

<!DOCTYPE html>

<html lang="ru-UZ">
<head>
   <!-- Global site tag (gtag.js) - Google Analytics -->
   <script async src="https://www.googletagmanager.com/gtag/js?id=UA-2682682-1"></script>
   <script>
      window.dataLayer = window.dataLayer || [];
      function gtag() { dataLayer.push(arguments); }
      gtag('js', new Date());
      gtag('config', 'UA-2682682-1');
   </script>
<title>

</title><meta charset="UTF-8" /><meta http-equiv="content-type" content="text/html; charset=UTF-8" /><meta name="viewport" content="width=device-width, initial-scale=1.0, minimum-scale=0.3, maximum-scale=3.0" /><link href="/css/mactform.css" rel="stylesheet" type="text/css" />

    <style type="text/css">
        /*.contents-caption DIV {
            float: right;
        }*/

        /*.mobilnav TD {
            height: 32px;
        }*/

        /*.mobilnav {
            border: 0px;
            padding: 0;
            background: url('/image/h-menu.gif') repeat-x scroll left top transparent;
        }*/

        body {
            margin: 0;
        }

        td {
            min-height: 22px;
        }

        /*#userComments {
            position: fixed;
            top: 0;
            left: 200px;
            width: 279px;
            height: 18px;
            background-color: Black;
            color: White;
            z-index: 2000;
            padding: 3px;
            display: none;
        }*/

        /*#fancybox_div {
            display: none;
        }*/

        /*#divContextRasporka {
            width: 270px;
        }*/

        /*#tddivContext {
            background-color: White;
        }*/

        /*#backButton {
            color: White;
            font-weight: bold;
            text-decoration: none;
        }*/

        /*#divCont {
            padding-top: 35px;
        }*/

        /*.main_menu ul .checkboxArea, .main_menu ul .checkboxAreaChecked {
            padding-top: 12px;
        }*/

        /*#item3 > ul > li {
            white-space: nowrap;
        }*/

        /*header > nav > ul > li > a {
            font-family: Arial;
            font-size: 11px;
        }*/

        /*#actContent a {
            font-size: 14px;
            font-family: Arial;
        }*/

        /*#selected_div {
            height: 250px;
            overflow: auto;
            padding: 6px 1px 1px 9px;
        }*/

        /*.enter_submit {
            background: url("/images/bg/search_button_bg.jpg") repeat-x scroll 0 0 transparent;
            border: 1px solid #7190EE;
            border-radius: 6px 6px 6px 6px;
            float: right;
            margin-right: 2px;
            cursor: pointer;
        }*/

        /*.enter_submit > div {
                background: url("/images/arrow/button_uzor4_left.png") no-repeat scroll 4px 7px transparent;
                float: left;
                width: 100%;
                cursor: pointer;
            }*/

        /*.enter_submit input[type="button"] {
                background: url("/images/arrow/button_uzor4_right.png") no-repeat scroll right 7px transparent;
                border: medium none;
                border-radius: 6px 6px 6px 6px;
                color: #FFFFFF;
                float: left;
                font-size: 12px;
                font-weight: bold;
                height: 21px;
                margin-left: 22px;
                margin-right: 4px;
                padding: 0 22px 3px 0;
                cursor: pointer;
            }*/

        .show_context {
            background-color: #FFFF00;
            color: inherit;
        }
    </style>
    <style id="tree_style" type="text/css">
        #divAct a, #divAct DIV, #divAct font, div#theDefCssID table td, th {
            font-size: 12pt;
        }
    </style>

    <script type="text/javascript" charset="utf-8">
        //window.onbeforeunload = function () {
        //    //document.getElementById("main_container").innerHTML = "";
        //    //window.body.style.background = "red";  //css("background", "red");
        //    //window.scrollTo(0, 0);
        //}

        window.onload = function () {
            setTimeout(function () { scrolPage(); }, 100);
        }

        function scrolPage() {
            var hash = location.hash.toString();
            if (hash.length > 2) {
                var elem = document.getElementById(location.hash.toString().substring(1));
                if (elem === null || elem === undefined) {
                    document.body.scrollTop = document.documentElement.scrollTop = 0;
                }
                else {
                    document.body.scrollTop = document.documentElement.scrollTop = elem.offsetTop - 10;
                }
            }
            else {
                document.body.scrollTop = document.documentElement.scrollTop = 0;
            }
        }
    </script>
</head>
<body>
    
