT: 5.4pt; PADDING-RIGHT: 2.3pt; BORDER-TOP: #ece9d8; BORDER-RIGHT: #ece9d8; PADDING-TOP: 2.7pt">
<p style="TEXT-ALIGN: center; LINE-HEIGHT: normal" align="center"><span></span></p></td>
<td style="BORDER-BOTTOM: black 1pt solid; BORDER-LEFT: #ece9d8; PADDING-BOTTOM: 0cm; PADDING-LEFT: 5.4pt; PADDING-RIGHT: 2.3pt; BORDER-TOP: #ece9d8; BORDER-RIGHT: #ece9d8; PADDING-TOP: 2.7pt">
<p style="TEXT-ALIGN: center; LINE-HEIGHT: normal" align="center"></p></td>
<td style="BORDER-BOTTOM: black 1pt solid; BORDER-LEFT: #ece9d8; PADDING-BOTTOM: 0cm; PADDING-LEFT: 5.4pt; PADDING-RIGHT: 2.3pt; BORDER-TOP: #ece9d8; BORDER-RIGHT: #ece9d8; PADDING-TOP: 2.7pt" valign="top" colspan="2">
<p style="TEXT-ALIGN: center; LINE-HEIGHT: normal" align="center"></p></td>
<td style="BORDER-BOTTOM: black 1pt solid; BORDER-LEFT: #ece9d8; PADDING-BOTTOM: 0cm; PADDING-LEFT: 5.4pt; PADDING-RIGHT: 2.3pt; BORDER-TOP: #ece9d8; BORDER-RIGHT: #ece9d8; PADDING-TOP: 2.7pt">
<p style="TEXT-ALIGN: right; LINE-HEIGHT: normal" align="right"><span>Таблица № 2</span></p></td></tr>
<tr>
<td style="BORDER-BOTTOM: black 1pt solid; BORDER-LEFT: black 1pt solid; PADDING-BOTTOM: 0cm; PADDING-LEFT: 5.4pt; PADDING-RIGHT: 2.3pt; BORDER-TOP: #ece9d8; BORDER-RIGHT: black 1pt solid; PADDING-TOP: 2.7pt">
<p style="TEXT-ALIGN: center; LINE-HEIGHT: normal" align="center"><b><span>№</span></b></p></td>
<td style="BORDER-BOTTOM: black 1pt solid; BORDER-LEFT: #ece9d8; PADDING-BOTTOM: 0cm; PADDING-LEFT: 5.4pt; PADDING-RIGHT: 2.3pt; BORDER-TOP: #ece9d8; BORDER-RIGHT: black 1pt solid; PADDING-TOP: 2.7pt">
<p style="TEXT-ALIGN: center; LINE-HEIGHT: normal" align="center"><b><span>Показатель</span></b></p></td>
<td style="BORDER-BOTTOM: black 1pt solid; BORDER-LEFT: #ece9d8; PADDING-BOTTOM: 0cm; PADDING-LEFT: 5.4pt; PADDING-RIGHT: 2.3pt; BORDER-TOP: #ece9d8; BORDER-RIGHT: black 1pt solid; PADDING-TOP: 2.7pt" colspan="2">
<p style="TEXT-ALIGN: center; LINE-HEIGHT: normal" align="center"><b><span>Удельный вес показателя</span></b></p></td>
<td style="BORDER-BOTTOM: black 1pt solid; BORDER-LEFT: #ece9d8; PADDING-BOTTOM: 0cm; PADDING-LEFT: 5.4pt; PADDING-RIGHT: 2.3pt; BORDER-TOP: #ece9d8; BORDER-RIGHT: black 1pt solid; PADDING-TOP: 2.7pt">
<p style="TEXT-ALIGN: center; LINE-HEIGHT: normal" align="center"><b><span>Метод оценки</span></b></p></td></tr>
<tr>
<td style="BORDER-BOTTOM: black 1pt solid; BORDER-LEFT: black 1pt solid; PADDING-BOTTOM: 0cm; PADDING-LEFT: 5.4pt; PADDING-RIGHT: 2.3pt; BORDER-TOP: #ece9d8; BORDER-RIGHT: black 1pt solid; PADDING-TOP: 2.7pt" rowspan="4">
<p style="TEXT-ALIGN: center; LINE-HEIGHT: normal" align="center"><span>1.2</span></p></td>
<td style="BORDER-BOTTOM: black 1pt solid; BORDER-LEFT: #ece9d8; PADDING-BOTTOM: 0cm; PADDING-LEFT: 5.4pt; PADDING-RIGHT: 2.3pt; BORDER-TOP: #ece9d8; BORDER-RIGHT: black 1pt solid; PADDING-TOP: 2.7pt" rowspan="4">
<p style="LINE-HEIGHT: normal; TEXT-INDENT: 22.95pt"><span>Наличие возможности отслеживания хода оказания электронных государственных услуг </span></p></td>
<td style="BORDER-BOTTOM: black 1pt solid; BORDER-LEFT: #ece9d8; PADDING-BOTTOM: 0cm; PADDING-LEFT: 5.4pt; PADDING-RIGHT: 2.3pt; BORDER-TOP: #ece9d8; BORDER-RIGHT: black 1pt solid; PADDING-TOP: 2.7pt" rowspan="4">
<p style="TEXT-ALIGN: center; LINE-HEIGHT: normal" align="center"><span>10</span></p></td>
<td style="BORDER-BOTTOM: black 1pt solid; BORDER-LEFT: #ece9d8; PADDING-BOTTOM: 0cm; PADDING-LEFT: 5.4pt; PADDING-RIGHT: 2.3pt; BORDER-TOP: #ece9d8; BORDER-RIGHT: black 1pt solid; PADDING-TOP: 2.7pt">
<p style="TEXT-ALIGN: center; LINE-HEIGHT: normal" align="center"><span>10</span></p></td>
<td style="BORDER-BOTTOM: black 1pt solid; BORDER-LEFT: #ece9d8; PADDING-BOTTOM: 0cm; PADDING-LEFT: 5.4pt; PADDING-RIGHT: 2.3pt; BORDER-TOP: #ece9d8; BORDER-RIGHT: black 1pt solid; PADDING-TOP: 2.7pt" valign="top">
<p style="LINE-HEIGHT: normal; TEXT-INDENT: 22.95pt"><span>Имеется возможность отслеживания через Единый портал, веб-сайт, СМС-сообщения, электронную почту, единый номер телефона и/или телефон доверия/call-центр.</span></p></td></tr>
<tr>
<td style="BORDER-BOTTOM: black 1pt solid; BORDER-LEFT: #ece9d8; PADDING-BOTTOM: 0cm; PADDING-LEFT: 5.4pt; PADDING-RIGHT: 2.3pt; BORDER-TOP: #ece9d8; BORDER-RIGHT: black 1pt solid; PADDING-TOP: 2.7pt">
<p style="TEXT-ALIGN: center; LINE-HEIGHT: normal" align="center"><span>6</span></p></td>
<td style="BORDER-BOTTOM: black 1pt solid; BORDER-LEFT: #ece9d8; PADDING-BOTTOM: 0cm; PADDING-LEFT: 5.4pt; PADDING-RIGHT: 2.3pt; BORDER-TOP: #ece9d8; BORDER-RIGHT: black 1pt solid; PADDING-TOP: 2.7pt" valign="top">
<p style="LINE-HEIGHT: normal; TEXT-INDENT: 22.95pt"><span>Имеется возможность отслеживания через веб-сайт, СМС-сообщения, электронную почту, единый номер телефона и/или телефон доверия/call-центр.</span></p></td></tr>
<tr>
<td style="BORDER-BOTTOM: black 1pt solid; BORDER-LEFT: #ece9d8; PADDING-BOTTOM: 0cm; PADDING-LEFT: 5.4pt; PADDING-RIGHT: 2.3pt; BORDER-TOP: #ece9d8; BORDER-RIGHT: black 1pt solid; PADDING-TOP: 2.7pt">
<p style="TEXT-ALIGN: center; LINE-HEIGHT: normal" align="center"><span>2</span></p></td>
<td style="BORDER-BOTTOM: black 1pt solid; BORDER-LEFT: #ece9d8; PADDING-BOTTOM: 0cm; PADDING-LEFT: 5.4pt; PADDING-RIGHT: 2.3pt; BORDER-TOP: #ece9d8; BORDER-RIGHT: black 1pt solid; PADDING-TOP: 2.7pt" valign="top">
<p style="LINE-HEIGHT: normal; TEXT-INDENT: 22.95pt"><span>Имеется возможность отслеживания через единый номер телефона и/или телефон доверия/call-центр.</span></p></td></tr>
<tr>
<td style="BORDER-BOTTOM: black 1pt solid; BORDER-LEFT: #ece9d8; PADDING-BOTTOM: 0cm; PADDING-LEFT: 5.4pt; PADDING-RIGHT: 2.3pt; BORDER-TOP: #ece9d8; BORDER-RIGHT: black 1pt solid; PADDING-TOP: 2.7pt">
<p style="TEXT-ALIGN: center; LINE-HEIGHT: normal" align="center"><span>0 </span></p></td>
<td style="BORDER-BOTTOM: black 1pt solid; BORDER-LEFT: #ece9d8; PADDING-BOTTOM: 0cm; PADDING-LEFT: 5.4pt; PADDING-RIGHT: 2.3pt; BORDER-TOP: #ece9d8; BORDER-RIGHT: black 1pt solid; PADDING-TOP: 2.7pt" valign="top">