    <a href="#DynContent" id="DynContentBtn"></a>
    <div style="display: none;">
        <div id="DynContent" style="width: 350px;">
            <table>
                <tr>
                    <td><span id="dynText"></span></td>
                </tr>
            </table>
        </div>
    </div>
    <div id="headcont">
        
        <header style="z-index: 2000;" id="headermenu">
            <div class='logo' style="padding: 0px 0px 0px 8px">
                <a href='/ru/'><span></span></a>
            </div>
        </header>
        
    </div>
    <div id='main_container'>
        
        <section class='main_text'>
            <table style="width: 100%; font-family: Arial; font-size: 14px; font-weight: bold;">
                <tr>
                    <td style="width: 50%">
                        
                            <div class="act_warning">
                                Ҳужжат кучини йўқотган " " 16.12.2025
                            </div>
                        
                        
                        
                    </td>
                    <td style="width: 50%; text-align: right">
                        
                        
                    </td>
                </tr>
            </table>
            <div id="divAct" style="margin: 0px; padding: 0px 5px 0px 5px; background: white;">
                
                <div id="divCont" style="background:#ffffff;border:none;margin:auto;"><div class="INDEXES_ON_REF" style="display:none"><label id="s5987"></label><div name="onLBC282107" id="onLBC282107">[<b>ОКОЗ:</b><div id="LBC6076"><span class="iorRN">1.</span><span class="iorVal">01.00.00.00 Конституциявий тузум / 01.15.00.00 Маҳаллий давлат ҳокимияти органлари / 01.15.03.00 Маҳаллий ижроия органлари (Ҳокимликлар) (шунингдек, 02.04.00.00га қаранг);</span></div><div id="LBC6123"><span class="iorRN">2.</span><span class="iorVal">02.00.00.00 Давлат бошқаруви асослари / 02.04.00.00 Маҳаллий ижроия органлари (Ҳокимликлар) (шунингдек, 01.15.03.00га қаранг) / 02.04.03.00 Маҳаллий ижроия органларининг тузилмаси ва штатлари]</span></div></div></div><div class="INDEXES_ON_REF" style="display:none"><label id="s5988"></label><div name="onLS282107" id="onLS282107">[<b>ТСЗ:</b><div id="LS3678"><span class="iorRN">1.</span><span class="iorVal">Давлат ва жамият қурилиши / Давлат ҳокимияти органлари. Давлат ва хўжалик бошқаруви органлари]</span></div></div></div><div class="ACCEPTING_BODY"><div name="282327" id="282327">Ўзбекистон Республикаси Вазирлар Маҳкамасининг</div></div><div class="ACT_FORM"><div name="282329" id="282329">қарори</div></div><div class="ACT_TITLE"><div name="282331" id="282331">ҲУДУДИЙ ДАВЛАТ ҲОКИМИЯТИ ОРГАНЛАРИ БОШҚАРУВ ТИЗИМИНИ ТАКОМИЛЛАШТИРИШ ЮЗАСИДАН ҚЎШИМЧА ЧОРА-ТАДБИРЛАР ТЎҒРИСИДА</div></div><div class="BY_DEFAULT"><div name="282335" id="282335"></div></div><div class="COMMENT"><label id="s527"></label><div class="COMMENTLEXUZ"><img src="/image/favicon.gif" /> LexUZ шарҳи</div><div name="7934864" id="7934864">Мазкур қарор Ўзбекистан Республикаси Вазирлар Маҳкамасининг 2025 йил 15 декабрдаги 791-сонли «Ўзбекистон Республикаси Ҳукуматининг айрим қарорларига ўзгартириш ва қўшимчалар киритиш, шунингдек, баъзиларини ўз кучини йўқотган деб ҳисоблаш тўғрисида»ги <a href="/ru/acts/7919147?ONDATE=16.12.2025 00#7921865">қарорига</a> асосан ўз кучини йўқотган.