<p style="LINE-HEIGHT: normal; TEXT-INDENT: 22.95pt"><span>Возможность отслеживания отсутствует.</span></p></td></tr></tbody></table></div></div><div class="ACT_TEXT"><div name="3049934" id="3049934">13. Оценка показателя 1.2 рассчитывается по следующей формуле: </div></div><div class="TEXT_CENTER"><div name="3049935" id="3049935"><img src="/ru/files/3051036" /></div></div><div class="ACT_TEXT"><div name="3049936" id="3049936">Z<sub>ход</sub> — коэффициент наличия возможности отслеживания хода оказания электронных государственных услуг; </div></div><div class="ACT_TEXT"><div name="3049937" id="3049937">n — количество всех электронных государственных услуг; </div></div><div class="ACT_TEXT"><div name="3049938" id="3049938">i — порядковый номер услуги (от 1 до n); </div></div><div class="ACT_TEXT"><div name="3049939" id="3049939">Y — удельный вес показателя. </div></div><div class="ACT_TEXT"><div name="3049940" id="3049940">14. Коэффициент наличия возможности отслеживания хода оказания электронных государственных услуг определяется путем мониторинга наличия функции отслеживания и рассчитывается как соотношение суммы удельного веса показателя к количеству всех электронных государственных услуг.</div></div><div class="ACT_TEXT"><div name="3049941" id="3049941">15. По показателю 1.3. «Проведение онлайн-опросов по совершенствованию электронных государственных услуг» оценка производится на предмет проведения онлайн-опросов в целях совершенствования порядка и качества предоставления электронных государственных услуг, внедренных на веб-сайте государственного органа или иной организации, по <a href="/ru/acts/3049875#3049942">таблице № 3</a>.</div></div><div class="BY_DEFAULT"><div name="3049942" id="3049942"><table style="BORDER-COLLAPSE: collapse; BACKGROUND: white" border="0" cellspacing="0" cellpadding="0" width="100%">
<tbody>
<tr>
<td style="BORDER-BOTTOM: black 1pt solid; BORDER-LEFT: #ece9d8; PADDING-BOTTOM: 0cm; PADDING-LEFT: 5.4pt; PADDING-RIGHT: 2.3pt; BORDER-TOP: #ece9d8; BORDER-RIGHT: #ece9d8; PADDING-TOP: 2.7pt">
<p style="TEXT-ALIGN: center; LINE-HEIGHT: normal" align="center"><span></span></p></td>
<td style="BORDER-BOTTOM: black 1pt solid; BORDER-LEFT: #ece9d8; PADDING-BOTTOM: 0cm; PADDING-LEFT: 5.4pt; PADDING-RIGHT: 2.3pt; BORDER-TOP: #ece9d8; BORDER-RIGHT: #ece9d8; PADDING-TOP: 2.7pt">
<p style="TEXT-ALIGN: center; LINE-HEIGHT: normal" align="center"></p></td>
<td style="BORDER-BOTTOM: black 1pt solid; BORDER-LEFT: #ece9d8; PADDING-BOTTOM: 0cm; PADDING-LEFT: 5.4pt; PADDING-RIGHT: 2.3pt; BORDER-TOP: #ece9d8; BORDER-RIGHT: #ece9d8; PADDING-TOP: 2.7pt" valign="top" colspan="2">
<p style="TEXT-ALIGN: center; LINE-HEIGHT: normal" align="center"></p></td>
<td style="BORDER-BOTTOM: black 1pt solid; BORDER-LEFT: #ece9d8; PADDING-BOTTOM: 0cm; PADDING-LEFT: 5.4pt; PADDING-RIGHT: 2.3pt; BORDER-TOP: #ece9d8; BORDER-RIGHT: #ece9d8; PADDING-TOP: 2.7pt">
<p style="TEXT-ALIGN: right; LINE-HEIGHT: normal" align="right"><span>Таблица № 3</span></p></td></tr>
<tr>
<td style="BORDER-BOTTOM: black 1pt solid; BORDER-LEFT: black 1pt solid; PADDING-BOTTOM: 0cm; PADDING-LEFT: 5.4pt; PADDING-RIGHT: 2.3pt; BORDER-TOP: #ece9d8; BORDER-RIGHT: black 1pt solid; PADDING-TOP: 2.7pt">
<p style="TEXT-ALIGN: center; LINE-HEIGHT: normal" align="center"><span><strong>№</strong></span></p></td>
<td style="BORDER-BOTTOM: black 1pt solid; BORDER-LEFT: #ece9d8; PADDING-BOTTOM: 0cm; PADDING-LEFT: 5.4pt; PADDING-RIGHT: 2.3pt; BORDER-TOP: #ece9d8; BORDER-RIGHT: black 1pt solid; PADDING-TOP: 2.7pt">
<p style="TEXT-ALIGN: center; LINE-HEIGHT: normal" align="center"><span><strong>Показатель </strong></span></p></td>
<td style="BORDER-BOTTOM: black 1pt solid; BORDER-LEFT: #ece9d8; PADDING-BOTTOM: 0cm; PADDING-LEFT: 5.4pt; PADDING-RIGHT: 2.3pt; BORDER-TOP: #ece9d8; BORDER-RIGHT: black 1pt solid; PADDING-TOP: 2.7pt" valign="top" colspan="2">
<p style="TEXT-ALIGN: center; LINE-HEIGHT: normal" align="center"><span><strong>Удельный вес показателя</strong></span></p></td>
<td style="BORDER-BOTTOM: black 1pt solid; BORDER-LEFT: #ece9d8; PADDING-BOTTOM: 0cm; PADDING-LEFT: 5.4pt; PADDING-RIGHT: 2.3pt; BORDER-TOP: #ece9d8; BORDER-RIGHT: black 1pt solid; PADDING-TOP: 2.7pt">
<p style="TEXT-ALIGN: center; LINE-HEIGHT: normal" align="center"><span><strong>Метод оценки </strong></span></p></td></tr>
<tr>
<td style="BORDER-BOTTOM: black 1pt solid; BORDER-LEFT: black 1pt solid; PADDING-BOTTOM: 0cm; PADDING-LEFT: 5.4pt; PADDING-RIGHT: 2.3pt; BORDER-TOP: #ece9d8; BORDER-RIGHT: black 1pt solid; PADDING-TOP: 2.7pt" rowspan="4">
<p style="TEXT-ALIGN: center; LINE-HEIGHT: normal" align="center"><span>1.3</span></p></td>
<td style="BORDER-BOTTOM: black 1pt solid; BORDER-LEFT: #ece9d8; PADDING-BOTTOM: 0cm; PADDING-LEFT: 5.4pt; PADDING-RIGHT: 2.3pt; BORDER-TOP: #ece9d8; BORDER-RIGHT: black 1pt solid; PADDING-TOP: 2.7pt" rowspan="4">
<p style="LINE-HEIGHT: normal; TEXT-INDENT: 17.95pt"><span>Проведение онлайн-опросов по совершенствованию электронных государственных услуг</span></p></td>
<td style="BORDER-BOTTOM: black 1pt solid; BORDER-LEFT: #ece9d8; PADDING-BOTTOM: 0cm; PADDING-LEFT: 5.4pt; PADDING-RIGHT: 2.3pt; BORDER-TOP: #ece9d8; BORDER-RIGHT: black 1pt solid; PADDING-TOP: 2.7pt" rowspan="4">
<p style="TEXT-ALIGN: center; LINE-HEIGHT: normal" align="center"><span>8</span></p></td>
<td style="BORDER-BOTTOM: black 1pt solid; BORDER-LEFT: #ece9d8; PADDING-BOTTOM: 0cm; PADDING-LEFT: 5.4pt; PADDING-RIGHT: 2.3pt; BORDER-TOP: #ece9d8; BORDER-RIGHT: black 1pt solid; PADDING-TOP: 2.7pt">
<p style="TEXT-ALIGN: center; LINE-HEIGHT: normal" align="center"><span>8</span></p></td>
<td style="BORDER-BOTTOM: black 1pt solid; BORDER-LEFT: #ece9d8; PADDING-BOTTOM: 0cm; PADDING-LEFT: 5.4pt; PADDING-RIGHT: 2.3pt; BORDER-TOP: #ece9d8; BORDER-RIGHT: black 1pt solid; PADDING-TOP: 2.7pt" valign="top">
<p style="LINE-HEIGHT: normal; TEXT-INDENT: 15.85pt"><span>Онлайн-опросы проводятся и обновляются не реже одного раза в месяц (не менее 3 опросов), а также публикуются их результаты.</span></p></td></tr>
<tr>
<td style="BORDER-BOTTOM: black 1pt solid; BORDER-LEFT: #ece9d8; PADDING-BOTTOM: 0cm; PADDING-LEFT: 5.4pt; PADDING-RIGHT: 2.3pt; BORDER-TOP: #ece9d8; BORDER-RIGHT: black 1pt solid; PADDING-TOP: 2.7pt">
<p style="TEXT-ALIGN: center; LINE-HEIGHT: normal" align="center"><span>4</span></p></td>
<td style="BORDER-BOTTOM: black 1pt solid; BORDER-LEFT: #ece9d8; PADDING-BOTTOM: 0cm; PADDING-LEFT: 5.4pt; PADDING-RIGHT: 2.3pt; BORDER-TOP: #ece9d8; BORDER-RIGHT: black 1pt solid; PADDING-TOP: 2.7pt" valign="top">
<p style="LINE-HEIGHT: normal; TEXT-INDENT: 15.85pt"><span>Онлайн-опросы проводятся и обновляются не реже одного раза в квартале (не менее 3 опросов), но их результаты не публикуются.</span></p></td></tr>
<tr>
<td style="BORDER-BOTTOM: black 1pt solid; BORDER-LEFT: #ece9d8; PADDING-BOTTOM: 0cm; PADDING-LEFT: 5.4pt; PADDING-RIGHT: 2.3pt; BORDER-TOP: #ece9d8; BORDER-RIGHT: black 1pt solid; PADDING-TOP: 2.7pt">
<p style="TEXT-ALIGN: center; LINE-HEIGHT: normal" align="center"><span>2</span></p></td>
<td style="BORDER-BOTTOM: black 1pt solid; BORDER-LEFT: #ece9d8; PADDING-BOTTOM: 0cm; PADDING-LEFT: 5.4pt; PADDING-RIGHT: 2.3pt; BORDER-TOP: #ece9d8; BORDER-RIGHT: black 1pt solid; PADDING-TOP: 2.7pt" valign="top">
<p style="LINE-HEIGHT: normal; TEXT-INDENT: 15.85pt"><span>Онлайн-опросы проводятся и обновляются не реже одного раза в год (не менее 3 опросов), но их результаты не публикуются.</span></p></td></tr>
<tr>
<td style="BORDER-BOTTOM: black 1pt solid; BORDER-LEFT: #ece9d8; PADDING-BOTTOM: 0cm; PADDING-LEFT: 5.4pt; PADDING-RIGHT: 2.3pt; BORDER-TOP: #ece9d8; BORDER-RIGHT: black 1pt solid; PADDING-TOP: 2.7pt">
<p style="TEXT-ALIGN: center; LINE-HEIGHT: normal" align="center"><span>0</span></p></td>
<td style="BORDER-BOTTOM: black 1pt solid; BORDER-LEFT: #ece9d8; PADDING-BOTTOM: 0cm; PADDING-LEFT: 5.4pt; PADDING-RIGHT: 2.3pt; BORDER-TOP: #ece9d8; BORDER-RIGHT: black 1pt solid; PADDING-TOP: 2.7pt" valign="top">
<p style="LINE-HEIGHT: normal; TEXT-INDENT: 15.85pt"><span>В год проводятся не более трех онлайн-опросов.</span></p></td></tr></tbody></table></div></div><div class="ACT_TEXT"><div name="3049943" id="3049943">16. По показателю 1.4. «Наличие инструмента оценки заявителем результата получения электронных государственных услуг» оценка производится на предмет наличия инструмента оценки заявителем результата получения электронных государственных услуг, предоставляемых через веб-сайт государственного органа или иной организации, по <a href="/ru/acts/3049875#3049944">таблице № 4</a>.</div></div><div class="BY_DEFAULT"><div name="3049944" id="3049944"><table style="BORDER-COLLAPSE: collapse; BACKGROUND: white" border="0" cellspacing="0" cellpadding="0" width="100%">
<tbody>
<tr>
<td style="BORDER-BOTTOM: black 1pt solid; BORDER-LEFT: #ece9d8; PADDING-BOTTOM: 0cm; PADDING-LEFT: 5.4pt; PADDING-RIGHT: 2.3pt; BORDER-TOP: #ece9d8; BORDER-RIGHT: #ece9d8; PADDING-TOP: 2.6pt">
<p style="TEXT-ALIGN: left; LINE-HEIGHT: normal" align="left"><span></span></p></td>
<td style="BORDER-BOTTOM: black 1pt solid; BORDER-LEFT: #ece9d8; PADDING-BOTTOM: 0cm; PADDING-LEFT: 5.4pt; PADDING-RIGHT: 2.3pt; BORDER-TOP: #ece9d8; BORDER-RIGHT: #ece9d8; PADDING-TOP: 2.6pt">
<p style="TEXT-ALIGN: center; LINE-HEIGHT: normal" align="center"></p></td>
<td style="BORDER-BOTTOM: black 1pt solid; BORDER-LEFT: #ece9d8; PADDING-BOTTOM: 0cm; PADDING-LEFT: 5.4pt; PADDING-RIGHT: 2.3pt; BORDER-TOP: #ece9d8; BORDER-RIGHT: #ece9d8; PADDING-TOP: 2.6pt" valign="top" colspan="2">
<p style="TEXT-ALIGN: center; LINE-HEIGHT: normal" align="center"></p></td>
<td style="BORDER-BOTTOM: black 1pt solid; BORDER-LEFT: #ece9d8; PADDING-BOTTOM: 0cm; PADDING-LEFT: 5.4pt; PADDING-RIGHT: 2.3pt; BORDER-TOP: #ece9d8; BORDER-RIGHT: #ece9d8; PADDING-TOP: 2.6pt">
<p style="TEXT-ALIGN: right; LINE-HEIGHT: normal" align="right"><span>Таблица № 4</span></p></td></tr>
<tr>
<td style="BORDER-BOTTOM: black 1pt solid; BORDER-LEFT: black 1pt solid; PADDING-BOTTOM: 0cm; PADDING-LEFT: 5.4pt; PADDING-RIGHT: 2.3pt; BORDER-TOP: #ece9d8; BORDER-RIGHT: black 1pt solid; PADDING-TOP: 2.6pt">
<p style="TEXT-ALIGN: center; LINE-HEIGHT: normal" align="center"><b><span>№</span></b></p></td>
<td style="BORDER-BOTTOM: black 1pt solid; BORDER-LEFT: #ece9d8; PADDING-BOTTOM: 0cm; PADDING-LEFT: 5.4pt; PADDING-RIGHT: 2.3pt; BORDER-TOP: #ece9d8; BORDER-RIGHT: black 1pt solid; PADDING-TOP: 2.6pt">
<p style="TEXT-ALIGN: center; LINE-HEIGHT: normal" align="center"><b><span>Показатель</span></b></p></td>
<td style="BORDER-BOTTOM: black 1pt solid; BORDER-LEFT: #ece9d8; PADDING-BOTTOM: 0cm; PADDING-LEFT: 5.4pt; PADDING-RIGHT: 2.3pt; BORDER-TOP: #ece9d8; BORDER-RIGHT: black 1pt solid; PADDING-TOP: 2.6pt" colspan="2">
<p style="TEXT-ALIGN: center; LINE-HEIGHT: normal" align="center"><b><span>Удельный вес показателя</span></b></p></td>
<td style="BORDER-BOTTOM: black 1pt solid; BORDER-LEFT: #ece9d8; PADDING-BOTTOM: 0cm; PADDING-LEFT: 5.4pt; PADDING-RIGHT: 2.3pt; BORDER-TOP: #ece9d8; BORDER-RIGHT: black 1pt solid; PADDING-TOP: 2.6pt">
<p style="TEXT-ALIGN: center; LINE-HEIGHT: normal" align="center"><b><span>Метод оценки</span></b></p></td></tr>
<tr>
<td style="BORDER-BOTTOM: black 1pt solid; BORDER-LEFT: black 1pt solid; PADDING-BOTTOM: 0cm; PADDING-LEFT: 5.4pt; PADDING-RIGHT: 2.3pt; BORDER-TOP: #ece9d8; BORDER-RIGHT: black 1pt solid; PADDING-TOP: 2.6pt" rowspan="3">
<p style="TEXT-ALIGN: center; LINE-HEIGHT: normal" align="center"><span>1.4</span></p></td>
<td style="BORDER-BOTTOM: black 1pt solid; BORDER-LEFT: #ece9d8; PADDING-BOTTOM: 0cm; PADDING-LEFT: 5.4pt; PADDING-RIGHT: 2.3pt; BORDER-TOP: #ece9d8; BORDER-RIGHT: black 1pt solid; PADDING-TOP: 2.6pt" rowspan="3">
<p style="LINE-HEIGHT: normal; TEXT-INDENT: 22.95pt"><span>Наличие инструмента оценки заявителем результата получения электронных государственных услуг</span></p></td>
<td style="BORDER-BOTTOM: black 1pt solid; BORDER-LEFT: #ece9d8; PADDING-BOTTOM: 0cm; PADDING-LEFT: 5.4pt; PADDING-RIGHT: 2.3pt; BORDER-TOP: #ece9d8; BORDER-RIGHT: black 1pt solid; PADDING-TOP: 2.6pt" rowspan="3">
<p style="TEXT-ALIGN: center; LINE-HEIGHT: normal" align="center"><span>5</span></p></td>
<td style="BORDER-BOTTOM: black 1pt solid; BORDER-LEFT: #ece9d8; PADDING-BOTTOM: 0cm; PADDING-LEFT: 5.4pt; PADDING-RIGHT: 2.3pt; BORDER-TOP: #ece9d8; BORDER-RIGHT: black 1pt solid; PADDING-TOP: 2.6pt">
<p style="TEXT-ALIGN: center; LINE-HEIGHT: normal" align="center"><span>5</span></p></td>
<td style="BORDER-BOTTOM: black 1pt solid; BORDER-LEFT: #ece9d8; PADDING-BOTTOM: 0cm; PADDING-LEFT: 5.4pt; PADDING-RIGHT: 2.3pt; BORDER-TOP: #ece9d8; BORDER-RIGHT: black 1pt solid; PADDING-TOP: 2.6pt" valign="top">
<p style="LINE-HEIGHT: normal; TEXT-INDENT: 15.9pt"><span>Имеется и функционирует инструмент оценки.</span></p></td></tr>
<tr>
<td style="BORDER-BOTTOM: black 1pt solid; BORDER-LEFT: #ece9d8; PADDING-BOTTOM: 0cm; PADDING-LEFT: 5.4pt; PADDING-RIGHT: 2.3pt; BORDER-TOP: #ece9d8; BORDER-RIGHT: black 1pt solid; PADDING-TOP: 2.6pt">