</div></div><div class="ACT_TEXT"><div name="282336" id="282336">Маҳаллий ижро этувчи ҳокимият органлари фаолияти самарадорлигини янада ошириш, ҳудудий бошқарув органларига юкланган функционал вазифаларнинг амалга оширилиши учун шарт-шароитлар яратиш, шунингдек қишлоқ туманлари ҳокимликлари тузилмасини мақбуллаштириш мақсадида Вазирлар Маҳкамаси қарор қилади:</div></div><div class="ACT_TEXT"><div name="282338" id="282338">1. Вазирлар Маҳкамасининг «Давлат бошқаруви ҳудудий органлари тузилмасини такомиллаштириш тўғрисида» 2004 йил 5 январдаги 2-сон <a href="/ru/acts/76173">қарори </a>билан белгиланган (7г-илова) бошқарув ходимлари сони доирасида <a href="/ru/acts/282107#294954">1-иловага</a> мувофиқ айрим қишлоқ туманлари ҳокимликлари тузилмасига ҳокимнинг биринчи ўринбосари — шаҳар ҳокими қўшимча лавозими киритилсин.</div></div><div class="ACT_TEXT"><div name="282340" id="282340">2. Қўрғонтепа, Ромитон, Зомин, Нишон, Сирдарё, Хазорасп ва Сариосиё туманлари ҳокимликлари бошқарув аппаратининг<a href="/ru/acts/282107#294961"> 2-иловага </a>мувофиқ намунавий тузилмаси тасдиқлансин.</div></div><div class="ACT_TEXT"><div name="282343" id="282343">3. Мазкур қарорнинг бажарилишини назорат қилиш Ўзбекистон Республикасининг Бош вазири Ш.М. Мирзиёев зиммасига юклансин.</div></div><div class="SIGNATURE"><div name="282345" id="282345">Вазирлар Маҳкамасининг Раиси И. КАРИМОВ</div></div><div class="ACT_ESSENTIAL_ELEMENTS"><div name="282348" id="282348">Тошкент ш.,</div></div><div class="ACT_ESSENTIAL_ELEMENTS"><div name="282352" id="282352">2004 йил 30 март,</div></div><div class="ACT_ESSENTIAL_ELEMENTS_NUM"><div name="282355" id="282355">149-сон</div></div><div class="BY_DEFAULT"><div name="294954" id="294954"></div></div><div class="APPL_BANNER_LANDSCAPE_TITLE"><div name="294956" id="294956">Вазирлар Маҳкамасининг<br />2004 йил 30 мартдаги 149-сон <a href="/ru/acts/282107#282327">қарорига</a> <br />1-ИЛОВА </div></div><div class="ACT_TITLE_APPL"><div name="294958" id="294958">Бошқарув аппарати тузилмасига ҳокимнинг биринчи ўринбосари — шаҳар ҳокими лавозими киритилаётган қишлоқ туманлари ҳокимликлари рўйхати </div></div><div class="BY_DEFAULT"><div name="739893" id="739893"></div></div><div class="TABLE_STD" id="theDefCssID"><div name="1017204" id="1017204" class="tabBox"><table id="theTableID" style="PADDING-RIGHT: 0px; ; PADDING-LEFT: 0px; LEFT: 2px; PADDING-BOTTOM: 0px; WIDTH: 100%; BORDER-TOP-STYLE: none; PADDING-TOP: 0px; BORDER-RIGHT-STYLE: none; BORDER-LEFT-STYLE: none; TOP: 0px; BORDER-BOTTOM-STYLE: none" cellspacing="1" cols="3" border="1">
<colgroup>
<col />
<col />
<col /></colgroup>
<tbody>
<tr>
<td style="WIDTH: 57px">
<p align="center">Т/р‎</p></td>
<td>
<p align="center">Қишлоқ туманлари номи‎</p></td>
<td>
<p align="center">Киритилаётган лавозим‎</p></td></tr>
<tr>
<td style="BORDER-TOP-STYLE: none; BORDER-RIGHT-STYLE: none; BORDER-LEFT-STYLE: none; BORDER-BOTTOM-STYLE: none">
<p align="center">1.‎</p></td>
<td style="BORDER-TOP-STYLE: none; BORDER-RIGHT-STYLE: none; BORDER-LEFT-STYLE: none; BORDER-BOTTOM-STYLE: none">Андижон вилоятининг <br />‎Қўрғонтепа тумани ‎</td>
<td style="BORDER-TOP-STYLE: none; BORDER-RIGHT-STYLE: none; BORDER-LEFT-STYLE: none; BORDER-BOTTOM-STYLE: none">Туман ҳокимининг биринчи ўринбосари — Қорасув шаҳри ҳокими ‎</td></tr>
<tr>
<td style="BORDER-TOP-STYLE: none; BORDER-RIGHT-STYLE: none; BORDER-LEFT-STYLE: none; BORDER-BOTTOM-STYLE: none">
<p align="center">2.‎</p></td>
<td style="BORDER-TOP-STYLE: none; BORDER-RIGHT-STYLE: none; BORDER-LEFT-STYLE: none; BORDER-BOTTOM-STYLE: none">Бухоро вилоятининг <br />‎Ромитон тумани ‎</td>
<td style="BORDER-TOP-STYLE: none; BORDER-RIGHT-STYLE: none; BORDER-LEFT-STYLE: none; BORDER-BOTTOM-STYLE: none">Туман ҳокимининг биринчи ўринбосари — Газли шаҳри ҳокими ‎</td></tr>
<tr>
<td style="BORDER-TOP-STYLE: none; BORDER-RIGHT-STYLE: none; BORDER-LEFT-STYLE: none; BORDER-BOTTOM-STYLE: none">
<p align="center">3.‎</p></td>
<td style="BORDER-TOP-STYLE: none; BORDER-RIGHT-STYLE: none; BORDER-LEFT-STYLE: none; BORDER-BOTTOM-STYLE: none">Жиззах вилоятининг <br />‎Зомин тумани ‎</td>
<td style="BORDER-TOP-STYLE: none; BORDER-RIGHT-STYLE: none; BORDER-LEFT-STYLE: none; BORDER-BOTTOM-STYLE: none">Туман ҳокимининг биринчи ўринбосари — Даштобод шаҳри ҳокими ‎</td></tr>
<tr>
<td style="BORDER-TOP-STYLE: none; BORDER-RIGHT-STYLE: none; BORDER-LEFT-STYLE: none; BORDER-BOTTOM-STYLE: none">
<p align="center">4.‎</p></td>
<td style="BORDER-TOP-STYLE: none; BORDER-RIGHT-STYLE: none; BORDER-LEFT-STYLE: none; BORDER-BOTTOM-STYLE: none">Қашқадарё вилоятининг <br />‎Нишон тумани ‎</td>
<td style="BORDER-TOP-STYLE: none; BORDER-RIGHT-STYLE: none; BORDER-LEFT-STYLE: none; BORDER-BOTTOM-STYLE: none">Туман ҳокимининг биринчи ўринбосари — Талимаржон шаҳри ҳокими ‎</td></tr>
<tr>
<td style="BORDER-TOP-STYLE: none; BORDER-RIGHT-STYLE: none; BORDER-LEFT-STYLE: none; BORDER-BOTTOM-STYLE: none">
<p align="center">5.‎</p></td>
<td style="BORDER-TOP-STYLE: none; BORDER-RIGHT-STYLE: none; BORDER-LEFT-STYLE: none; BORDER-BOTTOM-STYLE: none">Сирдарё вилоятининг <br />‎Сирдарё тумани ‎</td>
<td style="BORDER-TOP-STYLE: none; BORDER-RIGHT-STYLE: none; BORDER-LEFT-STYLE: none; BORDER-BOTTOM-STYLE: none">Туман ҳокимининг биринчи ўринбосари — Бахт шаҳри ҳокими ‎</td></tr>
<tr>
<td style="BORDER-TOP-STYLE: none; BORDER-RIGHT-STYLE: none; BORDER-LEFT-STYLE: none; BORDER-BOTTOM-STYLE: none">
<p align="center">6.‎</p></td>
<td style="BORDER-TOP-STYLE: none; BORDER-RIGHT-STYLE: none; BORDER-LEFT-STYLE: none; BORDER-BOTTOM-STYLE: none">Хоразм вилоятининг <br />‎Ҳазорасп тумани ‎</td>
<td style="BORDER-TOP-STYLE: none; BORDER-RIGHT-STYLE: none; BORDER-LEFT-STYLE: none; BORDER-BOTTOM-STYLE: none">Туман ҳокимининг биринчи ўринбосари — Питнак шаҳри ҳокими ‎</td></tr>
<tr>
<td style="BORDER-TOP-STYLE: none; BORDER-RIGHT-STYLE: none; BORDER-LEFT-STYLE: none; BORDER-BOTTOM-STYLE: none">
<p align="center">7.‎</p></td>
<td style="BORDER-TOP-STYLE: none; BORDER-RIGHT-STYLE: none; BORDER-LEFT-STYLE: none; BORDER-BOTTOM-STYLE: none">Сурхондарё вилоятининг <br />‎Сариосиё тумани ‎</td>
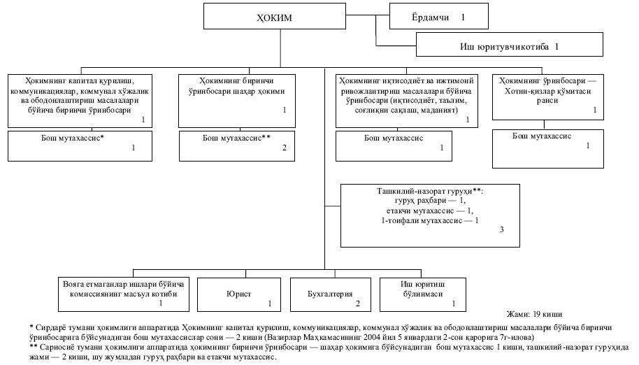
<td style="BORDER-TOP-STYLE: none; BORDER-RIGHT-STYLE: none; BORDER-LEFT-STYLE: none; BORDER-BOTTOM-STYLE: none">Туман ҳокимининг биринчи ўринбосари — Шарғун шаҳри ҳокими ‎</td></tr></tbody></table></div></div><div class="BY_DEFAULT"><div name="294961" id="294961"></div></div><div class="APPL_BANNER_LANDSCAPE_TITLE"><div name="294963" id="294963">Вазирлар Маҳкамасининг<br />2004 йил 30 мартдаги 149-сон <a href="/ru/acts/282107#282327">қарорига <br /></a>2-ИЛОВА </div></div><div class="ACT_TITLE_APPL"><div name="294981" id="294981">Қўрғонтепа, Ромитон, Зомин, Нишон, Сирдарё, Хазорасп ва Сариосиё туманлари ҳокимликлари бошқарув аппаратининг намунавий тузилмаси</div></div><div class="BY_DEFAULT"><div name="739897" id="739897"></div></div><div class="TEXT_CENTER"><div name="739917" id="739917"><img src="/ru/files/739915" /></div></div><div class="PUBLICATION_ORIGIN"><label id="s1089"></label><div name="282333" id="282333">(Ўзбекистон Республикаси қонун ҳужжатлари тўплами, 2004 й., 13-сон, 151-модда)</div></div></div>
                