<p style="TEXT-ALIGN: center; LINE-HEIGHT: normal" align="center"><span>1</span></p></td>
<td style="BORDER-BOTTOM: black 1pt solid; BORDER-LEFT: #ece9d8; PADDING-BOTTOM: 0cm; PADDING-LEFT: 5.4pt; PADDING-RIGHT: 2.3pt; BORDER-TOP: #ece9d8; BORDER-RIGHT: black 1pt solid; PADDING-TOP: 2.6pt" valign="top">
<p style="LINE-HEIGHT: normal; TEXT-INDENT: 15.9pt"><span>Имеется инструмент, но не функционирует. </span></p></td></tr>
<tr>
<td style="BORDER-BOTTOM: black 1pt solid; BORDER-LEFT: #ece9d8; PADDING-BOTTOM: 0cm; PADDING-LEFT: 5.4pt; PADDING-RIGHT: 2.3pt; BORDER-TOP: #ece9d8; BORDER-RIGHT: black 1pt solid; PADDING-TOP: 2.6pt" valign="top">
<p style="TEXT-ALIGN: center; LINE-HEIGHT: normal" align="center"><span>0</span></p></td>
<td style="BORDER-BOTTOM: black 1pt solid; BORDER-LEFT: #ece9d8; PADDING-BOTTOM: 0cm; PADDING-LEFT: 5.4pt; PADDING-RIGHT: 2.3pt; BORDER-TOP: #ece9d8; BORDER-RIGHT: black 1pt solid; PADDING-TOP: 2.6pt" valign="top">
<p style="TEXT-ALIGN: left; LINE-HEIGHT: normal; TEXT-INDENT: 15.9pt" align="left"><span>Инструмент отсутствует.</span></p></td></tr></tbody></table></div></div><div class="ACT_TEXT"><div name="3049945" id="3049945">17. Оценка показателя 1.4 рассчитывается по следующей формуле: </div></div><div class="TEXT_CENTER"><div name="3049946" id="3049946"><img src="/ru/files/3051038" /></div></div><div class="ACT_TEXT"><div name="3049947" id="3049947">Z<sub>рез</sub> — коэффициент наличия инструмента оценки заявителем результата получения электронных государственных услуг; </div></div><div class="ACT_TEXT"><div name="3049948" id="3049948">n — количество всех электронных государственных услуг;</div></div><div class="ACT_TEXT"><div name="3049949" id="3049949">i — порядковый номер услуги (от 1 до n);</div></div><div class="ACT_TEXT"><div name="3049950" id="3049950">Y — удельный вес показателя. </div></div><div class="ACT_TEXT"><div name="3049951" id="3049951">18. Коэффициент наличия инструмента оценки заявителем результата получения электронных государственных услуг определяется путем мониторинга наличия данного инструмента и рассчитывается как соотношение суммы удельного веса показателя к количеству всех электронных государственных услуг.</div></div><div class="ACT_TEXT"><div name="3049952" id="3049952">19. По показателю 1.5. «Степень оптимизации электронных государственных услуг» оценка производится на основе анализа утвержденных регламентов электронных государственных услуг, указанных в Едином реестре. </div></div><div class="ACT_TEXT"><div name="3049953" id="3049953">20. Оценка показателя 1.5 рассчитывается по следующей формуле: </div></div><div class="TEXT_CENTER"><div name="3049954" id="3049954"><img src="/ru/files/3051039" /></div></div><div class="ACT_TEXT"><div name="3049955" id="3049955">K<sub>опт</sub> — коэффициент степени оптимизации электронных государственных услуг; </div></div><div class="ACT_TEXT"><div name="3049956" id="3049956">S — количество измененных регламентов электронных государственных услуг, в которых сокращены сроки оказания услуг и/или количество необходимых документов, требуемых для осуществления услуги и/или стоимость оказания услуг по состоянию на конец отчетного периода; </div></div><div class="ACT_TEXT"><div name="3049957" id="3049957">R — общее количество регламентов электронных государственных услуг. </div></div><div class="ACT_TEXT"><div name="3049958" id="3049958">Y — удельный вес показателя.</div></div><div class="ACT_TEXT"><div name="3049959" id="3049959">21. Коэффициент степени оптимизации электронных государственных услуг рассчитывается как соотношение количества измененных регламентов электронных государственных услуг, в которых сокращены сроки оказания услуг и/или количество необходимых документов, требуемых для осуществления услуги, и/или стоимость оказания услуг по состоянию на конец отчетного периода, к общему количеству регламентов электронных государственных услуг, умноженное на удельный вес показателя.</div></div><div class="ACT_TEXT"><div name="3049960" id="3049960">22. В случае, если на конец отчетного периода государственный орган или иная организация имеет измененный регламент электронной государственной услуги, в котором увеличены сроки оказания услуг и/или количество необходимых документов, требуемых для осуществления услуги, государственный орган получает «0» баллов за данный показатель.</div></div><div class="ACT_TEXT"><div name="3049961" id="3049961">23. По показателю 1.6. «Степень автоматизации электронных государственных услуг» оценка степени автоматизации электронных государственных услуг производится по <a href="/ru/acts/3049875#3049962">таблице № 5</a>. </div></div><div class="BY_DEFAULT"><div name="3049962" id="3049962"><div align="center">
<table style="BORDER-BOTTOM: medium none; BORDER-LEFT: medium none; BORDER-COLLAPSE: collapse; BACKGROUND: white; BORDER-TOP: medium none; BORDER-RIGHT: medium none" border="1" cellspacing="0" cellpadding="0" width="100%">
<tbody>
<tr>
<td style="BORDER-BOTTOM: black 1pt solid; BORDER-LEFT: #ece9d8; PADDING-BOTTOM: 0cm; PADDING-LEFT: 5.4pt; PADDING-RIGHT: 5.4pt; BORDER-TOP: #ece9d8; BORDER-RIGHT: #ece9d8; PADDING-TOP: 0cm">
<p style="TEXT-ALIGN: center; LINE-HEIGHT: normal" align="center"><span style="COLOR: windowtext"></span></p></td>
<td style="BORDER-BOTTOM: black 1pt solid; BORDER-LEFT: #ece9d8; PADDING-BOTTOM: 0cm; PADDING-LEFT: 5.4pt; PADDING-RIGHT: 5.4pt; BORDER-TOP: #ece9d8; BORDER-RIGHT: #ece9d8; PADDING-TOP: 0cm">
<p style="TEXT-ALIGN: center; LINE-HEIGHT: normal" align="center"></p></td>
<td style="BORDER-BOTTOM: black 1pt solid; BORDER-LEFT: #ece9d8; PADDING-BOTTOM: 0cm; PADDING-LEFT: 5.4pt; PADDING-RIGHT: 5.4pt; BORDER-TOP: #ece9d8; BORDER-RIGHT: #ece9d8; PADDING-TOP: 0cm" colspan="3">
<p style="TEXT-ALIGN: center; LINE-HEIGHT: normal" align="center"></p></td>
<td style="BORDER-BOTTOM: black 1pt solid; BORDER-LEFT: #ece9d8; PADDING-BOTTOM: 0cm; PADDING-LEFT: 5.4pt; PADDING-RIGHT: 5.4pt; BORDER-TOP: #ece9d8; BORDER-RIGHT: #ece9d8; PADDING-TOP: 0cm">
<p style="TEXT-ALIGN: right; LINE-HEIGHT: normal" align="right"><span>Таблица № 5</span></p></td></tr>
<tr>
<td style="BORDER-BOTTOM: black 1pt solid; BORDER-LEFT: black 1pt solid; PADDING-BOTTOM: 0cm; PADDING-LEFT: 5.4pt; PADDING-RIGHT: 5.4pt; BORDER-TOP: #ece9d8; BORDER-RIGHT: black 1pt solid; PADDING-TOP: 0cm">
<p style="TEXT-ALIGN: center; LINE-HEIGHT: normal" align="center"><span style="COLOR: windowtext"><strong>№</strong></span></p></td>
<td style="BORDER-BOTTOM: black 1pt solid; BORDER-LEFT: #ece9d8; PADDING-BOTTOM: 0cm; PADDING-LEFT: 5.4pt; PADDING-RIGHT: 5.4pt; BORDER-TOP: #ece9d8; BORDER-RIGHT: black 1pt solid; PADDING-TOP: 0cm">
<p style="TEXT-ALIGN: center; LINE-HEIGHT: normal" align="center"><span style="COLOR: windowtext"><strong>Показатель</strong></span></p></td>
<td style="BORDER-BOTTOM: black 1pt solid; BORDER-LEFT: #ece9d8; PADDING-BOTTOM: 0cm; PADDING-LEFT: 5.4pt; PADDING-RIGHT: 5.4pt; BORDER-TOP: #ece9d8; BORDER-RIGHT: black 1pt solid; PADDING-TOP: 0cm" colspan="3">
<p style="TEXT-ALIGN: center; LINE-HEIGHT: normal" align="center"><span style="COLOR: windowtext"><strong>Удельный вес показателя</strong></span></p></td>
<td style="BORDER-BOTTOM: black 1pt solid; BORDER-LEFT: #ece9d8; PADDING-BOTTOM: 0cm; PADDING-LEFT: 5.4pt; PADDING-RIGHT: 5.4pt; BORDER-TOP: #ece9d8; BORDER-RIGHT: black 1pt solid; PADDING-TOP: 0cm">
<p style="TEXT-ALIGN: center; LINE-HEIGHT: normal" align="center"><span style="COLOR: windowtext"><strong>Метод оценки</strong></span></p></td></tr>
<tr>
<td style="BORDER-BOTTOM: windowtext 1pt solid; BORDER-LEFT: windowtext 1pt solid; PADDING-BOTTOM: 0cm; PADDING-LEFT: 5.4pt; PADDING-RIGHT: 5.4pt; BORDER-TOP: #ece9d8; BORDER-RIGHT: windowtext 1pt solid; PADDING-TOP: 0cm" rowspan="3">
<p style="TEXT-ALIGN: center; LINE-HEIGHT: normal" align="center"><span style="COLOR: windowtext">1.6</span></p></td>
<td style="BORDER-BOTTOM: windowtext 1pt solid; BORDER-LEFT: #ece9d8; PADDING-BOTTOM: 0cm; PADDING-LEFT: 5.4pt; PADDING-RIGHT: 5.4pt; BORDER-TOP: #ece9d8; BORDER-RIGHT: windowtext 1pt solid; PADDING-TOP: 0cm" rowspan="3">
<p style="TEXT-ALIGN: center; LINE-HEIGHT: normal" align="center"><span>Степень автоматизации электронных государственных услуг</span></p></td>
<td style="BORDER-BOTTOM: windowtext 1pt solid; BORDER-LEFT: #ece9d8; PADDING-BOTTOM: 0cm; PADDING-LEFT: 5.4pt; PADDING-RIGHT: 5.4pt; BORDER-TOP: #ece9d8; BORDER-RIGHT: windowtext 1pt solid; PADDING-TOP: 0cm" rowspan="3">
<p style="TEXT-ALIGN: center; LINE-HEIGHT: normal" align="center"><span style="COLOR: windowtext">10</span></p></td>
<td style="BORDER-BOTTOM: windowtext 1pt solid; BORDER-LEFT: #ece9d8; PADDING-BOTTOM: 0cm; PADDING-LEFT: 5.4pt; PADDING-RIGHT: 5.4pt; BORDER-TOP: #ece9d8; BORDER-RIGHT: windowtext 1pt solid; PADDING-TOP: 0cm" rowspan="2">
<p style="TEXT-ALIGN: center; LINE-HEIGHT: normal" align="center"><span style="COLOR: windowtext">6</span></p></td>
<td style="BORDER-BOTTOM: windowtext 1pt solid; BORDER-LEFT: #ece9d8; PADDING-BOTTOM: 0cm; PADDING-LEFT: 5.4pt; PADDING-RIGHT: 5.4pt; BORDER-TOP: #ece9d8; BORDER-RIGHT: windowtext 1pt solid; PADDING-TOP: 0cm">
<p style="TEXT-ALIGN: center; LINE-HEIGHT: normal" align="center"><span style="COLOR: windowtext">4</span></p></td>
<td style="BORDER-BOTTOM: windowtext 1pt solid; BORDER-LEFT: #ece9d8; PADDING-BOTTOM: 0cm; PADDING-LEFT: 5.4pt; PADDING-RIGHT: 5.4pt; BORDER-TOP: #ece9d8; BORDER-RIGHT: windowtext 1pt solid; PADDING-TOP: 0cm">
<p style="LINE-HEIGHT: normal"><span style="COLOR: windowtext">Прием запроса от заявителя в электронном виде</span></p></td></tr>
<tr>
<td style="BORDER-BOTTOM: windowtext 1pt solid; BORDER-LEFT: #ece9d8; PADDING-BOTTOM: 0cm; PADDING-LEFT: 5.4pt; PADDING-RIGHT: 5.4pt; BORDER-TOP: #ece9d8; BORDER-RIGHT: windowtext 1pt solid; PADDING-TOP: 0cm">
<p style="LINE-HEIGHT: normal"></p></td>
<td style="BORDER-BOTTOM: windowtext 1pt solid; BORDER-LEFT: #ece9d8; PADDING-BOTTOM: 0cm; PADDING-LEFT: 5.4pt; PADDING-RIGHT: 5.4pt; BORDER-TOP: #ece9d8; BORDER-RIGHT: windowtext 1pt solid; PADDING-TOP: 0cm">
<p style="LINE-HEIGHT: normal"><span style="COLOR: windowtext">Рассмотрение и обработка запроса в электронном виде</span></p></td></tr>
<tr>
<td style="BORDER-BOTTOM: windowtext 1pt solid; BORDER-LEFT: #ece9d8; PADDING-BOTTOM: 0cm; PADDING-LEFT: 5.4pt; PADDING-RIGHT: 5.4pt; BORDER-TOP: #ece9d8; BORDER-RIGHT: windowtext 1pt solid; PADDING-TOP: 0cm">
<p style="LINE-HEIGHT: normal"></p></td>
<td style="BORDER-BOTTOM: windowtext 1pt solid; BORDER-LEFT: #ece9d8; PADDING-BOTTOM: 0cm; PADDING-LEFT: 5.4pt; PADDING-RIGHT: 5.4pt; BORDER-TOP: #ece9d8; BORDER-RIGHT: windowtext 1pt solid; PADDING-TOP: 0cm">
<p style="LINE-HEIGHT: normal"></p></td>
<td style="BORDER-BOTTOM: windowtext 1pt solid; BORDER-LEFT: #ece9d8; PADDING-BOTTOM: 0cm; PADDING-LEFT: 5.4pt; PADDING-RIGHT: 5.4pt; BORDER-TOP: #ece9d8; BORDER-RIGHT: windowtext 1pt solid; PADDING-TOP: 0cm">
<p style="LINE-HEIGHT: normal"><span style="COLOR: windowtext">Хранение результата и направление ответа в электронном виде</span></p></td></tr></tbody></table></div></div></div><div class="ACT_TEXT"><div name="3049963" id="3049963">24. Для формирования оценки показателя 1.6 расчет производится по следующей формуле:</div></div><div class="TEXT_CENTER"><div name="3051042" id="3051042"><img src="/ru/files/3051041" /></div></div><div class="ACT_TEXT"><div name="3049965" id="3049965">К<sub>зр <sup>—</sup> </sub>коэффициент степени автоматизации электронных государственных услуг;</div></div><div class="ACT_TEXT"><div name="3049967" id="3049967">n — количество всего услуг;</div></div><div class="ACT_TEXT"><div name="3049968" id="3049968">i — порядковый номер показателя (от 1 до n);</div></div><div class="ACT_TEXT"><div name="3049969" id="3049969">Y — удельный вес показателя.</div></div><div class="ACT_TEXT"><div name="3049970" id="3049970">25. По показателю 1.7. «Соблюдение сроков оказания электронных государственных услуг» оценка производится на основе полученных статистики с Единого портала по соблюдению сроков оказания электронных государственных услуг. Также учитываются статистические данные по межведомственным электронным запросам через системы межведомственного электронного взаимодействия, обеспечивающие взаимодействие государственных органов и иных организаций.</div></div><div class="ACT_TEXT"><div name="3049971" id="3049971">26. Оценка показателя 1.7 производится на предмет соблюдения сроков оказания электронных государственных услуг согласно утвержденным регламентам электронных государственных услуг по <a href="/ru/acts/3049875#3049972">таблице № 6</a>. </div></div><div class="BY_DEFAULT"><div name="3049972" id="3049972"><table style="BORDER-COLLAPSE: collapse; BACKGROUND: white" border="0" cellspacing="0" cellpadding="0" width="100%">