            </div>
        </section>
        
    </div>
    
    <div style="display: none;">
<!-- START WWW.UZ TOP-RATING -->
<SCRIPT language="javascript" type="text/javascript">
		<!--
		top_js = "1.0"; top_r = "id=4079&r=" + escape(document.referrer) + "&pg=" + escape(window.location.href); document.cookie = "smart_top=1; path=/"; top_r += "&c=" + (document.cookie ? "Y" : "N")
		//-->
</SCRIPT>
<SCRIPT language="javascript1.1" type="text/javascript">
<!--
		top_js = "1.1"; top_r += "&j=" + (navigator.javaEnabled() ? "Y" : "N")
//-->
</SCRIPT>
<SCRIPT language="javascript1.2" type="text/javascript">
<!--
		top_js = "1.2"; top_r += "&wh=" + screen.width + 'x' + screen.height + "&px=" + (((navigator.appName.substring(0, 3) == "Mic")) ? screen.colorDepth : screen.pixelDepth)
//-->
</SCRIPT>
<SCRIPT language="javascript1.3" type="text/javascript">
<!--
		top_js = "1.3";
//-->
</SCRIPT>
<SCRIPT language="JavaScript" type="text/javascript">
		<!--
		top_rat = "&col=0C57A6&t=ffffff&p=DD7900"; top_r += "&js=" + top_js + ""; document.write('<a href="https://www.uz/rus/toprating/cmd/stat/id/4079" target="_blank"><img src="https://www.uz/plugins/top_rating/count/cnt.png?' + top_r + top_rat + '" width=88 height=31 border=0 alt="Топ рейтинг www.uz"></a>')//-->
</SCRIPT>
<NOSCRIPT>
		<A href="https://www.uz/rus/toprating/cmd/stat/id/4079" target="_blank">
				<img height="31" src="https://www.uz/plugins/top_rating/count/nojs_cnt.png?id=4079&pg=http%3A//lex.uz&col=0C57A6&t=ffffff&p=DD7900" width="88" border="0" alt="Топ рейтинг www.uz">
		</A>
</NOSCRIPT>
<!-- FINISH WWW.UZ TOP-RATING --></div>
</body>
</html>
<script> 
    function scrollText(hash) {
        location.href = "#" + hash;
        //$('html,body').animate({
        //    scrollTop: $(window).scrollTop() - 75
        //});
    }
</script>
<script>     
    //function scrollToElement(selector, time, verticalOffset) {
    //    time = typeof (time) != 'undefined' ? time : 1000;
    //    verticalOffset = typeof (verticalOffset) != 'undefined' ? verticalOffset : 0;
    //    element = $(selector);
    //    offset = element.offset();
    //    offsetTop = offset.top + verticalOffset;
    //    $('html, body').animate({
    //        scrollTop: offsetTop
    //    }, time);
    //}

    //jQuery.fn.extend({
    //    scrollToMe: function () {
    //        var x = jQuery(this).offset().top - 100;
    //        jQuery('html,body').animate({ scrollTop: x }, 500);
    //    }
    //});

    //function opentInAct(id) {
    //    $("#" + id).scrollToMe();
    //}

    $(document).ready(function () {
        $("#theDefCssID TABLE TD").css('display', '');
    });
</script>
<style>
    #divCont > DIV {
        margin-left: -2px;
        margin-right: -2px;
        padding-left: 2px;
        padding-right: 2px;
    }

    TD.fTD {
        width: 22px;
    }

    .OFFICIAL_SOUR_TEXT {
        display: none;
    }

    /*.document_view_body*/ header {
        clear: both;
        float: left;
        height: 36px;
        width: 100%;
        background-color: #2263a9;
    }

        /*.document_view_body header .logo {
            float: left;
            padding: 0 12px;
        }*/

        /*.document_view_body header nav.main_menu {
            float: none;
        }*/

        /*nav.main_menu {
        float: left;
        padding-left: 22px;
        position: relative;
        z-index: 9;
    }*/

        /*nav.main_menu > div {
            float: left;
            height: 34px;
            margin-top: 1px;
            width: 21px;
        }*/

        /*.document_view_body header nav.main_menu > ul {
        float: none;
        font-family: helvatica;
        font-size: 11px;
    }*/

        /*nav.main_menu > ul {
        float: left;
        font-size: 16px;
    }*/

        /*nav ul, nav ol {
        list-style: none outside none;
        margin: 0;
        padding: 0;
    }*/

        /*ul, ol {
        margin: 1em 0;
        padding: 0 0 0 40px;
    }*/


        /*.document_view_body header .logo a {
        display: block;
        width: 100%;
    }*/


        /*.document_view_body*/ header .logo a span {
            background: url("/images/bg/doc_v_logo.png") no-repeat scroll center center transparent;
            display: block;
            height: 36px;
            width: 85px;
        }

    /*.hover-popup {
        display: none;
        border: 1px solid #969696;
        border-radius: 5px;
        -moz-border-radius: 5px;
        -webkit-border-radius: 5px;
        -o-border-radius: 5px;
        -ms-border-radius: 5px;
        position: absolute;
        behavior: url(css/PIE.htc);
        box-shadow: 2px 2px 6px -2px #555;
        padding: 7px;
        background: #fdffde;
        bottom: 28px;
        left: 10px;
        max-width: 500px;
        text-overflow: ellipsis;
        white-space: nowrap;
        color: #000;
        overflow: hidden;
    }*/

    /*.pre-loader {
        text-align: center;
        width: 100%;
        padding-bottom: 0 !important;
    }*/

    /*.actondate {
        width: 385px;
        height: 46px;
        background-color: White;
        z-index: 2000;
        font-family: Arial;
        font-size: 14px;
        font-weight: bold;
        opacity: 0.7;
        padding-top: 10px;
        text-align: center;
        top: 37px;
    }*/
</style>