<tbody>
<tr>
<td style="BORDER-BOTTOM: windowtext 1pt solid; BORDER-LEFT: #ece9d8; PADDING-BOTTOM: 0cm; PADDING-LEFT: 5.4pt; PADDING-RIGHT: 2.3pt; BORDER-TOP: #ece9d8; BORDER-RIGHT: #ece9d8; PADDING-TOP: 2.6pt">
<p style="TEXT-ALIGN: left; LINE-HEIGHT: normal" align="left"><span></span></p></td>
<td style="BORDER-BOTTOM: windowtext 1pt solid; BORDER-LEFT: #ece9d8; PADDING-BOTTOM: 0cm; PADDING-LEFT: 5.4pt; PADDING-RIGHT: 2.3pt; BORDER-TOP: #ece9d8; BORDER-RIGHT: #ece9d8; PADDING-TOP: 2.6pt">
<p style="TEXT-ALIGN: center; LINE-HEIGHT: normal" align="center"></p></td>
<td style="BORDER-BOTTOM: windowtext 1pt solid; BORDER-LEFT: #ece9d8; PADDING-BOTTOM: 0cm; PADDING-LEFT: 5.4pt; PADDING-RIGHT: 2.3pt; BORDER-TOP: #ece9d8; BORDER-RIGHT: #ece9d8; PADDING-TOP: 2.6pt" valign="top" colspan="2">
<p style="TEXT-ALIGN: center; LINE-HEIGHT: normal" align="center"></p></td>
<td style="BORDER-BOTTOM: windowtext 1pt solid; BORDER-LEFT: #ece9d8; PADDING-BOTTOM: 0cm; PADDING-LEFT: 5.4pt; PADDING-RIGHT: 2.3pt; BORDER-TOP: #ece9d8; BORDER-RIGHT: #ece9d8; PADDING-TOP: 2.6pt">
<p style="TEXT-ALIGN: right; LINE-HEIGHT: normal" align="right"><span>Таблица № 6</span></p></td></tr>
<tr>
<td style="BORDER-BOTTOM: windowtext 1pt solid; BORDER-LEFT: windowtext 1pt solid; PADDING-BOTTOM: 0cm; PADDING-LEFT: 5.4pt; PADDING-RIGHT: 2.3pt; BORDER-TOP: #ece9d8; BORDER-RIGHT: windowtext 1pt solid; PADDING-TOP: 2.6pt">
<p style="TEXT-ALIGN: center; LINE-HEIGHT: normal" align="center"><b><span>№</span></b></p></td>
<td style="BORDER-BOTTOM: windowtext 1pt solid; BORDER-LEFT: #ece9d8; PADDING-BOTTOM: 0cm; PADDING-LEFT: 5.4pt; PADDING-RIGHT: 2.3pt; BORDER-TOP: #ece9d8; BORDER-RIGHT: windowtext 1pt solid; PADDING-TOP: 2.6pt">
<p style="TEXT-ALIGN: center; LINE-HEIGHT: normal" align="center"><b><span>Показатель</span></b></p></td>
<td style="BORDER-BOTTOM: windowtext 1pt solid; BORDER-LEFT: #ece9d8; PADDING-BOTTOM: 0cm; PADDING-LEFT: 5.4pt; PADDING-RIGHT: 2.3pt; BORDER-TOP: #ece9d8; BORDER-RIGHT: windowtext 1pt solid; PADDING-TOP: 2.6pt" colspan="2">
<p style="TEXT-ALIGN: center; LINE-HEIGHT: normal" align="center"><b><span>Удельный вес показателя</span></b></p></td>
<td style="BORDER-BOTTOM: windowtext 1pt solid; BORDER-LEFT: #ece9d8; PADDING-BOTTOM: 0cm; PADDING-LEFT: 5.4pt; PADDING-RIGHT: 2.3pt; BORDER-TOP: #ece9d8; BORDER-RIGHT: windowtext 1pt solid; PADDING-TOP: 2.6pt">
<p style="TEXT-ALIGN: center; LINE-HEIGHT: normal" align="center"><b><span>Метод оценки</span></b></p></td></tr>
<tr>
<td style="BORDER-BOTTOM: black 1pt solid; BORDER-LEFT: black 1pt solid; PADDING-BOTTOM: 0cm; PADDING-LEFT: 5.4pt; PADDING-RIGHT: 2.3pt; BORDER-TOP: #ece9d8; BORDER-RIGHT: black 1pt solid; PADDING-TOP: 2.6pt" rowspan="3">
<p style="TEXT-ALIGN: center; LINE-HEIGHT: normal" align="center"><span>1.7</span></p></td>
<td style="BORDER-BOTTOM: black 1pt solid; BORDER-LEFT: #ece9d8; PADDING-BOTTOM: 0cm; PADDING-LEFT: 5.4pt; PADDING-RIGHT: 2.3pt; BORDER-TOP: #ece9d8; BORDER-RIGHT: black 1pt solid; PADDING-TOP: 2.6pt" rowspan="3">
<p style="LINE-HEIGHT: normal; TEXT-INDENT: 10.95pt"><span>Соблюдение сроков оказания электронных государственных услуг</span></p></td>
<td style="BORDER-BOTTOM: black 1pt solid; BORDER-LEFT: #ece9d8; PADDING-BOTTOM: 0cm; PADDING-LEFT: 5.4pt; PADDING-RIGHT: 2.3pt; BORDER-TOP: #ece9d8; BORDER-RIGHT: black 1pt solid; PADDING-TOP: 2.6pt" rowspan="3">
<p style="TEXT-ALIGN: center; LINE-HEIGHT: normal" align="center"><span>20</span></p></td>
<td style="BORDER-BOTTOM: black 1pt solid; BORDER-LEFT: #ece9d8; PADDING-BOTTOM: 0cm; PADDING-LEFT: 5.4pt; PADDING-RIGHT: 2.3pt; BORDER-TOP: #ece9d8; BORDER-RIGHT: black 1pt solid; PADDING-TOP: 2.6pt">
<p style="TEXT-ALIGN: center; LINE-HEIGHT: normal" align="center"><span>20</span></p></td>
<td style="BORDER-BOTTOM: black 1pt solid; BORDER-LEFT: #ece9d8; PADDING-BOTTOM: 0cm; PADDING-LEFT: 5.4pt; PADDING-RIGHT: 2.3pt; BORDER-TOP: #ece9d8; BORDER-RIGHT: black 1pt solid; PADDING-TOP: 2.6pt" valign="top">
<p style="LINE-HEIGHT: normal; TEXT-INDENT: 14.2pt"><span>Не имеется нарушений сроков оказания электронных государственных услуг</span></p></td></tr>
<tr>
<td style="BORDER-BOTTOM: black 1pt solid; BORDER-LEFT: #ece9d8; PADDING-BOTTOM: 0cm; PADDING-LEFT: 5.4pt; PADDING-RIGHT: 2.3pt; BORDER-TOP: #ece9d8; BORDER-RIGHT: black 1pt solid; PADDING-TOP: 2.6pt">
<p style="TEXT-ALIGN: center; LINE-HEIGHT: normal" align="center"><span>10</span></p></td>
<td style="BORDER-BOTTOM: black 1pt solid; BORDER-LEFT: #ece9d8; PADDING-BOTTOM: 0cm; PADDING-LEFT: 5.4pt; PADDING-RIGHT: 2.3pt; BORDER-TOP: #ece9d8; BORDER-RIGHT: black 1pt solid; PADDING-TOP: 2.6pt" valign="top">
<p style="LINE-HEIGHT: normal; TEXT-INDENT: 14.2pt"><span>Имеется одно нарушение сроков оказания электронных государственных услуг</span></p></td></tr>
<tr>
<td style="BORDER-BOTTOM: black 1pt solid; BORDER-LEFT: #ece9d8; PADDING-BOTTOM: 0cm; PADDING-LEFT: 5.4pt; PADDING-RIGHT: 2.3pt; BORDER-TOP: #ece9d8; BORDER-RIGHT: black 1pt solid; PADDING-TOP: 2.6pt">
<p style="TEXT-ALIGN: center; LINE-HEIGHT: normal" align="center"><span>0</span></p></td>
<td style="BORDER-BOTTOM: black 1pt solid; BORDER-LEFT: #ece9d8; PADDING-BOTTOM: 0cm; PADDING-LEFT: 5.4pt; PADDING-RIGHT: 2.3pt; BORDER-TOP: #ece9d8; BORDER-RIGHT: black 1pt solid; PADDING-TOP: 2.6pt" valign="top">
<p style="LINE-HEIGHT: normal; TEXT-INDENT: 14.2pt"><span>Имеется более одного нарушения сроков оказания электронных государственных услуг</span></p></td></tr></tbody></table></div></div><div class="ACT_TEXT"><div name="3049973" id="3049973">27. По показателю 1.8. «Удовлетворение потребности пользователей в получении электронных государственных услуг» оценка производится по 30-балльной шкале на основании оценок заявителей электронных государственных услуг. </div></div><div class="ACT_TEXT"><div name="3049974" id="3049974">28. По показателю 1.8 оценке подлежат все электронные государственные услуги, предоставляемые через Единый портал по формуле: </div></div><div class="TEXT_CENTER"><div name="3049975" id="3049975"><img src="/ru/files/3051044" /></div></div><div class="ACT_TEXT"><div name="3049976" id="3049976">К<sub>уд</sub> — коэффициент удовлетворения потребности пользователей в получении электронных государственных услуг; </div></div><div class="ACT_TEXT"><div name="3049977" id="3049977">j — номер запроса на получение электронных государственных услуг; </div></div><div class="ACT_TEXT"><div name="3049978" id="3049978">n — количество оцененных заявителями электронных государственных услуг; </div></div><div class="ACT_TEXT"><div name="3049979" id="3049979">Z — оценка заявителей на полученную электронную государственную услугу (от 1 до 5). </div></div><div class="ACT_TEXT"><div name="3049980" id="3049980">29. Коэффициент удовлетворения потребности в получении электронных государственных услуг определяется как соотношение суммы оценок заявителей на полученную электронную государственную услугу (от 1 до 5) к количеству оцененных заявителями электронных государственных услуг, разделенное на 5 и умноженное на 100%, по формуле:</div></div><div class="TEXT_CENTER"><div name="3049981" id="3049981"><img src="/ru/files/3051045" /></div></div><div class="ACT_TEXT"><div name="3049982" id="3049982">К<sub>епигу</sub> — итоговый коэффициент показателя «Удовлетворение потребности в получении электронных государственных услуг; </div></div><div class="ACT_TEXT"><div name="3049983" id="3049983">m — количество оцененных заявителями электронных государственных услуг; </div></div><div class="ACT_TEXT"><div name="3049984" id="3049984">Y — удельный вес показателя.</div></div><div class="ACT_TEXT"><div name="3049985" id="3049985">j — номер запроса на получение электронных государственных услуг;</div></div><div class="ACT_TEXT"><div name="3049986" id="3049986">К<sub>уд</sub> — коэффициент удовлетворения потребности в получении электронных государственных услуг в предоставлении услуги.</div></div><div class="ACT_TEXT"><div name="3049987" id="3049987">30. Итоговый коэффициент данного показателя оценивается как соотношение суммы коэффициентов удовлетворения потребности в получении электронных государственных услуг к количеству оцененных заявителями электронных государственных услуг, разделенное на 5 и умноженное на удельный вес показателя.</div></div><div class="ACT_TEXT"><div name="3049988" id="3049988">31. По показателю 1.9. «Доля электронных государственных услуг, зарегистрированных в Едином реестре государственных услуг» оценка производится по критерию соотношения количества электронных услуг к общему числу включенных государственных услуг, содержащихся в Едином реестре. Рассматриваются значения количества зарегистрированных государственных услуг, в том числе электронных.</div></div><div class="ACT_TEXT"><div name="3049989" id="3049989">32. По показателю 1.9 оценка производится на основе анализа данных статистики о количестве электронных государственных услуг, отраженных в Едином реестре, и рассчитывается по формуле: </div></div><div class="TEXT_CENTER"><div name="3049990" id="3049990"><img src="/ru/files/3051046" /></div></div><div class="ACT_TEXT"><div name="3049991" id="3049991">D<sub>эгу</sub> — доля электронных государственных услуг, зарегистрированных в Едином реестре; </div></div><div class="ACT_TEXT"><div name="3049992" id="3049992">Z<sub>зэгу</sub> — количество зарегистрированных электронных государственных услуг в Едином реестре;</div></div><div class="ACT_TEXT"><div name="3049993" id="3049993">Z<sub>нгу</sub> — количество оказываемых государственных услуг, подлежащих регистрации в Едином реестре; </div></div><div class="ACT_TEXT"><div name="3049994" id="3049994">Y — удельный вес показателя. </div></div><div class="ACT_TEXT"><div name="3049995" id="3049995">33. Доля электронных государственных услуг, зарегистрированных в Едином реестре, рассчитывается путем умножения удельного веса показателя на соотношение количества зарегистрированных электронных государственных услуг в Едином реестре на количество оказываемых государственных услуг, подлежащих регистрации в Едином реестре.</div></div><div class="TEXT_HEADER_DEFAULT"><div name="3049996" id="3049996">Глава 4. Заключительные положения</div></div><div class="ACT_TEXT"><div name="3049997" id="3049997">34. Министерство по развитию информационных технологий и коммуникаций Республики Узбекистан ежегодно проводит оценку качества оказания электронных государственных услуг в государственных органах и иных организациях и вносит в Кабинет Министров Республики Узбекистан результаты оценки качества оказания электронных государственных услуг. </div></div><div class="ACT_TEXT"><div name="3049998" id="3049998">35. Результаты оценки качества оказания электронных государственных услуг подлежат ежегодной публикации в средствах массовой информации, в том числе на Едином портале интерактивных государственных услуг Республики Узбекистан.</div></div><div class="ACT_TEXT"><div name="3049999" id="3049999">36. Государственные органы и иные организации, предоставляющие электронные государственные услуги, обязаны на регулярной основе принимать меры по повышению качества их оказания с учетом результатов оценки. </div></div><div class="ACT_TEXT"><div name="3050000" id="3050000">37. Руководители государственных органов и иных организаций, предоставляющие электронные государственные услуги, несут персональную ответственность за своевременное принятие мер по повышению качества их оказания. </div></div><div class="BY_DEFAULT"><div name="3050001" id="3050001"></div></div><div class="APPL_BANNER_LANDSCAPE_TITLE"><div name="3050002" id="3050002">ПРИЛОЖЕНИЕ<br />к <a href="/ru/acts/3049875#3049896">Методике</a> оценки качества оказания электронных государственных услуг</div></div><div class="ACT_FORM"><div name="3050003" id="3050003"><strong>СХЕМА</strong></div></div><div class="ACT_TITLE_APPL"><div name="3050004" id="3050004">проведения оценки качества оказания электронных государственных услуг</div></div><div class="BY_DEFAULT"><div name="3050005" id="3050005"></div></div><div class="TEXT_CENTER"><div name="3050006" id="3050006"><img src="/ru/files/3051047" /></div></div><div class="PUBLICATION_ORIGIN"><label id="s1089"></label><div name="3051000" id="3051000">(Собрание законодательства Республики Узбекистан, 2016 г., № 42, ст. 491; Национальная база данных законодательства, 23.01.2018 г., № 09/18/40/0609)</div></div></div>
                
            </div>
        </section>
        
    </div>
    
    <div style="display: none;">
<!-- START WWW.UZ TOP-RATING -->
<SCRIPT language="javascript" type="text/javascript">
		<!--
		top_js = "1.0"; top_r = "id=4079&r=" + escape(document.referrer) + "&pg=" + escape(window.location.href); document.cookie = "smart_top=1; path=/"; top_r += "&c=" + (document.cookie ? "Y" : "N")
		//-->
</SCRIPT>
<SCRIPT language="javascript1.1" type="text/javascript">
<!--
		top_js = "1.1"; top_r += "&j=" + (navigator.javaEnabled() ? "Y" : "N")
//-->
</SCRIPT>
<SCRIPT language="javascript1.2" type="text/javascript">
<!--
		top_js = "1.2"; top_r += "&wh=" + screen.width + 'x' + screen.height + "&px=" + (((navigator.appName.substring(0, 3) == "Mic")) ? screen.colorDepth : screen.pixelDepth)
//-->
</SCRIPT>
<SCRIPT language="javascript1.3" type="text/javascript">
<!--
		top_js = "1.3";
//-->
</SCRIPT>
<SCRIPT language="JavaScript" type="text/javascript">
		<!--
		top_rat = "&col=0C57A6&t=ffffff&p=DD7900"; top_r += "&js=" + top_js + ""; document.write('<a href="https://www.uz/rus/toprating/cmd/stat/id/4079" target="_blank"><img src="https://www.uz/plugins/top_rating/count/cnt.png?' + top_r + top_rat + '" width=88 height=31 border=0 alt="Топ рейтинг www.uz"></a>')//-->
</SCRIPT>
<NOSCRIPT>
		<A href="https://www.uz/rus/toprating/cmd/stat/id/4079" target="_blank">
				<img height="31" src="https://www.uz/plugins/top_rating/count/nojs_cnt.png?id=4079&pg=http%3A//lex.uz&col=0C57A6&t=ffffff&p=DD7900" width="88" border="0" alt="Топ рейтинг www.uz">
		</A>
</NOSCRIPT>
<!-- FINISH WWW.UZ TOP-RATING --></div>
</body>
</html>
<script> 
    function scrollText(hash) {
        location.href = "#" + hash;
        //$('html,body').animate({
        //    scrollTop: $(window).scrollTop() - 75
        //});
    }
</script>
<script>     
    //function scrollToElement(selector, time, verticalOffset) {
    //    time = typeof (time) != 'undefined' ? time : 1000;
    //    verticalOffset = typeof (verticalOffset) != 'undefined' ? verticalOffset : 0;
    //    element = $(selector);
    //    offset = element.offset();
    //    offsetTop = offset.top + verticalOffset;
    //    $('html, body').animate({
    //        scrollTop: offsetTop
    //    }, time);
    //}

    //jQuery.fn.extend({
    //    scrollToMe: function () {
    //        var x = jQuery(this).offset().top - 100;
    //        jQuery('html,body').animate({ scrollTop: x }, 500);
    //    }
    //});

    //function opentInAct(id) {
    //    $("#" + id).scrollToMe();
    //}

    $(document).ready(function () {
        $("#theDefCssID TABLE TD").css('display', '');
    });
</script>
<style>
    #divCont > DIV {
        margin-left: -2px;
        margin-right: -2px;
        padding-left: 2px;
        padding-right: 2px;
    }

    TD.fTD {
        width: 22px;
    }

    .OFFICIAL_SOUR_TEXT {
        display: none;
    }

    /*.document_view_body*/ header {
        clear: both;
        float: left;
        height: 36px;
        width: 100%;
        background-color: #2263a9;
    }

        /*.document_view_body header .logo {
            float: left;
            padding: 0 12px;
        }*/

        /*.document_view_body header nav.main_menu {
            float: none;
        }*/

        /*nav.main_menu {
        float: left;
        padding-left: 22px;
        position: relative;
        z-index: 9;
    }*/

        /*nav.main_menu > div {
            float: left;
            height: 34px;
            margin-top: 1px;
            width: 21px;
        }*/

        /*.document_view_body header nav.main_menu > ul {
        float: none;
        font-family: helvatica;
        font-size: 11px;
    }*/

        /*nav.main_menu > ul {
        float: left;
        font-size: 16px;
    }*/

        /*nav ul, nav ol {
        list-style: none outside none;
        margin: 0;
        padding: 0;
    }*/

        /*ul, ol {
        margin: 1em 0;
        padding: 0 0 0 40px;
    }*/


        /*.document_view_body header .logo a {
        display: block;
        width: 100%;
    }*/


        /*.document_view_body*/ header .logo a span {
            background: url("/images/bg/doc_v_logo.png") no-repeat scroll center center transparent;
            display: block;
            height: 36px;
            width: 85px;
        }

    /*.hover-popup {
        display: none;
        border: 1px solid #969696;
        border-radius: 5px;
        -moz-border-radius: 5px;
        -webkit-border-radius: 5px;
        -o-border-radius: 5px;
        -ms-border-radius: 5px;
        position: absolute;
        behavior: url(css/PIE.htc);
        box-shadow: 2px 2px 6px -2px #555;
        padding: 7px;
        background: #fdffde;
        bottom: 28px;
        left: 10px;
        max-width: 500px;
        text-overflow: ellipsis;
        white-space: nowrap;
        color: #000;
        overflow: hidden;
    }*/

    /*.pre-loader {
        text-align: center;
        width: 100%;
        padding-bottom: 0 !important;
    }*/

    /*.actondate {
        width: 385px;
        height: 46px;
        background-color: White;
        z-index: 2000;
        font-family: Arial;
        font-size: 14px;
        font-weight: bold;
        opacity: 0.7;
        padding-top: 10px;
        text-align: center;
        top: 37px;
    }*/
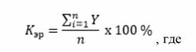
</style>
